唾液电导率作为干眼病的诊断工具:一项病例对照研究。

IF 2.6 3区 医学 Q2 OPHTHALMOLOGY
Yung-Kang Chen, Chien-Hsiung Lai, Wei-Chi Wu, Chi-Hua Wang, Ko-Ming Lin, Nan-Ni Chen, Jen-Tsung Yang, Pei-Lun Wu
{"title":"唾液电导率作为干眼病的诊断工具:一项病例对照研究。","authors":"Yung-Kang Chen, Chien-Hsiung Lai, Wei-Chi Wu, Chi-Hua Wang, Ko-Ming Lin, Nan-Ni Chen, Jen-Tsung Yang, Pei-Lun Wu","doi":"10.1167/tvst.14.8.2","DOIUrl":null,"url":null,"abstract":"<p><strong>Purpose: </strong>To evaluate the diagnostic potential of body fluid electroconductivity for dry eye disease (DED) and compare its accuracy with commonly used DED tests.</p><p><strong>Methods: </strong>Individuals with dry eye (n = 36) and controls (n = 26) were enrolled in this case-control prospective study. Electroconductivity measurements were performed on blood, serum, tears, urine, and saliva. Dry eye assessments included tear film breakup time (TBUT) and Schirmer test (Schirmer), with symptoms evaluated using the Ocular Surface Disease Index (OSDI). Blood and urine analyses were performed to assess the baseline systemic profiles of both groups.</p><p><strong>Results: </strong>Among all body fluids, saliva (saliva electroconductivity [ESaliva]) showed the most significant differences in electroconductivity between controls and dry eye individuals (2514.02 ± 329.18 vs. 3262.00 ± 992.47 µS/cm, P < 0.001). ESaliva showed robust diagnostic performance (area under the curve [AUC] = 0.800), comparable to TBUT (AUC = 0.693, P = 0.103) and superior to Schirmer (AUC = 0.536, P < 0.001). OSDI showed a moderate correlation with ESaliva (r = 0.43, P < 0.001), representing the strongest association, followed by TBUT (r = -0.26, P = 0.004) and Schirmer (r = -0.09, P = 0.313). Cross-validation procedure identified ESaliva cutoffs of 2373 µS/cm (95% confidence interval [CI], 2340-2456) for low-to-moderate and 2880 µS/cm (95% CI, 2845-2931) for moderate-to-high DED risk. Net reclassification improvement and integrated discrimination improvement analyses confirmed ESaliva's superior predictive ability. A single cutoff of 2880 µS/cm yielded 64% sensitivity and 89% specificity for DED prediction.</p><p><strong>Conclusions: </strong>ESaliva effectively distinguishes patients with DED and exhibits superior diagnostic performance.</p><p><strong>Translational relevance: </strong>ESaliva: offers a noninvasive and self-assessable tool for DED diagnosis.</p>","PeriodicalId":23322,"journal":{"name":"Translational Vision Science & Technology","volume":"14 8","pages":"2"},"PeriodicalIF":2.6000,"publicationDate":"2025-08-01","publicationTypes":"Journal Article","fieldsOfStudy":null,"isOpenAccess":false,"openAccessPdf":"https://www.ncbi.nlm.nih.gov/pmc/articles/PMC12320899/pdf/","citationCount":"0","resultStr":"{\"title\":\"Electroconductivity of Saliva as a Diagnostic Tool for Dry Eye Disease: A Case-Control Study.\",\"authors\":\"Yung-Kang Chen, Chien-Hsiung Lai, Wei-Chi Wu, Chi-Hua Wang, Ko-Ming Lin, Nan-Ni Chen, Jen-Tsung Yang, Pei-Lun Wu\",\"doi\":\"10.1167/tvst.14.8.2\",\"DOIUrl\":null,\"url\":null,\"abstract\":\"<p><strong>Purpose: </strong>To evaluate the diagnostic potential of body fluid electroconductivity for dry eye disease (DED) and compare its accuracy with commonly used DED tests.</p><p><strong>Methods: </strong>Individuals with dry eye (n = 36) and controls (n = 26) were enrolled in this case-control prospective study. Electroconductivity measurements were performed on blood, serum, tears, urine, and saliva. Dry eye assessments included tear film breakup time (TBUT) and Schirmer test (Schirmer), with symptoms evaluated using the Ocular Surface Disease Index (OSDI). Blood and urine analyses were performed to assess the baseline systemic profiles of both groups.</p><p><strong>Results: </strong>Among all body fluids, saliva (saliva electroconductivity [ESaliva]) showed the most significant differences in electroconductivity between controls and dry eye individuals (2514.02 ± 329.18 vs. 3262.00 ± 992.47 µS/cm, P < 0.001). ESaliva showed robust diagnostic performance (area under the curve [AUC] = 0.800), comparable to TBUT (AUC = 0.693, P = 0.103) and superior to Schirmer (AUC = 0.536, P < 0.001). OSDI showed a moderate correlation with ESaliva (r = 0.43, P < 0.001), representing the strongest association, followed by TBUT (r = -0.26, P = 0.004) and Schirmer (r = -0.09, P = 0.313). Cross-validation procedure identified ESaliva cutoffs of 2373 µS/cm (95% confidence interval [CI], 2340-2456) for low-to-moderate and 2880 µS/cm (95% CI, 2845-2931) for moderate-to-high DED risk. Net reclassification improvement and integrated discrimination improvement analyses confirmed ESaliva's superior predictive ability. A single cutoff of 2880 µS/cm yielded 64% sensitivity and 89% specificity for DED prediction.</p><p><strong>Conclusions: </strong>ESaliva effectively distinguishes patients with DED and exhibits superior diagnostic performance.</p><p><strong>Translational relevance: </strong>ESaliva: offers a noninvasive and self-assessable tool for DED diagnosis.</p>\",\"PeriodicalId\":23322,\"journal\":{\"name\":\"Translational Vision Science & Technology\",\"volume\":\"14 8\",\"pages\":\"2\"},\"PeriodicalIF\":2.6000,\"publicationDate\":\"2025-08-01\",\"publicationTypes\":\"Journal Article\",\"fieldsOfStudy\":null,\"isOpenAccess\":false,\"openAccessPdf\":\"https://www.ncbi.nlm.nih.gov/pmc/articles/PMC12320899/pdf/\",\"citationCount\":\"0\",\"resultStr\":null,\"platform\":\"Semanticscholar\",\"paperid\":null,\"PeriodicalName\":\"Translational Vision Science & Technology\",\"FirstCategoryId\":\"3\",\"ListUrlMain\":\"https://doi.org/10.1167/tvst.14.8.2\",\"RegionNum\":3,\"RegionCategory\":\"医学\",\"ArticlePicture\":[],\"TitleCN\":null,\"AbstractTextCN\":null,\"PMCID\":null,\"EPubDate\":\"\",\"PubModel\":\"\",\"JCR\":\"Q2\",\"JCRName\":\"OPHTHALMOLOGY\",\"Score\":null,\"Total\":0}","platform":"Semanticscholar","paperid":null,"PeriodicalName":"Translational Vision Science & Technology","FirstCategoryId":"3","ListUrlMain":"https://doi.org/10.1167/tvst.14.8.2","RegionNum":3,"RegionCategory":"医学","ArticlePicture":[],"TitleCN":null,"AbstractTextCN":null,"PMCID":null,"EPubDate":"","PubModel":"","JCR":"Q2","JCRName":"OPHTHALMOLOGY","Score":null,"Total":0}
引用次数: 0

