英国雀鸟粪便样本中多重耐药细菌的高流行率。

IF 3.9 2区 综合性期刊 Q1 MULTIDISCIPLINARY SCIENCES
Jenny C Dunn, Simon R Clegg
{"title":"英国雀鸟粪便样本中多重耐药细菌的高流行率。","authors":"Jenny C Dunn, Simon R Clegg","doi":"10.1038/s41598-025-13012-4","DOIUrl":null,"url":null,"abstract":"<p><p>Wild birds are a near ubiquitous sight in gardens, offering pleasure to many people through supplementary feeding, song, or other interactions. However, they are also potential carriers of many bacteria, including Campylobacter spp., Salmonella spp., Enterococcus spp., and E. coli; some of these may be resistant to commonly used drugs. This study collected faecal samples from multiple species of UK passerine birds, isolating bacterial pathogens to assess carriage and drug resistances associated with those bacteria. 75% of birds were carrying at least one bacterial species which was multi drug resistant (MDR; resistant to three or more classes of antimicrobial), with 11.6% of birds carrying Salmonella spp., 18.9% carrying Campylobacter spp., 78% carrying Enterococcus spp., and all carrying E. coli strains. Many of these strains were shown to be MDR with 70%, 88%, 32% and 59% respectively. Intercontinental migration was shown to be a risk factor for carriage of many of the pathogens, as was an associated with human habitation. Age was also a risk factor with younger birds twice as likely to carry Campylobacter spp. than adults, and house sparrows (Passer domesticus) and blackbirds (Turdus merula) being particularly high-level carriers compared to other species. The high-level carriage and shedding of MDR E. coli and other zoonotic pathogens within the faecal samples of multiple species of passerine birds offers a timely reminder of the risks which these bacteria, and their drug resistance profiles may pose to human and animal health in the UK and worldwide. It also shows a level of high environmental contamination, which birds may continue to contribute towards, until our use of antimicrobials, and level of drug-resistant bacteria is decreased. Developing mechanisms for reducing levels of carriage of MDR bacteria in wild bird populations through, for example, increased hygiene around bird feeding practices, may be key in reducing environmental contamination.</p>","PeriodicalId":21811,"journal":{"name":"Scientific Reports","volume":"15 1","pages":"28130"},"PeriodicalIF":3.9000,"publicationDate":"2025-08-01","publicationTypes":"Journal Article","fieldsOfStudy":null,"isOpenAccess":false,"openAccessPdf":"https://www.ncbi.nlm.nih.gov/pmc/articles/PMC12316977/pdf/","citationCount":"0","resultStr":"{\"title\":\"High prevalence of multi-drug-resistant bacteria in faecal samples from UK passerine birds.\",\"authors\":\"Jenny C Dunn, Simon R Clegg\",\"doi\":\"10.1038/s41598-025-13012-4\",\"DOIUrl\":null,\"url\":null,\"abstract\":\"<p><p>Wild birds are a near ubiquitous sight in gardens, offering pleasure to many people through supplementary feeding, song, or other interactions. However, they are also potential carriers of many bacteria, including Campylobacter spp., Salmonella spp., Enterococcus spp., and E. coli; some of these may be resistant to commonly used drugs. This study collected faecal samples from multiple species of UK passerine birds, isolating bacterial pathogens to assess carriage and drug resistances associated with those bacteria. 75% of birds were carrying at least one bacterial species which was multi drug resistant (MDR; resistant to three or more classes of antimicrobial), with 11.6% of birds carrying Salmonella spp., 18.9% carrying Campylobacter spp., 78% carrying Enterococcus spp., and all carrying E. coli strains. Many of these strains were shown to be MDR with 70%, 88%, 32% and 59% respectively. Intercontinental migration was shown to be a risk factor for carriage of many of the pathogens, as was an associated with human habitation. Age was also a risk factor with younger birds twice as likely to carry Campylobacter spp. than adults, and house sparrows (Passer domesticus) and blackbirds (Turdus merula) being particularly high-level carriers compared to other species. The high-level carriage and shedding of MDR E. coli and other zoonotic pathogens within the faecal samples of multiple species of passerine birds offers a timely reminder of the risks which these bacteria, and their drug resistance profiles may pose to human and animal health in the UK and worldwide. It also shows a level of high environmental contamination, which birds may continue to contribute towards, until our use of antimicrobials, and level of drug-resistant bacteria is decreased. Developing mechanisms for reducing levels of carriage of MDR bacteria in wild bird populations through, for example, increased hygiene around bird feeding practices, may be key in reducing environmental contamination.</p>\",\"PeriodicalId\":21811,\"journal\":{\"name\":\"Scientific Reports\",\"volume\":\"15 1\",\"pages\":\"28130\"},\"PeriodicalIF\":3.9000,\"publicationDate\":\"2025-08-01\",\"publicationTypes\":\"Journal Article\",\"fieldsOfStudy\":null,\"isOpenAccess\":false,\"openAccessPdf\":\"https://www.ncbi.nlm.nih.gov/pmc/articles/PMC12316977/pdf/\",\"citationCount\":\"0\",\"resultStr\":null,\"platform\":\"Semanticscholar\",\"paperid\":null,\"PeriodicalName\":\"Scientific Reports\",\"FirstCategoryId\":\"103\",\"ListUrlMain\":\"https://doi.org/10.1038/s41598-025-13012-4\",\"RegionNum\":2,\"RegionCategory\":\"综合性期刊\",\"ArticlePicture\":[],\"TitleCN\":null,\"AbstractTextCN\":null,\"PMCID\":null,\"EPubDate\":\"\",\"PubModel\":\"\",\"JCR\":\"Q1\",\"JCRName\":\"MULTIDISCIPLINARY SCIENCES\",\"Score\":null,\"Total\":0}","platform":"Semanticscholar","paperid":null,"PeriodicalName":"Scientific Reports","FirstCategoryId":"103","ListUrlMain":"https://doi.org/10.1038/s41598-025-13012-4","RegionNum":2,"RegionCategory":"综合性期刊","ArticlePicture":[],"TitleCN":null,"AbstractTextCN":null,"PMCID":null,"EPubDate":"","PubModel":"","JCR":"Q1","JCRName":"MULTIDISCIPLINARY SCIENCES","Score":null,"Total":0}
引用次数: 0

