通过CFD参数研究流动模糊注射的流型转变。

IF 3.9 2区 综合性期刊 Q1 MULTIDISCIPLINARY SCIENCES
S Amirreza S Madani, Erfan Vaezi, Mohammad Reza Morad, Amir Keshmiri
{"title":"通过CFD参数研究流动模糊注射的流型转变。","authors":"S Amirreza S Madani, Erfan Vaezi, Mohammad Reza Morad, Amir Keshmiri","doi":"10.1038/s41598-025-13047-7","DOIUrl":null,"url":null,"abstract":"<p><p>Flow-blurring (FB) is a twin-fluid atomization technique that generates fine sprays through internal turbulent mixing. This study presents a parametric computational investigation of an FB injector operating with air and various liquids at ambient pressure. A validated unsteady two-phase solver based on the Volume of Fluid (VOF) method is used to model the injector at different air-to-liquid mass flow rate ratios (ALRs). Parameters such as penetration length, volume fraction, static pressure, vorticity magnitude, and turbulent kinetic energy are analyzed to understand flow dynamics. The results identify three distinct flow regimes: air-dominant, liquid-dominant, and bubbly flow. Screening analysis of a full factorial design of 32 cases shows that liquid mass flow rate and dynamic viscosity are the most influential factors in penetration length. The resulting penetration length varies between 2 [mm] and 8.5 [mm] across the design space. A correlation analysis confirms these findings and reveals important two-way interactions between parameters, such as the positive effect of combined liquid and air mass flow rates. This insight offers a promising pathway for optimizing flow-blurring injectors in various applications.</p>","PeriodicalId":21811,"journal":{"name":"Scientific Reports","volume":"15 1","pages":"28178"},"PeriodicalIF":3.9000,"publicationDate":"2025-08-01","publicationTypes":"Journal Article","fieldsOfStudy":null,"isOpenAccess":false,"openAccessPdf":"https://www.ncbi.nlm.nih.gov/pmc/articles/PMC12316936/pdf/","citationCount":"0","resultStr":"{\"title\":\"Flow regime transitions in flow blurring injection through a CFD parametric study.\",\"authors\":\"S Amirreza S Madani, Erfan Vaezi, Mohammad Reza Morad, Amir Keshmiri\",\"doi\":\"10.1038/s41598-025-13047-7\",\"DOIUrl\":null,\"url\":null,\"abstract\":\"<p><p>Flow-blurring (FB) is a twin-fluid atomization technique that generates fine sprays through internal turbulent mixing. This study presents a parametric computational investigation of an FB injector operating with air and various liquids at ambient pressure. A validated unsteady two-phase solver based on the Volume of Fluid (VOF) method is used to model the injector at different air-to-liquid mass flow rate ratios (ALRs). Parameters such as penetration length, volume fraction, static pressure, vorticity magnitude, and turbulent kinetic energy are analyzed to understand flow dynamics. The results identify three distinct flow regimes: air-dominant, liquid-dominant, and bubbly flow. Screening analysis of a full factorial design of 32 cases shows that liquid mass flow rate and dynamic viscosity are the most influential factors in penetration length. The resulting penetration length varies between 2 [mm] and 8.5 [mm] across the design space. A correlation analysis confirms these findings and reveals important two-way interactions between parameters, such as the positive effect of combined liquid and air mass flow rates. This insight offers a promising pathway for optimizing flow-blurring injectors in various applications.</p>\",\"PeriodicalId\":21811,\"journal\":{\"name\":\"Scientific Reports\",\"volume\":\"15 1\",\"pages\":\"28178\"},\"PeriodicalIF\":3.9000,\"publicationDate\":\"2025-08-01\",\"publicationTypes\":\"Journal Article\",\"fieldsOfStudy\":null,\"isOpenAccess\":false,\"openAccessPdf\":\"https://www.ncbi.nlm.nih.gov/pmc/articles/PMC12316936/pdf/\",\"citationCount\":\"0\",\"resultStr\":null,\"platform\":\"Semanticscholar\",\"paperid\":null,\"PeriodicalName\":\"Scientific Reports\",\"FirstCategoryId\":\"103\",\"ListUrlMain\":\"https://doi.org/10.1038/s41598-025-13047-7\",\"RegionNum\":2,\"RegionCategory\":\"综合性期刊\",\"ArticlePicture\":[],\"TitleCN\":null,\"AbstractTextCN\":null,\"PMCID\":null,\"EPubDate\":\"\",\"PubModel\":\"\",\"JCR\":\"Q1\",\"JCRName\":\"MULTIDISCIPLINARY SCIENCES\",\"Score\":null,\"Total\":0}","platform":"Semanticscholar","paperid":null,"PeriodicalName":"Scientific Reports","FirstCategoryId":"103","ListUrlMain":"https://doi.org/10.1038/s41598-025-13047-7","RegionNum":2,"RegionCategory":"综合性期刊","ArticlePicture":[],"TitleCN":null,"AbstractTextCN":null,"PMCID":null,"EPubDate":"","PubModel":"","JCR":"Q1","JCRName":"MULTIDISCIPLINARY SCIENCES","Score":null,"Total":0}
引用次数: 0

