GAAD和ASAP评分预测早期肝细胞癌的比较。

IF 4.2 3区 医学 Q2 GASTROENTEROLOGY & HEPATOLOGY
Gastroenterology Report Pub Date : 2025-07-30 eCollection Date: 2025-01-01 DOI:10.1093/gastro/goaf074
Chongkonrat Maneenil, Pimsiri Sripongpun, Naichaya Chamroonkul, Piraya Tantisaranon, Roongrueng Jarumanokul, Maseetoh Samaeng, Yupawadee Yamsuwan, Lalita Fonghoi, Amornkan Numit, Teerha Piratvisuth, Apichat Kaewdech
{"title":"GAAD和ASAP评分预测早期肝细胞癌的比较。","authors":"Chongkonrat Maneenil, Pimsiri Sripongpun, Naichaya Chamroonkul, Piraya Tantisaranon, Roongrueng Jarumanokul, Maseetoh Samaeng, Yupawadee Yamsuwan, Lalita Fonghoi, Amornkan Numit, Teerha Piratvisuth, Apichat Kaewdech","doi":"10.1093/gastro/goaf074","DOIUrl":null,"url":null,"abstract":"<p><strong>Background: </strong>The gender, age, alpha-fetoprotein (AFP), and des-gamma-carboxy prothrombin (GAAD) score is a recent predictive tool for hepatocellular carcinoma (HCC) but lacks comparison with the AFP, Sex, Age, and Protein induced by vitamin K absence-II (ASAP) score, which uses similar parameters with different assays and formulas. Our study aimed to evaluate the performance differences between these two scores.</p><p><strong>Methods: </strong>Blood samples from 622 patients with chronic liver diseases at Songklanagarind Hospital between 20 April 2023 and 31 December 2023 were analyzed. The cutoffs for the ASAP and GAAD scores were established as 0.526 and 2.570, respectively, and HCC diagnoses followed the European Association for the Study of the Liver (EASL) or the American Association for the Study of Liver Diseases (AASLD) guidelines.</p><p><strong>Results: </strong>HCC diagnoses were observed in 28.6% of patients, with 48.3% diagnosed with early-stage diseases (Barcelona Clinic Liver Cancer stage 0 = 23, A = 63). Hepatitis B virus infection (40.4%) and metabolic dysfunction-associated steatotic liver disease (21.3%) were predominant causes. The area under the receiver operating characteristic curve (AUROCs) of the ASAP and GAAD scores for predicting all-stage HCC were comparable (0.933 vs 0.937, <i>P </i>= 0.578). For early-stage HCC, AUROCs were 0.880 (ASAP) and 0.891 (GAAD) (<i>P </i>= 0.353). Sensitivity and specificity for predicting all-stage HCC were 83.15% and 91.44% (ASAP), and 82.58% and 89.64% (GAAD), respectively; these values for early-stage HCC were 66.28% and 91.44% (ASAP) and 67.44% and 89.64% (GAAD). Subgroup analyses by cirrhosis and etiology showed no significant differences. New cutoff values of -0.083 (ASAP) and 1.725 (GAAD) were identified for at least 80% sensitivity and specificity for predicting early-stage HCC.</p><p><strong>Conclusion: </strong>Both the GAAD and ASAP scores demonstrated excellent and comparable abilities in HCC detection across all stages, unaffected by cirrhosis or etiological differences.</p>","PeriodicalId":54275,"journal":{"name":"Gastroenterology Report","volume":"13 ","pages":"goaf074"},"PeriodicalIF":4.2000,"publicationDate":"2025-07-30","publicationTypes":"Journal Article","fieldsOfStudy":null,"isOpenAccess":false,"openAccessPdf":"https://www.ncbi.nlm.nih.gov/pmc/articles/PMC12311291/pdf/","citationCount":"0","resultStr":"{\"title\":\"Comparative performance of the GAAD and ASAP scores in predicting early-stage hepatocellular carcinoma.\",\"authors\":\"Chongkonrat Maneenil, Pimsiri Sripongpun, Naichaya Chamroonkul, Piraya Tantisaranon, Roongrueng Jarumanokul, Maseetoh Samaeng, Yupawadee Yamsuwan, Lalita Fonghoi, Amornkan Numit, Teerha Piratvisuth, Apichat Kaewdech\",\"doi\":\"10.1093/gastro/goaf074\",\"DOIUrl\":null,\"url\":null,\"abstract\":\"<p><strong>Background: </strong>The gender, age, alpha-fetoprotein (AFP), and des-gamma-carboxy prothrombin (GAAD) score is a recent predictive tool for hepatocellular carcinoma (HCC) but lacks comparison with the AFP, Sex, Age, and Protein induced by vitamin K absence-II (ASAP) score, which uses similar parameters with different assays and formulas. Our study aimed to evaluate the performance differences between these two scores.</p><p><strong>Methods: </strong>Blood samples from 622 patients with chronic liver diseases at Songklanagarind Hospital between 20 April 2023 and 31 December 2023 were analyzed. The cutoffs for the ASAP and GAAD scores were established as 0.526 and 2.570, respectively, and HCC diagnoses followed the European Association for the Study of the Liver (EASL) or the American Association for the Study of Liver Diseases (AASLD) guidelines.</p><p><strong>Results: </strong>HCC diagnoses were observed in 28.6% of patients, with 48.3% diagnosed with early-stage diseases (Barcelona Clinic Liver Cancer stage 0 = 23, A = 63). Hepatitis B virus infection (40.4%) and metabolic dysfunction-associated steatotic liver disease (21.3%) were predominant causes. The area under the receiver operating characteristic curve (AUROCs) of the ASAP and GAAD scores for predicting all-stage HCC were comparable (0.933 vs 0.937, <i>P </i>= 0.578). For early-stage HCC, AUROCs were 0.880 (ASAP) and 0.891 (GAAD) (<i>P </i>= 0.353). Sensitivity and specificity for predicting all-stage HCC were 83.15% and 91.44% (ASAP), and 82.58% and 89.64% (GAAD), respectively; these values for early-stage HCC were 66.28% and 91.44% (ASAP) and 67.44% and 89.64% (GAAD). Subgroup analyses by cirrhosis and etiology showed no significant differences. New cutoff values of -0.083 (ASAP) and 1.725 (GAAD) were identified for at least 80% sensitivity and specificity for predicting early-stage HCC.</p><p><strong>Conclusion: </strong>Both the GAAD and ASAP scores demonstrated excellent and comparable abilities in HCC detection across all stages, unaffected by cirrhosis or etiological differences.</p>\",\"PeriodicalId\":54275,\"journal\":{\"name\":\"Gastroenterology Report\",\"volume\":\"13 \",\"pages\":\"goaf074\"},\"PeriodicalIF\":4.2000,\"publicationDate\":\"2025-07-30\",\"publicationTypes\":\"Journal Article\",\"fieldsOfStudy\":null,\"isOpenAccess\":false,\"openAccessPdf\":\"https://www.ncbi.nlm.nih.gov/pmc/articles/PMC12311291/pdf/\",\"citationCount\":\"0\",\"resultStr\":null,\"platform\":\"Semanticscholar\",\"paperid\":null,\"PeriodicalName\":\"Gastroenterology Report\",\"FirstCategoryId\":\"3\",\"ListUrlMain\":\"https://doi.org/10.1093/gastro/goaf074\",\"RegionNum\":3,\"RegionCategory\":\"医学\",\"ArticlePicture\":[],\"TitleCN\":null,\"AbstractTextCN\":null,\"PMCID\":null,\"EPubDate\":\"2025/1/1 0:00:00\",\"PubModel\":\"eCollection\",\"JCR\":\"Q2\",\"JCRName\":\"GASTROENTEROLOGY & HEPATOLOGY\",\"Score\":null,\"Total\":0}","platform":"Semanticscholar","paperid":null,"PeriodicalName":"Gastroenterology Report","FirstCategoryId":"3","ListUrlMain":"https://doi.org/10.1093/gastro/goaf074","RegionNum":3,"RegionCategory":"医学","ArticlePicture":[],"TitleCN":null,"AbstractTextCN":null,"PMCID":null,"EPubDate":"2025/1/1 0:00:00","PubModel":"eCollection","JCR":"Q2","JCRName":"GASTROENTEROLOGY & HEPATOLOGY","Score":null,"Total":0}
引用次数: 0

