循环BCKAs与2型糖尿病脂肪组织胰岛素抵抗密切相关。

IF 3.9 3区 医学 Q2 ENDOCRINOLOGY & METABOLISM
Jie Gao, Mai Re YanMu Rouzi, Haofan Yang, Wenhao Zheng, Liang Wang, Tao Lei, Jun Lu
{"title":"循环BCKAs与2型糖尿病脂肪组织胰岛素抵抗密切相关。","authors":"Jie Gao, Mai Re YanMu Rouzi, Haofan Yang, Wenhao Zheng, Liang Wang, Tao Lei, Jun Lu","doi":"10.1186/s13098-025-01860-z","DOIUrl":null,"url":null,"abstract":"<p><strong>Background: </strong>This study aimed to examine the association between branched-chain amino acids/branched-chain α-keto acids (BCAAs/BCKAs) and adipose tissue insulin resistance (Adipo-IR) in patients with type 2 diabetes mellitus (T2DM).</p><p><strong>Methods: </strong>A total of 506 patients with T2DM were included in this cross-sectional study. Participants were categorized into two groups based on Adipo-IR levels (non-Adipo-IR: Adipo-IR<7.68; Adipo-IR: Adipo-IR ≥ 7.68). Serum BCAA/BCKA concentrations were measured using ELISA kits. Correlations between BCAAs/BCKAs and Adipo-IR or HOMA-IR were evaluated using Spearman correlation analysis. Binary logistic regression was used to examine the associations of BCKAs with both indices of insulin resistance.</p><p><strong>Results: </strong>Median serum BCKA levels were significantly higher in the Adipo-IR group than in the non-Adipo-IR (128.27 vs. 121.16, p < 0.001), while there was no significant difference in median serum BCAA levels between the two groups (2.54 vs. 2.52, p = 0.714). BCKAs were positively correlated with both Adipo-IR and HOMA-IR (both p < 0.01), and the association with Adipo-IR was stronger. Binary logistic regression analysis revealed that BCKAs were associated with Adipo-IR regardless of adjustment for influencing factors, with increasing odds ratios across BCKAs quartiles (p for trend < 0.01). However, after adjusting for covariates, the association between BCKAs and HOMA-IR was no longer significant.</p><p><strong>Conclusions: </strong>Serum BCKA levels were elevated in T2DM patients with Adipo-IR and were more strongly correlated with Adipo-IR than HOMA-IR. BCKAs may serve as sensitive biomarkers for Adipo-IR. Consequently, we would promote their clinical usage in the early screening of individuals with obesity, insulin resistance and a high risk of T2DM.</p>","PeriodicalId":11106,"journal":{"name":"Diabetology & Metabolic Syndrome","volume":"17 1","pages":"308"},"PeriodicalIF":3.9000,"publicationDate":"2025-08-01","publicationTypes":"Journal Article","fieldsOfStudy":null,"isOpenAccess":false,"openAccessPdf":"https://www.ncbi.nlm.nih.gov/pmc/articles/PMC12315228/pdf/","citationCount":"0","resultStr":"{\"title\":\"Circulating BCKAs are closely associated with adipose tissue insulin resistance in type 2 diabetes.\",\"authors\":\"Jie Gao, Mai Re YanMu Rouzi, Haofan Yang, Wenhao Zheng, Liang Wang, Tao Lei, Jun Lu\",\"doi\":\"10.1186/s13098-025-01860-z\",\"DOIUrl\":null,\"url\":null,\"abstract\":\"<p><strong>Background: </strong>This study aimed to examine the association between branched-chain amino acids/branched-chain α-keto acids (BCAAs/BCKAs) and adipose tissue insulin resistance (Adipo-IR) in patients with type 2 diabetes mellitus (T2DM).</p><p><strong>Methods: </strong>A total of 506 patients with T2DM were included in this cross-sectional study. Participants were categorized into two groups based on Adipo-IR levels (non-Adipo-IR: Adipo-IR<7.68; Adipo-IR: Adipo-IR ≥ 7.68). Serum BCAA/BCKA concentrations were measured using ELISA kits. Correlations between BCAAs/BCKAs and Adipo-IR or HOMA-IR were evaluated using Spearman correlation analysis. Binary logistic regression was used to examine the associations of BCKAs with both indices of insulin resistance.</p><p><strong>Results: </strong>Median serum BCKA levels were significantly higher in the Adipo-IR group than in the non-Adipo-IR (128.27 vs. 121.16, p < 0.001), while there was no significant difference in median serum BCAA levels between the two groups (2.54 vs. 2.52, p = 0.714). BCKAs were positively correlated with both Adipo-IR and HOMA-IR (both p < 0.01), and the association with Adipo-IR was stronger. Binary logistic regression analysis revealed that BCKAs were associated with Adipo-IR regardless of adjustment for influencing factors, with increasing odds ratios across BCKAs quartiles (p for trend < 0.01). However, after adjusting for covariates, the association between BCKAs and HOMA-IR was no longer significant.</p><p><strong>Conclusions: </strong>Serum BCKA levels were elevated in T2DM patients with Adipo-IR and were more strongly correlated with Adipo-IR than HOMA-IR. BCKAs may serve as sensitive biomarkers for Adipo-IR. Consequently, we would promote their clinical usage in the early screening of individuals with obesity, insulin resistance and a high risk of T2DM.</p>\",\"PeriodicalId\":11106,\"journal\":{\"name\":\"Diabetology & Metabolic Syndrome\",\"volume\":\"17 1\",\"pages\":\"308\"},\"PeriodicalIF\":3.9000,\"publicationDate\":\"2025-08-01\",\"publicationTypes\":\"Journal Article\",\"fieldsOfStudy\":null,\"isOpenAccess\":false,\"openAccessPdf\":\"https://www.ncbi.nlm.nih.gov/pmc/articles/PMC12315228/pdf/\",\"citationCount\":\"0\",\"resultStr\":null,\"platform\":\"Semanticscholar\",\"paperid\":null,\"PeriodicalName\":\"Diabetology & Metabolic Syndrome\",\"FirstCategoryId\":\"3\",\"ListUrlMain\":\"https://doi.org/10.1186/s13098-025-01860-z\",\"RegionNum\":3,\"RegionCategory\":\"医学\",\"ArticlePicture\":[],\"TitleCN\":null,\"AbstractTextCN\":null,\"PMCID\":null,\"EPubDate\":\"\",\"PubModel\":\"\",\"JCR\":\"Q2\",\"JCRName\":\"ENDOCRINOLOGY & METABOLISM\",\"Score\":null,\"Total\":0}","platform":"Semanticscholar","paperid":null,"PeriodicalName":"Diabetology & Metabolic Syndrome","FirstCategoryId":"3","ListUrlMain":"https://doi.org/10.1186/s13098-025-01860-z","RegionNum":3,"RegionCategory":"医学","ArticlePicture":[],"TitleCN":null,"AbstractTextCN":null,"PMCID":null,"EPubDate":"","PubModel":"","JCR":"Q2","JCRName":"ENDOCRINOLOGY & METABOLISM","Score":null,"Total":0}
引用次数: 0