摘要

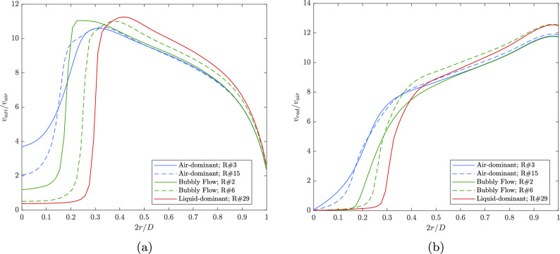
流动模糊(FB)是一种双流体雾化技术,通过内部湍流混合产生精细喷雾。本文介绍了在环境压力下使用空气和各种液体的FB喷射器的参数化计算研究。采用经过验证的基于流体体积法的非定常两相求解器,对不同气液质量流量比(ALRs)下的喷射器进行了建模。通过分析穿透长度、体积分数、静压、涡量大小和湍流动能等参数来了解流动动力学。结果确定了三种不同的流动形式:空气主导、液体主导和气泡流动。32例全因子设计筛选分析表明,液体质量流量和动态粘度是影响穿透长度的主要因素。在整个设计空间中,穿透长度在2毫米到8.5毫米之间变化。相关分析证实了这些发现,并揭示了参数之间重要的双向相互作用,例如液体和空气质量组合流量的积极影响。这一见解为优化各种应用中的流动模糊注入器提供了一条有前途的途径。
本文章由计算机程序翻译,如有差异,请以英文原文为准。

Flow regime transitions in flow blurring injection through a CFD parametric study.

Flow regime transitions in flow blurring injection through a CFD parametric study.

Flow regime transitions in flow blurring injection through a CFD parametric study.

Flow regime transitions in flow blurring injection through a CFD parametric study.

Flow-blurring (FB) is a twin-fluid atomization technique that generates fine sprays through internal turbulent mixing. This study presents a parametric computational investigation of an FB injector operating with air and various liquids at ambient pressure. A validated unsteady two-phase solver based on the Volume of Fluid (VOF) method is used to model the injector at different air-to-liquid mass flow rate ratios (ALRs). Parameters such as penetration length, volume fraction, static pressure, vorticity magnitude, and turbulent kinetic energy are analyzed to understand flow dynamics. The results identify three distinct flow regimes: air-dominant, liquid-dominant, and bubbly flow. Screening analysis of a full factorial design of 32 cases shows that liquid mass flow rate and dynamic viscosity are the most influential factors in penetration length. The resulting penetration length varies between 2 [mm] and 8.5 [mm] across the design space. A correlation analysis confirms these findings and reveals important two-way interactions between parameters, such as the positive effect of combined liquid and air mass flow rates. This insight offers a promising pathway for optimizing flow-blurring injectors in various applications.

求助全文
通过发布文献求助,成功后即可免费获取论文全文。 去求助
来源期刊
Scientific Reports
Scientific Reports Natural Science Disciplines-
CiteScore
7.50
自引率
4.30%
发文量
19567
审稿时长
3.9 months
期刊介绍: We publish original research from all areas of the natural sciences, psychology, medicine and engineering. You can learn more about what we publish by browsing our specific scientific subject areas below or explore Scientific Reports by browsing all articles and collections. Scientific Reports has a 2-year impact factor: 4.380 (2021), and is the 6th most-cited journal in the world, with more than 540,000 citations in 2020 (Clarivate Analytics, 2021). •Engineering Engineering covers all aspects of engineering, technology, and applied science. It plays a crucial role in the development of technologies to address some of the world''s biggest challenges, helping to save lives and improve the way we live. •Physical sciences Physical sciences are those academic disciplines that aim to uncover the underlying laws of nature — often written in the language of mathematics. It is a collective term for areas of study including astronomy, chemistry, materials science and physics. •Earth and environmental sciences Earth and environmental sciences cover all aspects of Earth and planetary science and broadly encompass solid Earth processes, surface and atmospheric dynamics, Earth system history, climate and climate change, marine and freshwater systems, and ecology. It also considers the interactions between humans and these systems. •Biological sciences Biological sciences encompass all the divisions of natural sciences examining various aspects of vital processes. The concept includes anatomy, physiology, cell biology, biochemistry and biophysics, and covers all organisms from microorganisms, animals to plants. •Health sciences The health sciences study health, disease and healthcare. This field of study aims to develop knowledge, interventions and technology for use in healthcare to improve the treatment of patients.
×
引用
GB/T 7714-2015
复制
MLA
复制
APA
复制
导出至
BibTeX EndNote RefMan NoteFirst NoteExpress
×
提示
您的信息不完整,为了账户安全,请先补充。
现在去补充
×
提示
您因"违规操作"
具体请查看互助需知
我知道了
×
提示
确定
请完成安全验证×
copy
已复制链接
快去分享给好友吧!
我知道了
右上角分享
点击右上角分享
0
联系我们:info@booksci.cn Book学术提供免费学术资源搜索服务,方便国内外学者检索中英文文献。致力于提供最便捷和优质的服务体验。 Copyright © 2023 布克学术 All rights reserved.
京ICP备2023020795号-1
ghs 京公网安备 11010802042870号
Book学术文献互助
Book学术文献互助群
群 号:604180095
Book学术官方微信