主动治疗药物监测指导DALBAvaNcin在骨关节感染(MONTALBANO)中的抑制抗生素治疗(bb10 - 12周)。

IF 2.8 Q3 INFECTIOUS DISEASES
Journal of Bone and Joint Infection Pub Date : 2025-07-30 eCollection Date: 2025-01-01 DOI:10.5194/jbji-10-255-2025
Chiara Mariani, Matteo Passerini, Lucia Galli, Alice Covizzi, Marta Colaneri, Martina Offer, Margherita Faenzi, Stefania Merli, Simona Landonio, Marta Fusi, Alberto Dolci, Andrea Gori, Dario Cattaneo
{"title":"主动治疗药物监测指导DALBAvaNcin在骨关节感染(MONTALBANO)中的抑制抗生素治疗(bb10 - 12周)。","authors":"Chiara Mariani, Matteo Passerini, Lucia Galli, Alice Covizzi, Marta Colaneri, Martina Offer, Margherita Faenzi, Stefania Merli, Simona Landonio, Marta Fusi, Alberto Dolci, Andrea Gori, Dario Cattaneo","doi":"10.5194/jbji-10-255-2025","DOIUrl":null,"url":null,"abstract":"<p><p><b>Introduction</b>: Long-term dalbavancin use is increasingly adopted off-label for osteoarticular infections (OAIs), but data on administration timing and long-term effects beyond 12 weeks are scarce. This study evaluated the pharmacological efficacy of proactive therapeutic drug monitoring (TDM) to optimize dalbavancin administration. <b>Methods</b>: This single-center, retrospective study included adult OAI patients treated with <math><mrow><mo>≥</mo> <mn>4</mn></mrow> </math> doses of dalbavancin from July 2022 to October 2024. Initial doses were given on days 1, 8, and 43. From the third dose onward, <math> <mrow><msub><mi>C</mi> <mo>min⁡</mo></msub> </mrow> </math> and <math> <mrow><msub><mi>C</mi> <mo>max⁡</mo></msub> </mrow> </math> values informed dosing schedules via log-linear regression models, targeting <math> <mrow><msub><mi>C</mi> <mo>min⁡</mo></msub> <mo>≥</mo> <mn>8</mn></mrow> </math> mg L<sup>-1</sup>. The primary outcome was the pharmacological efficacy of dalbavancin, assessed by the proportion of patients with <math> <mrow><msub><mi>C</mi> <mo>min⁡</mo></msub> <mo>≥</mo> <mn>8</mn></mrow> </math> mg L<sup>-1</sup> and <math><mrow><mo>≥</mo> <mn>4</mn></mrow> </math> mg L<sup>-1</sup> after the third dose. Clinical outcomes and safety data were collected as descriptive data. <b>Results</b>: A total of 33 patients provided 118 <math> <mrow><msub><mi>C</mi> <mo>min⁡</mo></msub> </mrow> </math> determinations. Pharmacological efficacy was achieved in 93 <math><mo>/</mo></math> 118 (78.8 %) and 114 <math><mo>/</mo></math> 118 (96.6 %) determinations for <math> <mrow><msub><mi>C</mi> <mo>min⁡</mo></msub> </mrow> </math> thresholds of <math><mrow><mo>≥</mo> <mn>8</mn></mrow> </math> mg L<sup>-1</sup> and <math><mrow><mo>≥</mo> <mn>4</mn></mrow> </math> mg L<sup>-1</sup>, respectively. Efficacy improved when considering only determinations at the correct timing. A total of 18 (54.5 %) patients are still in treatment, while 11 (33.3 %) completed therapy with clinical success. Three patients experienced a relapse after the end of the treatment, while one patient experienced failure, and no adverse events were reported. <b>Conclusions</b>: Dalbavancin is a viable option for prolonged OAI management when other therapies are unavailable or high-risk. Proactive TDM effectively supports this approach by ensuring adequate drug exposure while preventing accumulation.</p>","PeriodicalId":15271,"journal":{"name":"Journal of Bone and Joint Infection","volume":"10 4","pages":"255-263"},"PeriodicalIF":2.8000,"publicationDate":"2025-07-30","publicationTypes":"Journal Article","fieldsOfStudy":null,"isOpenAccess":false,"openAccessPdf":"https://www.ncbi.nlm.nih.gov/pmc/articles/PMC12311387/pdf/","citationCount":"0","resultStr":"{\"title\":\"Proactive Therapeutic Drug MONiToring to Guide Suppressive Antibiotic Therapy with DALBAvaNcin ( > 12 weeks) in Osteoarticular Infections (MONTALBANO).