摘要

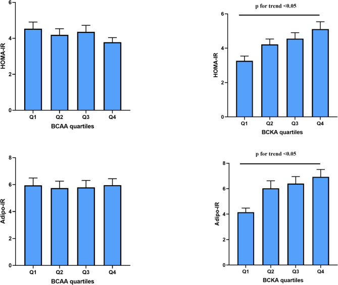
背景:本研究旨在探讨2型糖尿病(T2DM)患者支链氨基酸/支链α-酮酸(BCAAs/BCKAs)与脂肪组织胰岛素抵抗(Adipo-IR)之间的关系。方法:本横断面研究共纳入506例T2DM患者。根据Adipo-IR水平将参与者分为两组(非Adipo-IR: Adipo-IR)结果:Adipo-IR组血清BCKA水平中位数显著高于非Adipo-IR组(128.27 vs 121.16, p)结论:伴有Adipo-IR的T2DM患者血清BCKA水平升高,且与Adipo-IR的相关性强于HOMA-IR。BCKAs可以作为Adipo-IR的敏感生物标志物。因此,我们将促进它们在肥胖、胰岛素抵抗和T2DM高危人群的早期筛查中的临床应用。
本文章由计算机程序翻译,如有差异,请以英文原文为准。

Circulating BCKAs are closely associated with adipose tissue insulin resistance in type 2 diabetes.

