在空腔-磁振子-量子比特系统中制备磁振子-光子对

IF 3.9 Q2 MATERIALS SCIENCE, MULTIDISCIPLINARY
Yi Ren, Kai Wei Huang, Xin Wang, Hao Xiong
{"title":"在空腔-磁振子-量子比特系统中制备磁振子-光子对","authors":"Yi Ren,&nbsp;Kai Wei Huang,&nbsp;Xin Wang,&nbsp;Hao Xiong","doi":"10.1002/adpr.202500029","DOIUrl":null,"url":null,"abstract":"<p>Hybrid quantum states consisting of single photons and single magnons are valuable quantum resources for realizing multiple quantum information tasks. The blockade effects of magnons and photons in a cavity–magnon–qubit system are investigated, where an auxiliary microwave cavity is simultaneously coupled with an yttrium iron garnet sphere, a qubit, and another microwave cavity. The modes of the auxiliary cavity are adiabatically eliminated, and the virtual photons in the auxiliary cavity mediate the coupling between the magnon mode and photon mode. When the system parameters satisfy both conventional and unconventional blockade conditions, both the magnon/photon auto-correlation and magnon–photon cross-correlation are weak, indicating that magnons and photons tend to exist alone in the system. When the system parameters only satisfy unconventional blockade conditions, strong magnon–photon cross-correlation can be exhibited, indicating that magnons and photons tend to exist simultaneously in the system. The proposal presents a method for preparing magnon–photon pairs, which may have potential applications in quantum information sciences and technologies.</p>","PeriodicalId":7263,"journal":{"name":"Advanced Photonics Research","volume":"6 8","pages":""},"PeriodicalIF":3.9000,"publicationDate":"2025-05-06","publicationTypes":"Journal Article","fieldsOfStudy":null,"isOpenAccess":false,"openAccessPdf":"https://onlinelibrary.wiley.com/doi/epdf/10.1002/adpr.202500029","citationCount":"0","resultStr":"{\"title\":\"Preparing Magnon–Photon Pairs in a Cavity–Magnon–Qubit System\",\"authors\":\"Yi Ren,&nbsp;Kai Wei Huang,&nbsp;Xin Wang,&nbsp;Hao Xiong\",\"doi\":\"10.1002/adpr.202500029\",\"DOIUrl\":null,\"url\":null,\"abstract\":\"<p>Hybrid quantum states consisting of single photons and single magnons are valuable quantum resources for realizing multiple quantum information tasks. The blockade effects of magnons and photons in a cavity–magnon–qubit system are investigated, where an auxiliary microwave cavity is simultaneously coupled with an yttrium iron garnet sphere, a qubit, and another microwave cavity. The modes of the auxiliary cavity are adiabatically eliminated, and the virtual photons in the auxiliary cavity mediate the coupling between the magnon mode and photon mode. When the system parameters satisfy both conventional and unconventional blockade conditions, both the magnon/photon auto-correlation and magnon–photon cross-correlation are weak, indicating that magnons and photons tend to exist alone in the system. When the system parameters only satisfy unconventional blockade conditions, strong magnon–photon cross-correlation can be exhibited, indicating that magnons and photons tend to exist simultaneously in the system. The proposal presents a method for preparing magnon–photon pairs, which may have potential applications in quantum information sciences and technologies.</p>\",\"PeriodicalId\":7263,\"journal\":{\"name\":\"Advanced Photonics Research\",\"volume\":\"6 8\",\"pages\":\"\"},\"PeriodicalIF\":3.9000,\"publicationDate\":\"2025-05-06\",\"publicationTypes\":\"Journal Article\",\"fieldsOfStudy\":null,\"isOpenAccess\":false,\"openAccessPdf\":\"https://onlinelibrary.wiley.com/doi/epdf/10.1002/adpr.202500029\",\"citationCount\":\"0\",\"resultStr\":null,\"platform\":\"Semanticscholar\",\"paperid\":null,\"PeriodicalName\":\"Advanced Photonics Research\",\"FirstCategoryId\":\"1085\",\"ListUrlMain\":\"https://advanced.onlinelibrary.wiley.com/doi/10.1002/adpr.202500029\",\"RegionNum\":0,\"RegionCategory\":null,\"ArticlePicture\":[],\"TitleCN\":null,\"AbstractTextCN\":null,\"PMCID\":null,\"EPubDate\":\"\",\"PubModel\":\"\",\"JCR\":\"Q2\",\"JCRName\":\"MATERIALS SCIENCE, MULTIDISCIPLINARY\",\"Score\":null,\"Total\":0}","platform":"Semanticscholar","paperid":null,"PeriodicalName":"Advanced Photonics Research","FirstCategoryId":"1085","ListUrlMain":"https://advanced.onlinelibrary.wiley.com/doi/10.1002/adpr.202500029","RegionNum":0,"RegionCategory":null,"ArticlePicture":[],"TitleCN":null,"AbstractTextCN":null,"PMCID":null,"EPubDate":"","PubModel":"","JCR":"Q2","JCRName":"MATERIALS SCIENCE, MULTIDISCIPLINARY","Score":null,"Total":0}
引用次数: 0