摘要

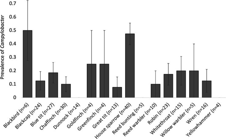
野生鸟类是花园中几乎无处不在的景象,它们通过补充喂食、鸣叫或其他互动为许多人提供乐趣。然而,它们也是许多细菌的潜在携带者,包括弯曲杆菌、沙门氏菌、肠球菌和大肠杆菌;其中一些可能对常用药物有抗药性。本研究收集了英国多种雀形目鸟类的粪便样本,分离细菌病原体,以评估与这些细菌相关的携带和耐药性。75%的鸟类携带至少一种耐多药细菌;对三种或更多种抗菌素具有耐药性),11.6%的鸟类携带沙门氏菌,18.9%携带弯曲杆菌,78%携带肠球菌,所有携带大肠杆菌。其中许多菌株分别为70%、88%、32%和59%的耐多药菌株。洲际迁徙被证明是携带许多病原体的一个危险因素,与人类居住有关。年龄也是一个风险因素,雏鸟携带弯曲杆菌的可能性是成年鸟的两倍,而家雀(Passer domesticus)和黑鹂(Turdus merula)与其他物种相比,携带弯曲杆菌的水平尤其高。在多种雀鸟的粪便样本中,耐多药大肠杆菌和其他人畜共患病原体的高水平携带和脱落及时提醒人们,这些细菌及其耐药性可能对英国和全世界的人类和动物健康构成风险。它还显示了高水平的环境污染,鸟类可能会继续造成污染,直到我们使用抗菌剂和耐药细菌的水平下降。例如,通过提高鸟类饲养习惯的卫生水平,开发减少野生鸟类中耐多药细菌携带水平的机制,可能是减少环境污染的关键。
本文章由计算机程序翻译,如有差异,请以英文原文为准。

High prevalence of multi-drug-resistant bacteria in faecal samples from UK passerine birds.

High prevalence of multi-drug-resistant bacteria in faecal samples from UK passerine birds.

High prevalence of multi-drug-resistant bacteria in faecal samples from UK passerine birds.