\",\"authors\":\"Chiara Mariani, Matteo Passerini, Lucia Galli, Alice Covizzi, Marta Colaneri, Martina Offer, Margherita Faenzi, Stefania Merli, Simona Landonio, Marta Fusi, Alberto Dolci, Andrea Gori, Dario Cattaneo\",\"doi\":\"10.5194/jbji-10-255-2025\",\"DOIUrl\":null,\"url\":null,\"abstract\":\"<p><p><b>Introduction</b>: Long-term dalbavancin use is increasingly adopted off-label for osteoarticular infections (OAIs), but data on administration timing and long-term effects beyond 12 weeks are scarce. This study evaluated the pharmacological efficacy of proactive therapeutic drug monitoring (TDM) to optimize dalbavancin administration. <b>Methods</b>: This single-center, retrospective study included adult OAI patients treated with <math><mrow><mo>≥</mo> <mn>4</mn></mrow> </math> doses of dalbavancin from July 2022 to October 2024. Initial doses were given on days 1, 8, and 43. From the third dose onward, <math> <mrow><msub><mi>C</mi> <mo>min⁡</mo></msub> </mrow> </math> and <math> <mrow><msub><mi>C</mi> <mo>max⁡</mo></msub> </mrow> </math> values informed dosing schedules via log-linear regression models, targeting <math> <mrow><msub><mi>C</mi> <mo>min⁡</mo></msub> <mo>≥</mo> <mn>8</mn></mrow> </math> mg L<sup>-1</sup>. The primary outcome was the pharmacological efficacy of dalbavancin, assessed by the proportion of patients with <math> <mrow><msub><mi>C</mi> <mo>min⁡</mo></msub> <mo>≥</mo> <mn>8</mn></mrow> </math> mg L<sup>-1</sup> and <math><mrow><mo>≥</mo> <mn>4</mn></mrow> </math> mg L<sup>-1</sup> after the third dose. Clinical outcomes and safety data were collected as descriptive data. <b>Results</b>: A total of 33 patients provided 118 <math> <mrow><msub><mi>C</mi> <mo>min⁡</mo></msub> </mrow> </math> determinations. Pharmacological efficacy was achieved in 93 <math><mo>/</mo></math> 118 (78.8 %) and 114 <math><mo>/</mo></math> 118 (96.6 %) determinations for <math> <mrow><msub><mi>C</mi> <mo>min⁡</mo></msub> </mrow> </math> thresholds of <math><mrow><mo>≥</mo> <mn>8</mn></mrow> </math> mg L<sup>-1</sup> and <math><mrow><mo>≥</mo> <mn>4</mn></mrow> </math> mg L<sup>-1</sup>, respectively. Efficacy improved when considering only determinations at the correct timing. A total of 18 (54.5 %) patients are still in treatment, while 11 (33.3 %) completed therapy with clinical success. Three patients experienced a relapse after the end of the treatment, while one patient experienced failure, and no adverse events were reported. <b>Conclusions</b>: Dalbavancin is a viable option for prolonged OAI management when other therapies are unavailable or high-risk. Proactive TDM effectively supports this approach by ensuring adequate drug exposure while preventing accumulation.</p>\",\"PeriodicalId\":15271,\"journal\":{\"name\":\"Journal of Bone and Joint Infection\",\"volume\":\"10 4\",\"pages\":\"255-263\"},\"PeriodicalIF\":2.8000,\"publicationDate\":\"2025-07-30\",\"publicationTypes\":\"Journal Article\",\"fieldsOfStudy\":null,\"isOpenAccess\":false,\"openAccessPdf\":\"https://www.ncbi.nlm.nih.gov/pmc/articles/PMC12311387/pdf/\",\"citationCount\":\"0\",\"resultStr\":null,\"platform\":\"Semanticscholar\",\"paperid\":null,\"PeriodicalName\":\"Journal of Bone and Joint Infection\",\"FirstCategoryId\":\"1085\",\"ListUrlMain\":\"https://doi.org/10.5194/jbji-10-255-2025\",\"RegionNum\":0,\"RegionCategory\":null,\"ArticlePicture\":[],\"TitleCN\":null,\"AbstractTextCN\":null,\"PMCID\":null,\"EPubDate\":\"2025/1/1 0:00:00\",\"PubModel\":\"eCollection\",\"JCR\":\"Q3\",\"JCRName\":\"INFECTIOUS DISEASES\",\"Score\":null,\"Total\":0}","platform":"Semanticscholar","paperid":null,"PeriodicalName":"Journal of Bone and Joint Infection","FirstCategoryId":"1085","ListUrlMain":"https://doi.org/10.5194/jbji-10-255-2025","RegionNum":0,"RegionCategory":null,"ArticlePicture":[],"TitleCN":null,"AbstractTextCN":null,"PMCID":null,"EPubDate":"2025/1/1 0:00:00","PubModel":"eCollection","JCR":"Q3","JCRName":"INFECTIOUS DISEASES","Score":null,"Total":0}
引用次数: 0