摘要

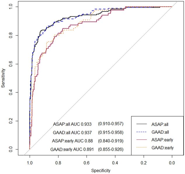
背景:性别、年龄、甲胎蛋白(AFP)和去- γ -羧基凝血酶原(GAAD)评分是肝细胞癌(HCC)的最新预测工具,但缺乏与AFP、性别、年龄和维生素K缺乏症诱导的蛋白(ASAP)评分的比较,后者使用相似的参数,但不同的检测方法和公式。我们的研究旨在评估这两个分数之间的表现差异。方法:对Songklanagarind医院2023年4月20日至2023年12月31日期间622例慢性肝病患者的血液样本进行分析。ASAP和GAAD评分的临界值分别为0.526和2.570,HCC的诊断遵循欧洲肝脏研究协会(EASL)或美国肝脏疾病研究协会(AASLD)的指南。结果:28.6%的患者被诊断为HCC,其中48.3%的患者被诊断为早期疾病(巴塞罗那临床肝癌分期0 = 23,A = 63)。乙型肝炎病毒感染(40.4%)和代谢功能障碍相关的脂肪变性肝病(21.3%)是主要原因。ASAP和GAAD评分预测全期HCC的受试者工作特征曲线下面积(auroc)具有可比性(0.933 vs 0.937, P = 0.578)。早期HCC的auroc分别为0.880 (ASAP)和0.891 (GAAD) (P = 0.353)。预测全期HCC的敏感性和特异性分别为83.15%、91.44% (ASAP)和82.58%、89.64% (GAAD);早期HCC (ASAP)分别为66.28%和91.44%,GAAD分别为67.44%和89.64%。肝硬化和病因亚组分析无显著差异。新的临界值为-0.083 (ASAP)和1.725 (GAAD),预测早期HCC的敏感性和特异性至少为80%。结论:GAAD评分和ASAP评分在所有阶段的HCC检测中都表现出优异的和可比较的能力,不受肝硬化或病因差异的影响。
本文章由计算机程序翻译,如有差异,请以英文原文为准。

