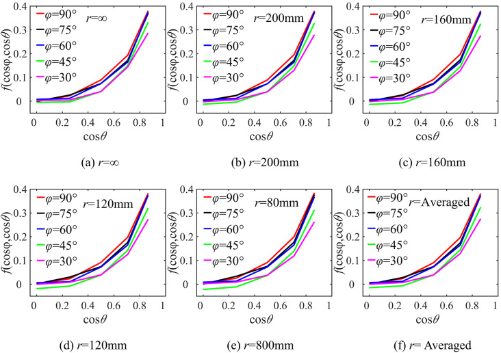
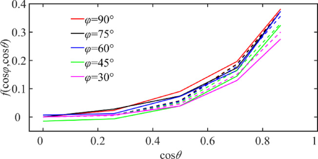
考虑冲击角和装药半径的破片起爆装药临界速度判据。

IF 3.9 2区 综合性期刊 Q1 MULTIDISCIPLINARY SCIENCES
Hao Cui, Junan Wu, Yuxin Xu, Pu Song, Rui Guo
{"title":"考虑冲击角和装药半径的破片起爆装药临界速度判据。","authors":"Hao Cui, Junan Wu, Yuxin Xu, Pu Song, Rui Guo","doi":"10.1038/s41598-025-08750-4","DOIUrl":null,"url":null,"abstract":"<p><p>The initiation criterion is utilized to predict the critical detonation condition of explosives and plays a dominant role in the fields of survivability, vulnerability, and safety. In order to predict the threshold criterion of explosives initiated by fragment impact in three-dimensional scenarios, the detonation threshold velocities of Comp B (61% Hexahydro-1,3,5-trinitro-1,3,5-triazine, 39% 2,4,6-trinitrotoluene) explosive charges with different radii under the fragment impact at different polar angles and azimuth angles were obtained by numerical calculations, and further, a three-dimensional initiation criterion was established. The results show that when the impact polar angle of the fragment is fixed, the critical velocity under the same azimuth angle scenario increases as the radius of the charge decreases. When the impact azimuth angle of the fragment is fixed, the critical velocity under the same polar angle scenario is almost unaffected by the charge radius. The maximum error between the three-dimensional initiation criterion and the simulation is 3.09%, indicating the high accuracy of the established initiation criterion.</p>","PeriodicalId":21811,"journal":{"name":"Scientific Reports","volume":"15 1","pages":"28116"},"PeriodicalIF":3.9000,"publicationDate":"2025-08-01","publicationTypes":"Journal Article","fieldsOfStudy":null,"isOpenAccess":false,"openAccessPdf":"https://www.ncbi.nlm.nih.gov/pmc/articles/PMC12317034/pdf/","citationCount":"0","resultStr":"{\"title\":\"Critical velocity criterion of explosive charges initiated by fragment impact considering impact angle and charge radius.\",\"authors\":\"Hao Cui, Junan Wu, Yuxin Xu, Pu Song, Rui Guo\",\"doi\":\"10.1038/s41598-025-08750-4\",\"DOIUrl\":null,\"url\":null,\"abstract\":\"<p><p>The initiation criterion is utilized to predict the critical detonation condition of explosives and plays a dominant role in the fields of survivability, vulnerability, and safety. In order to predict the threshold criterion of explosives initiated by fragment impact in three-dimensional scenarios, the detonation threshold velocities of Comp B (61% Hexahydro-1,3,5-trinitro-1,3,5-triazine, 39% 2,4,6-trinitrotoluene) explosive charges with different radii under the fragment impact at different polar angles and azimuth angles were obtained by numerical calculations, and further, a three-dimensional initiation criterion was established. The results show that when the impact polar angle of the fragment is fixed, the critical velocity under the same azimuth angle scenario increases as the radius of the charge decreases. When the impact azimuth angle of the fragment is fixed, the critical velocity under the same polar angle scenario is almost unaffected by the charge radius. The maximum error between the three-dimensional initiation criterion and the simulation is 3.09%, indicating the high accuracy of the established initiation criterion.</p>\",\"PeriodicalId\":21811,\"journal\":{\"name\":\"Scientific Reports\",\"volume\":\"15 1\",\"pages\":\"28116\"},\"PeriodicalIF\":3.9000,\"publicationDate\":\"2025-08-01\",\"publicationTypes\":\"Journal Article\",\"fieldsOfStudy\":null,\"isOpenAccess\":false,\"openAccessPdf\":\"https://www.ncbi.nlm.nih.gov/pmc/articles/PMC12317034/pdf/\",\"citationCount\":\"0\",\"resultStr\":null,\"platform\":\"Semanticscholar\",\"paperid\":null,\"PeriodicalName\":\"Scientific Reports\",\"FirstCategoryId\":\"103\",\"ListUrlMain\":\"https://doi.org/10.1038/s41598-025-08750-4\",\"RegionNum\":2,\"RegionCategory\":\"综合性期刊\",\"ArticlePicture\":[],\"TitleCN\":null,\"AbstractTextCN\":null,\"PMCID\":null,\"EPubDate\":\"\",\"PubModel\":\"\",\"JCR\":\"Q1\",\"JCRName\":\"MULTIDISCIPLINARY SCIENCES\",\"Score\":null,\"Total\":0}","platform":"Semanticscholar","paperid":null,"PeriodicalName":"Scientific Reports","FirstCategoryId":"103","ListUrlMain":"https://doi.org/10.1038/s41598-025-08750-4","RegionNum":2,"RegionCategory":"综合性期刊","ArticlePicture":[],"TitleCN":null,"AbstractTextCN":null,"PMCID":null,"EPubDate":"","PubModel":"","JCR":"Q1","JCRName":"MULTIDISCIPLINARY SCIENCES","Score":null,"Total":0}
引用次数: 0