摘要

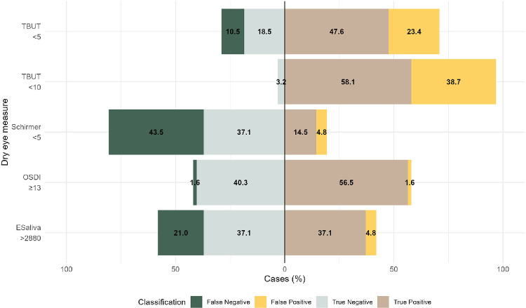
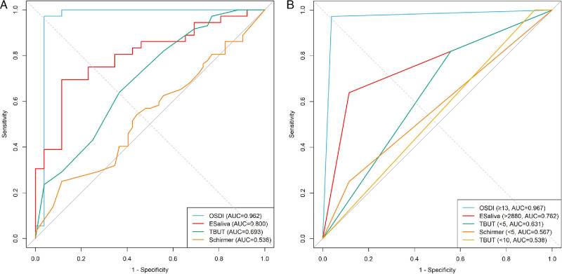
目的:评价体液电导率对干眼病(DED)的诊断潜力,并与常用的DED检测方法进行准确性比较。方法:干眼症患者(n = 36)和对照组(n = 26)被纳入本病例-对照前瞻性研究。对血液、血清、泪液、尿液和唾液进行电导率测量。干眼评估包括泪膜破裂时间(TBUT)和Schirmer试验(Schirmer),并使用眼表疾病指数(OSDI)评估症状。进行血液和尿液分析以评估两组的基线系统概况。结果:在所有体液中,唾液(唾液电导率[ESaliva])的电导率在对照组和干眼组之间的差异最为显著(2514.02±329.18 vs. 3262.00±992.47µS/cm, P < 0.001)。ESaliva的诊断效果较好(曲线下面积[AUC] = 0.800),与TBUT (AUC = 0.693, P = 0.103)相当,优于Schirmer (AUC = 0.536, P < 0.001)。OSDI与ESaliva呈中等相关性(r = 0.43, P < 0.001),相关性最强,其次为TBUT (r = -0.26, P = 0.004)和Schirmer (r = -0.09, P = 0.313)。交叉验证程序确定,低至中度DED风险的ESaliva截止值为2373µS/cm(95%置信区间[CI], 2340-2456),中度至重度DED风险的ESaliva截止值为2880µS/cm (95% CI, 2845-2931)。净重分类改进和综合判别改进分析证实了ESaliva优越的预测能力。单一截止值为2880µS/cm,预测DED的灵敏度为64%,特异性为89%。结论:ESaliva可有效鉴别DED患者,具有较好的诊断效果。翻译相关性:ESaliva:为DED诊断提供了一种无创且可自我评估的工具。
本文章由计算机程序翻译,如有差异,请以英文原文为准。

Electroconductivity of Saliva as a Diagnostic Tool for Dry Eye Disease: A Case-Control Study.