Comparative performance of the GAAD and ASAP scores in predicting early-stage hepatocellular carcinoma.

Comparative performance of the GAAD and ASAP scores in predicting early-stage hepatocellular carcinoma.

Comparative performance of the GAAD and ASAP scores in predicting early-stage hepatocellular carcinoma.

Comparative performance of the GAAD and ASAP scores in predicting early-stage hepatocellular carcinoma.

Background: The gender, age, alpha-fetoprotein (AFP), and des-gamma-carboxy prothrombin (GAAD) score is a recent predictive tool for hepatocellular carcinoma (HCC) but lacks comparison with the AFP, Sex, Age, and Protein induced by vitamin K absence-II (ASAP) score, which uses similar parameters with different assays and formulas. Our study aimed to evaluate the performance differences between these two scores.

Methods: Blood samples from 622 patients with chronic liver diseases at Songklanagarind Hospital between 20 April 2023 and 31 December 2023 were analyzed. The cutoffs for the ASAP and GAAD scores were established as 0.526 and 2.570, respectively, and HCC diagnoses followed the European Association for the Study of the Liver (EASL) or the American Association for the Study of Liver Diseases (AASLD) guidelines.

Results: HCC diagnoses were observed in 28.6% of patients, with 48.3% diagnosed with early-stage diseases (Barcelona Clinic Liver Cancer stage 0 = 23, A = 63). Hepatitis B virus infection (40.4%) and metabolic dysfunction-associated steatotic liver disease (21.3%) were predominant causes. The area under the receiver operating characteristic curve (AUROCs) of the ASAP and GAAD scores for predicting all-stage HCC were comparable (0.933 vs 0.937, P = 0.578). For early-stage HCC, AUROCs were 0.880 (ASAP) and 0.891 (GAAD) (P = 0.353). Sensitivity and specificity for predicting all-stage HCC were 83.15% and 91.44% (ASAP), and 82.58% and 89.64% (GAAD), respectively; these values for early-stage HCC were 66.28% and 91.44% (ASAP) and 67.44% and 89.64% (GAAD). Subgroup analyses by cirrhosis and etiology showed no significant differences. New cutoff values of -0.083 (ASAP) and 1.725 (GAAD) were identified for at least 80% sensitivity and specificity for predicting early-stage HCC.

Conclusion: Both the GAAD and ASAP scores demonstrated excellent and comparable abilities in HCC detection across all stages, unaffected by cirrhosis or etiological differences.

求助全文
通过发布文献求助,成功后即可免费获取论文全文。 去求助
来源期刊
Gastroenterology Report
Gastroenterology Report Medicine-Gastroenterology
CiteScore
4.60
自引率
2.80%
发文量
63
审稿时长
8 weeks
期刊介绍: Gastroenterology Report is an international fully open access (OA) online only journal, covering all areas related to gastrointestinal sciences, including studies of the alimentary tract, liver, biliary, pancreas, enteral nutrition and related fields. The journal aims to publish high quality research articles on both basic and clinical gastroenterology, authoritative reviews that bring together new advances in the field, as well as commentaries and highlight pieces that provide expert analysis of topical issues.
×
引用
GB/T 7714-2015
复制
MLA
复制
APA
复制
导出至
BibTeX EndNote RefMan NoteFirst NoteExpress
×
提示
您的信息不完整,为了账户安全,请先补充。
现在去补充
×
提示
您因"违规操作"
具体请查看互助需知
我知道了
×
提示
确定
请完成安全验证×
copy
已复制链接
快去分享给好友吧!
我知道了
右上角分享
点击右上角分享
0
联系我们:info@booksci.cn Book学术提供免费学术资源搜索服务,方便国内外学者检索中英文文献。致力于提供最便捷和优质的服务体验。 Copyright © 2023 布克学术 All rights reserved.
京ICP备2023020795号-1
ghs 京公网安备 11010802042870号
Book学术文献互助
Book学术文献互助群
群 号:604180095
Book学术官方微信