Circulating BCKAs are closely associated with adipose tissue insulin resistance in type 2 diabetes.

Circulating BCKAs are closely associated with adipose tissue insulin resistance in type 2 diabetes.

Background: This study aimed to examine the association between branched-chain amino acids/branched-chain α-keto acids (BCAAs/BCKAs) and adipose tissue insulin resistance (Adipo-IR) in patients with type 2 diabetes mellitus (T2DM).

Methods: A total of 506 patients with T2DM were included in this cross-sectional study. Participants were categorized into two groups based on Adipo-IR levels (non-Adipo-IR: Adipo-IR<7.68; Adipo-IR: Adipo-IR ≥ 7.68). Serum BCAA/BCKA concentrations were measured using ELISA kits. Correlations between BCAAs/BCKAs and Adipo-IR or HOMA-IR were evaluated using Spearman correlation analysis. Binary logistic regression was used to examine the associations of BCKAs with both indices of insulin resistance.

Results: Median serum BCKA levels were significantly higher in the Adipo-IR group than in the non-Adipo-IR (128.27 vs. 121.16, p < 0.001), while there was no significant difference in median serum BCAA levels between the two groups (2.54 vs. 2.52, p = 0.714). BCKAs were positively correlated with both Adipo-IR and HOMA-IR (both p < 0.01), and the association with Adipo-IR was stronger. Binary logistic regression analysis revealed that BCKAs were associated with Adipo-IR regardless of adjustment for influencing factors, with increasing odds ratios across BCKAs quartiles (p for trend < 0.01). However, after adjusting for covariates, the association between BCKAs and HOMA-IR was no longer significant.

Conclusions: Serum BCKA levels were elevated in T2DM patients with Adipo-IR and were more strongly correlated with Adipo-IR than HOMA-IR. BCKAs may serve as sensitive biomarkers for Adipo-IR. Consequently, we would promote their clinical usage in the early screening of individuals with obesity, insulin resistance and a high risk of T2DM.

求助全文
通过发布文献求助,成功后即可免费获取论文全文。 去求助
来源期刊
Diabetology & Metabolic Syndrome
Diabetology & Metabolic Syndrome ENDOCRINOLOGY & METABOLISM-
CiteScore
6.20
自引率
0.00%
发文量
170
审稿时长
7.5 months
期刊介绍: Diabetology & Metabolic Syndrome publishes articles on all aspects of the pathophysiology of diabetes and metabolic syndrome. By publishing original material exploring any area of laboratory, animal or clinical research into diabetes and metabolic syndrome, the journal offers a high-visibility forum for new insights and discussions into the issues of importance to the relevant community.
×
引用
GB/T 7714-2015
复制
MLA
复制
APA
复制
导出至
BibTeX EndNote RefMan NoteFirst NoteExpress
×
提示
您的信息不完整,为了账户安全,请先补充。
现在去补充
×
提示
您因"违规操作"
具体请查看互助需知
我知道了
×
提示
确定
请完成安全验证×
copy
已复制链接
快去分享给好友吧!
我知道了
右上角分享
点击右上角分享
0
联系我们:info@booksci.cn Book学术提供免费学术资源搜索服务,方便国内外学者检索中英文文献。致力于提供最便捷和优质的服务体验。 Copyright © 2023 布克学术 All rights reserved.
京ICP备2023020795号-1
ghs 京公网安备 11010802042870号
Book学术文献互助
Book学术文献互助群
群 号:604180095
Book学术官方微信