Electroconductivity of Saliva as a Diagnostic Tool for Dry Eye Disease: A Case-Control Study.

Electroconductivity of Saliva as a Diagnostic Tool for Dry Eye Disease: A Case-Control Study.

Electroconductivity of Saliva as a Diagnostic Tool for Dry Eye Disease: A Case-Control Study.

Purpose: To evaluate the diagnostic potential of body fluid electroconductivity for dry eye disease (DED) and compare its accuracy with commonly used DED tests.

Methods: Individuals with dry eye (n = 36) and controls (n = 26) were enrolled in this case-control prospective study. Electroconductivity measurements were performed on blood, serum, tears, urine, and saliva. Dry eye assessments included tear film breakup time (TBUT) and Schirmer test (Schirmer), with symptoms evaluated using the Ocular Surface Disease Index (OSDI). Blood and urine analyses were performed to assess the baseline systemic profiles of both groups.

Results: Among all body fluids, saliva (saliva electroconductivity [ESaliva]) showed the most significant differences in electroconductivity between controls and dry eye individuals (2514.02 ± 329.18 vs. 3262.00 ± 992.47 µS/cm, P < 0.001). ESaliva showed robust diagnostic performance (area under the curve [AUC] = 0.800), comparable to TBUT (AUC = 0.693, P = 0.103) and superior to Schirmer (AUC = 0.536, P < 0.001). OSDI showed a moderate correlation with ESaliva (r = 0.43, P < 0.001), representing the strongest association, followed by TBUT (r = -0.26, P = 0.004) and Schirmer (r = -0.09, P = 0.313). Cross-validation procedure identified ESaliva cutoffs of 2373 µS/cm (95% confidence interval [CI], 2340-2456) for low-to-moderate and 2880 µS/cm (95% CI, 2845-2931) for moderate-to-high DED risk. Net reclassification improvement and integrated discrimination improvement analyses confirmed ESaliva's superior predictive ability. A single cutoff of 2880 µS/cm yielded 64% sensitivity and 89% specificity for DED prediction.

Conclusions: ESaliva effectively distinguishes patients with DED and exhibits superior diagnostic performance.

Translational relevance: ESaliva: offers a noninvasive and self-assessable tool for DED diagnosis.

求助全文
通过发布文献求助,成功后即可免费获取论文全文。 去求助
来源期刊
Translational Vision Science & Technology
Translational Vision Science & Technology Engineering-Biomedical Engineering
CiteScore
5.70
自引率
3.30%
发文量
346
审稿时长
25 weeks
期刊介绍: Translational Vision Science & Technology (TVST), an official journal of the Association for Research in Vision and Ophthalmology (ARVO), an international organization whose purpose is to advance research worldwide into understanding the visual system and preventing, treating and curing its disorders, is an online, open access, peer-reviewed journal emphasizing multidisciplinary research that bridges the gap between basic research and clinical care. A highly qualified and diverse group of Associate Editors and Editorial Board Members is led by Editor-in-Chief Marco Zarbin, MD, PhD, FARVO. The journal covers a broad spectrum of work, including but not limited to: Applications of stem cell technology for regenerative medicine, Development of new animal models of human diseases, Tissue bioengineering, Chemical engineering to improve virus-based gene delivery, Nanotechnology for drug delivery, Design and synthesis of artificial extracellular matrices, Development of a true microsurgical operating environment, Refining data analysis algorithms to improve in vivo imaging technology, Results of Phase 1 clinical trials, Reverse translational ("bedside to bench") research. TVST seeks manuscripts from scientists and clinicians with diverse backgrounds ranging from basic chemistry to ophthalmic surgery that will advance or change the way we understand and/or treat vision-threatening diseases. TVST encourages the use of color, multimedia, hyperlinks, program code and other digital enhancements.
×
引用
GB/T 7714-2015
复制
MLA
复制
APA
复制
导出至
BibTeX EndNote RefMan NoteFirst NoteExpress
×
提示
您的信息不完整,为了账户安全,请先补充。
现在去补充
×
提示
您因"违规操作"
具体请查看互助需知
我知道了
×
提示
确定
请完成安全验证×
copy
已复制链接
快去分享给好友吧!
我知道了
右上角分享
点击右上角分享
0
联系我们:info@booksci.cn Book学术提供免费学术资源搜索服务,方便国内外学者检索中英文文献。致力于提供最便捷和优质的服务体验。 Copyright © 2023 布克学术 All rights reserved.
京ICP备2023020795号-1
ghs 京公网安备 11010802042870号
Book学术文献互助
Book学术文献互助群
群 号:604180095
Book学术官方微信