摘要

起爆准则用于预测炸药的临界爆轰条件,在炸药的生存性、易损性和安全性等方面起着主导作用。为了预测三维场景破片起爆的阈值判据,通过数值计算得到了不同半径B型(61%六氢-1,3,5-三硝基-1,3,5-三嗪,39% 2,4,6-三硝基甲苯)装药在不同极角和方位角破片起爆下的起爆速度,并建立了三维起爆判据。结果表明:当破片冲击极角一定时,相同方位角下的临界速度随着装药半径的减小而增大;当破片冲击方位角一定时,相同极角情况下的临界速度几乎不受装药半径的影响。三维起爆准则与仿真结果的最大误差为3.09%,表明所建立的起爆准则具有较高的精度。
本文章由计算机程序翻译,如有差异,请以英文原文为准。

Critical velocity criterion of explosive charges initiated by fragment impact considering impact angle and charge radius.

Critical velocity criterion of explosive charges initiated by fragment impact considering impact angle and charge radius.

Critical velocity criterion of explosive charges initiated by fragment impact considering impact angle and charge radius.

Critical velocity criterion of explosive charges initiated by fragment impact considering impact angle and charge radius.

The initiation criterion is utilized to predict the critical detonation condition of explosives and plays a dominant role in the fields of survivability, vulnerability, and safety. In order to predict the threshold criterion of explosives initiated by fragment impact in three-dimensional scenarios, the detonation threshold velocities of Comp B (61% Hexahydro-1,3,5-trinitro-1,3,5-triazine, 39% 2,4,6-trinitrotoluene) explosive charges with different radii under the fragment impact at different polar angles and azimuth angles were obtained by numerical calculations, and further, a three-dimensional initiation criterion was established. The results show that when the impact polar angle of the fragment is fixed, the critical velocity under the same azimuth angle scenario increases as the radius of the charge decreases. When the impact azimuth angle of the fragment is fixed, the critical velocity under the same polar angle scenario is almost unaffected by the charge radius. The maximum error between the three-dimensional initiation criterion and the simulation is 3.09%, indicating the high accuracy of the established initiation criterion.

求助全文
通过发布文献求助,成功后即可免费获取论文全文。 去求助
来源期刊
Scientific Reports
Scientific Reports Natural Science Disciplines-
CiteScore
7.50
自引率
4.30%
发文量
19567
审稿时长
3.9 months
期刊介绍: We publish original research from all areas of the natural sciences, psychology, medicine and engineering. You can learn more about what we publish by browsing our specific scientific subject areas below or explore Scientific Reports by browsing all articles and collections. Scientific Reports has a 2-year impact factor: 4.380 (2021), and is the 6th most-cited journal in the world, with more than 540,000 citations in 2020 (Clarivate Analytics, 2021). •Engineering Engineering covers all aspects of engineering, technology, and applied science. It plays a crucial role in the development of technologies to address some of the world''s biggest challenges, helping to save lives and improve the way we live. •Physical sciences Physical sciences are those academic disciplines that aim to uncover the underlying laws of nature — often written in the language of mathematics. It is a collective term for areas of study including astronomy, chemistry, materials science and physics. •Earth and environmental sciences Earth and environmental sciences cover all aspects of Earth and planetary science and broadly encompass solid Earth processes, surface and atmospheric dynamics, Earth system history, climate and climate change, marine and freshwater systems, and ecology. It also considers the interactions between humans and these systems. •Biological sciences Biological sciences encompass all the divisions of natural sciences examining various aspects of vital processes. The concept includes anatomy, physiology, cell biology, biochemistry and biophysics, and covers all organisms from microorganisms, animals to plants. •Health sciences The health sciences study health, disease and healthcare. This field of study aims to develop knowledge, interventions and technology for use in healthcare to improve the treatment of patients.
×
引用
GB/T 7714-2015
复制
MLA
复制
APA
复制
导出至
BibTeX EndNote RefMan NoteFirst NoteExpress
×
提示
您的信息不完整,为了账户安全,请先补充。
现在去补充
×
提示
您因"违规操作"
具体请查看互助需知
我知道了
×
提示
确定
请完成安全验证×
copy
已复制链接
快去分享给好友吧!
我知道了
右上角分享
点击右上角分享
0
联系我们:info@booksci.cn Book学术提供免费学术资源搜索服务,方便国内外学者检索中英文文献。致力于提供最便捷和优质的服务体验。 Copyright © 2023 布克学术 All rights reserved.
京ICP备2023020795号-1
ghs 京公网安备 11010802042870号
Book学术文献互助
Book学术文献互助群
群 号:604180095
Book学术官方微信