摘要

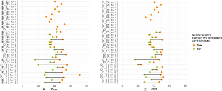
长期使用dalbavancin治疗骨关节感染(OAIs)越来越多,但关于给药时间和超过12周的长期效果的数据很少。本研究评估了主动治疗药物监测(TDM)优化达尔巴伐辛给药的药理学效果。方法:这项单中心回顾性研究纳入了2022年7月至2024年10月期间接受≥4剂量达尔巴万辛治疗的成年OAI患者。在第1、8和43天给予初始剂量。从第三次给药开始,通过对数线性回归模型,C min()和C max()的值告知给药计划,目标是C min()≥8mg L-1。主要终点是达巴文星的药理学疗效,通过第三次给药后C min -1≥8 mg L-1和≥4 mg L-1的患者比例来评估。临床结果和安全性数据作为描述性数据收集。结果:33例患者提供了118cmin²检测结果。在≥8 mg L-1和≥4 mg L-1时,93 / 118(78.8%)和114 / 118(96.6%)的测定值均能达到药理作用。当只考虑在正确的时间测定时,疗效得到改善。共有18例(54.5%)患者仍在治疗中,11例(33.3%)患者临床成功完成治疗。治疗结束后复发3例,治疗失败1例,无不良事件报告。结论:当其他治疗方法不可用或高风险时,达尔巴万辛是延长OAI治疗的可行选择。主动TDM有效地支持这一方法,确保充分的药物暴露,同时防止积累。
本文章由计算机程序翻译,如有差异,请以英文原文为准。

Proactive Therapeutic Drug MONiToring to Guide Suppressive Antibiotic Therapy with DALBAvaNcin ( > 12 weeks) in Osteoarticular Infections (MONTALBANO).

Proactive Therapeutic Drug MONiToring to Guide Suppressive Antibiotic Therapy with DALBAvaNcin ( > 12 weeks) in Osteoarticular Infections (MONTALBANO).

Proactive Therapeutic Drug MONiToring to Guide Suppressive Antibiotic Therapy with DALBAvaNcin ( > 12 weeks) in Osteoarticular Infections (MONTALBANO).

Proactive Therapeutic Drug MONiToring to Guide Suppressive Antibiotic Therapy with DALBAvaNcin ( > 12 weeks) in Osteoarticular Infections (MONTALBANO).

Introduction: Long-term dalbavancin use is increasingly adopted off-label for osteoarticular infections (OAIs), but data on administration timing and long-term effects beyond 12 weeks are scarce. This study evaluated the pharmacological efficacy of proactive therapeutic drug monitoring (TDM) to optimize dalbavancin administration. Methods: This single-center, retrospective study included adult OAI patients treated with 4 doses of dalbavancin from July 2022 to October 2024. Initial doses were given on days 1, 8, and 43. From the third dose onward, C min⁡ and C max⁡ values informed dosing schedules via log-linear regression models, targeting C min⁡ 8 mg L-1. The primary outcome was the pharmacological efficacy of dalbavancin, assessed by the proportion of patients with C min⁡ 8 mg L-1 and 4 mg L-1 after the third dose. Clinical outcomes and safety data were collected as descriptive data. Results: A total of 33 patients provided 118 C min⁡ determinations. Pharmacological efficacy was achieved in 93 / 118 (78.8 %) and 114 / 118 (96.6 %) determinations for C min⁡ thresholds of 8 mg L-1 and 4 mg L-1, respectively. Efficacy improved when considering only determinations at the correct timing. A total of 18 (54.5 %) patients are still in treatment, while 11 (33.3 %) completed therapy with clinical success. Three patients experienced a relapse after the end of the treatment, while one patient experienced failure, and no adverse events were reported. Conclusions: Dalbavancin is a viable option for prolonged OAI management when other therapies are unavailable or high-risk. Proactive TDM effectively supports this approach by ensuring adequate drug exposure while preventing accumulation.

求助全文
通过发布文献求助,成功后即可免费获取论文全文。 去求助
来源期刊
CiteScore
3.70
自引率
0.00%
发文量
29
审稿时长
12 weeks
×
引用
GB/T 7714-2015
复制
MLA
复制
APA
复制
导出至
BibTeX EndNote RefMan NoteFirst NoteExpress
×
提示
您的信息不完整,为了账户安全,请先补充。
现在去补充
×
提示
您因"违规操作"
具体请查看互助需知
我知道了
×
提示
确定
请完成安全验证×
copy
已复制链接
快去分享给好友吧!
我知道了
右上角分享
点击右上角分享
0
联系我们:info@booksci.cn Book学术提供免费学术资源搜索服务,方便国内外学者检索中英文文献。致力于提供最便捷和优质的服务体验。 Copyright © 2023 布克学术 All rights reserved.
京ICP备2023020795号-1
ghs 京公网安备 11010802042870号
Book学术文献互助
Book学术文献互助群
群 号:604180095
Book学术官方微信