High prevalence of multi-drug-resistant bacteria in faecal samples from UK passerine birds.

Wild birds are a near ubiquitous sight in gardens, offering pleasure to many people through supplementary feeding, song, or other interactions. However, they are also potential carriers of many bacteria, including Campylobacter spp., Salmonella spp., Enterococcus spp., and E. coli; some of these may be resistant to commonly used drugs. This study collected faecal samples from multiple species of UK passerine birds, isolating bacterial pathogens to assess carriage and drug resistances associated with those bacteria. 75% of birds were carrying at least one bacterial species which was multi drug resistant (MDR; resistant to three or more classes of antimicrobial), with 11.6% of birds carrying Salmonella spp., 18.9% carrying Campylobacter spp., 78% carrying Enterococcus spp., and all carrying E. coli strains. Many of these strains were shown to be MDR with 70%, 88%, 32% and 59% respectively. Intercontinental migration was shown to be a risk factor for carriage of many of the pathogens, as was an associated with human habitation. Age was also a risk factor with younger birds twice as likely to carry Campylobacter spp. than adults, and house sparrows (Passer domesticus) and blackbirds (Turdus merula) being particularly high-level carriers compared to other species. The high-level carriage and shedding of MDR E. coli and other zoonotic pathogens within the faecal samples of multiple species of passerine birds offers a timely reminder of the risks which these bacteria, and their drug resistance profiles may pose to human and animal health in the UK and worldwide. It also shows a level of high environmental contamination, which birds may continue to contribute towards, until our use of antimicrobials, and level of drug-resistant bacteria is decreased. Developing mechanisms for reducing levels of carriage of MDR bacteria in wild bird populations through, for example, increased hygiene around bird feeding practices, may be key in reducing environmental contamination.

求助全文
通过发布文献求助,成功后即可免费获取论文全文。 去求助
来源期刊
Scientific Reports
Scientific Reports Natural Science Disciplines-
CiteScore
7.50
自引率
4.30%
发文量
19567
审稿时长
3.9 months
期刊介绍: We publish original research from all areas of the natural sciences, psychology, medicine and engineering. You can learn more about what we publish by browsing our specific scientific subject areas below or explore Scientific Reports by browsing all articles and collections. Scientific Reports has a 2-year impact factor: 4.380 (2021), and is the 6th most-cited journal in the world, with more than 540,000 citations in 2020 (Clarivate Analytics, 2021). •Engineering Engineering covers all aspects of engineering, technology, and applied science. It plays a crucial role in the development of technologies to address some of the world''s biggest challenges, helping to save lives and improve the way we live. •Physical sciences Physical sciences are those academic disciplines that aim to uncover the underlying laws of nature — often written in the language of mathematics. It is a collective term for areas of study including astronomy, chemistry, materials science and physics. •Earth and environmental sciences Earth and environmental sciences cover all aspects of Earth and planetary science and broadly encompass solid Earth processes, surface and atmospheric dynamics, Earth system history, climate and climate change, marine and freshwater systems, and ecology. It also considers the interactions between humans and these systems. •Biological sciences Biological sciences encompass all the divisions of natural sciences examining various aspects of vital processes. The concept includes anatomy, physiology, cell biology, biochemistry and biophysics, and covers all organisms from microorganisms, animals to plants. •Health sciences The health sciences study health, disease and healthcare. This field of study aims to develop knowledge, interventions and technology for use in healthcare to improve the treatment of patients.
×
引用
GB/T 7714-2015
复制
MLA
复制
APA
复制
导出至
BibTeX EndNote RefMan NoteFirst NoteExpress
×
提示
您的信息不完整,为了账户安全,请先补充。
现在去补充
×
提示
您因"违规操作"
具体请查看互助需知
我知道了
×
提示
确定
请完成安全验证×
copy
已复制链接
快去分享给好友吧!
我知道了
右上角分享
点击右上角分享
0
联系我们:info@booksci.cn Book学术提供免费学术资源搜索服务,方便国内外学者检索中英文文献。致力于提供最便捷和优质的服务体验。 Copyright © 2023 布克学术 All rights reserved.
京ICP备2023020795号-1
ghs 京公网安备 11010802042870号
Book学术文献互助
Book学术文献互助群
群 号:604180095
Book学术官方微信