摘要

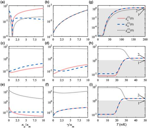
由单光子和单磁子组成的混合量子态是实现多重量子信息任务的宝贵量子资源。研究了一个辅助微波腔与一个钇铁石榴石球、一个量子比特和另一个微波腔同时耦合的空腔-磁振子-量子比特系统中磁振子和光子的阻断效应。辅助腔的模式被绝热消除,辅助腔中的虚光子介导了磁振子模式和光子模式之间的耦合。当系统参数同时满足常规封锁条件和非常规封锁条件时,磁振子/光子自相关和磁振子-光子互相关都较弱,表明磁振子和光子在系统中倾向于单独存在。当系统参数仅满足非常规的封锁条件时,可以表现出强磁子-光子互相关,表明系统中磁子和光子倾向于同时存在。提出了一种制备磁子-光子对的方法,该方法在量子信息科学和技术中具有潜在的应用前景。
本文章由计算机程序翻译,如有差异,请以英文原文为准。

Preparing Magnon–Photon Pairs in a Cavity–Magnon–Qubit System

Preparing Magnon–Photon Pairs in a Cavity–Magnon–Qubit System

Preparing Magnon–Photon Pairs in a Cavity–Magnon–Qubit System

Preparing Magnon–Photon Pairs in a Cavity–Magnon–Qubit System

Preparing Magnon–Photon Pairs in a Cavity–Magnon–Qubit System

Hybrid quantum states consisting of single photons and single magnons are valuable quantum resources for realizing multiple quantum information tasks. The blockade effects of magnons and photons in a cavity–magnon–qubit system are investigated, where an auxiliary microwave cavity is simultaneously coupled with an yttrium iron garnet sphere, a qubit, and another microwave cavity. The modes of the auxiliary cavity are adiabatically eliminated, and the virtual photons in the auxiliary cavity mediate the coupling between the magnon mode and photon mode. When the system parameters satisfy both conventional and unconventional blockade conditions, both the magnon/photon auto-correlation and magnon–photon cross-correlation are weak, indicating that magnons and photons tend to exist alone in the system. When the system parameters only satisfy unconventional blockade conditions, strong magnon–photon cross-correlation can be exhibited, indicating that magnons and photons tend to exist simultaneously in the system. The proposal presents a method for preparing magnon–photon pairs, which may have potential applications in quantum information sciences and technologies.

求助全文
通过发布文献求助,成功后即可免费获取论文全文。 去求助
来源期刊
自引率
2.70%
发文量
0
×
引用
GB/T 7714-2015
复制
MLA
复制
APA
复制
导出至
BibTeX EndNote RefMan NoteFirst NoteExpress
×
提示
您的信息不完整,为了账户安全,请先补充。
现在去补充
×
提示
您因"违规操作"
具体请查看互助需知
我知道了
×
提示
确定
请完成安全验证×
copy
已复制链接
快去分享给好友吧!
我知道了
右上角分享
点击右上角分享
0
联系我们:info@booksci.cn Book学术提供免费学术资源搜索服务,方便国内外学者检索中英文文献。致力于提供最便捷和优质的服务体验。 Copyright © 2023 布克学术 All rights reserved.
京ICP备2023020795号-1
ghs 京公网安备 11010802042870号
Book学术文献互助
Book学术文献互助群
群 号:604180095
Book学术官方微信