疏水深共晶溶剂从嗜热产酸发酵中回收挥发性脂肪酸。

IF 6.5 3区 生物学 Q1 BIOCHEMICAL RESEARCH METHODS
Can Liu, Xueyao Zhang, Qi Qiao, Zhiwu Wang, Qing Shao, Jian Shi
{"title":"疏水深共晶溶剂从嗜热产酸发酵中回收挥发性脂肪酸。","authors":"Can Liu, Xueyao Zhang, Qi Qiao, Zhiwu Wang, Qing Shao, Jian Shi","doi":"10.1186/s13036-025-00544-6","DOIUrl":null,"url":null,"abstract":"<p><strong>Background: </strong>Volatile fatty acids (VFA) derived from acidogenic fermentation can be recovered as precursors for synthesizing value-added chemicals to replace those from fossil fuels. However, separating VFAs from the fermentation broth with complex constituents and a high-water content is an energy-intensive process.</p><p><strong>Results: </strong>This study developed an innovative membrane extraction technology, utilizing hydrophobic deep eutectic solvents (HDESs) as the acceptor phase along with an omniphobic membrane contactor for efficient extraction of anhydrous VFAs. All tested HDESs, three terpene-based type V HDESs and two tetraalkylammonium halide-based type III HDESs, were found to effectively extract VFAs at pH 3, with extraction recovery percentages (ERPs) up to 80% and 92% for 4 C- and 5 C- VFAs, respectively. However, the ERP of type V HDESs decreased significantly when the aqueous phase was adjusted to pH 6. Molecular simulations suggest that the VFA-HDES interactions vary with VFA dissociation, where the ion-dipole interactions between VFA conjugate bases and hydrogen bond donors at near-neutral pH conditions may destabilize the type V HDES structure and lead to reduced extraction efficiency. The temperature increases from 25 °C to 55 °C did not significantly impact VFA distribution, but a higher temperature could enhance cross-membrane mass transfer.</p><p><strong>Conclusions: </strong>This study demonstrated a novel continuous VFA extraction technology based on HDESs and elucidates the impact of temperature, pH, impurities in real fermentate and the applicability of an integrated membrane system through combined experimental and computational approaches.</p>","PeriodicalId":15053,"journal":{"name":"Journal of Biological Engineering","volume":"19 1","pages":"73"},"PeriodicalIF":6.5000,"publicationDate":"2025-07-31","publicationTypes":"Journal Article","fieldsOfStudy":null,"isOpenAccess":false,"openAccessPdf":"https://www.ncbi.nlm.nih.gov/pmc/articles/PMC12315322/pdf/","citationCount":"0","resultStr":"{\"title\":\"Volatile fatty acids recovery from thermophilic acidogenic fermentation using hydrophobic deep eutectic solvents.\",\"authors\":\"Can Liu, Xueyao Zhang, Qi Qiao, Zhiwu Wang, Qing Shao, Jian Shi\",\"doi\":\"10.1186/s13036-025-00544-6\",\"DOIUrl\":null,\"url\":null,\"abstract\":\"<p><strong>Background: </strong>Volatile fatty acids (VFA) derived from acidogenic fermentation can be recovered as precursors for synthesizing value-added chemicals to replace those from fossil fuels. However, separating VFAs from the fermentation broth with complex constituents and a high-water content is an energy-intensive process.</p><p><strong>Results: </strong>This study developed an innovative membrane extraction technology, utilizing hydrophobic deep eutectic solvents (HDESs) as the acceptor phase along with an omniphobic membrane contactor for efficient extraction of anhydrous VFAs. All tested HDESs, three terpene-based type V HDESs and two tetraalkylammonium halide-based type III HDESs, were found to effectively extract VFAs at pH 3, with extraction recovery percentages (ERPs) up to 80% and 92% for 4 C- and 5 C- VFAs, respectively. However, the ERP of type V HDESs decreased significantly when the aqueous phase was adjusted to pH 6. Molecular simulations suggest that the VFA-HDES interactions vary with VFA dissociation, where the ion-dipole interactions between VFA conjugate bases and hydrogen bond donors at near-neutral pH conditions may destabilize the type V HDES structure and lead to reduced extraction efficiency. The temperature increases from 25 °C to 55 °C did not significantly impact VFA distribution, but a higher temperature could enhance cross-membrane mass transfer.</p><p><strong>Conclusions: </strong>This study demonstrated a novel continuous VFA extraction technology based on HDESs and elucidates the impact of temperature, pH, impurities in real fermentate and the applicability of an integrated membrane system through combined experimental and computational approaches.</p>\",\"PeriodicalId\":15053,\"journal\":{\"name\":\"Journal of Biological Engineering\",\"volume\":\"19 1\",\"pages\":\"73\"},\"PeriodicalIF\":6.5000,\"publicationDate\":\"2025-07-31\",\"publicationTypes\":\"Journal Article\",\"fieldsOfStudy\":null,\"isOpenAccess\":false,\"openAccessPdf\":\"https://www.ncbi.nlm.nih.gov/pmc/articles/PMC12315322/pdf/\",\"citationCount\":\"0\",\"resultStr\":null,\"platform\":\"Semanticscholar\",\"paperid\":null,\"PeriodicalName\":\"Journal of Biological Engineering\",\"FirstCategoryId\":\"99\",\"ListUrlMain\":\"https://doi.org/10.1186/s13036-025-00544-6\",\"RegionNum\":3,\"RegionCategory\":\"生物学\",\"ArticlePicture\":[],\"TitleCN\":null,\"AbstractTextCN\":null,\"PMCID\":null,\"EPubDate\":\"\",\"PubModel\":\"\",\"JCR\":\"Q1\",\"JCRName\":\"BIOCHEMICAL RESEARCH METHODS\",\"Score\":null,\"Total\":0}","platform":"Semanticscholar","paperid":null,"PeriodicalName":"Journal of Biological Engineering","FirstCategoryId":"99","ListUrlMain":"https://doi.org/10.1186/s13036-025-00544-6","RegionNum":3,"RegionCategory":"生物学","ArticlePicture":[],"TitleCN":null,"AbstractTextCN":null,"PMCID":null,"EPubDate":"","PubModel":"","JCR":"Q1","JCRName":"BIOCHEMICAL RESEARCH METHODS","Score":null,"Total":0}
引用次数: 0

摘要

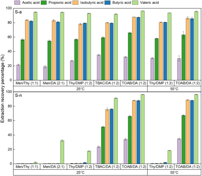
背景:产酸发酵产生的挥发性脂肪酸(VFA)可以作为合成增值化学品的前体来替代化石燃料中的挥发性脂肪酸。然而,从含有复杂成分和高含水量的发酵液中分离VFAs是一个能源密集型的过程。结果:本研究开发了一种创新的膜萃取技术,利用疏水深共晶溶剂(hess)作为受体相,结合全疏水膜接触器高效提取无水VFAs。所有测试的hess, 3种萜烯基V型hess和2种四烷基卤化铵基III型hess,都能在pH为3的条件下有效提取VFAs, 4℃和5℃- VFAs的提取回收率分别高达80%和92%。然而,当水相pH值为6时,V型hess的ERP显著降低。分子模拟表明,VFA-HDES相互作用随VFA解离而变化,在接近中性的pH条件下,VFA共轭碱与氢键供体之间的离子偶极子相互作用可能破坏V型HDES结构的稳定,导致萃取效率降低。温度从25°C升高到55°C对VFA分布没有显著影响,但温度升高可以增强膜间传质。结论:本研究展示了一种基于hess的VFA连续提取新技术,并通过实验和计算相结合的方法阐明了温度、pH、实际发酵中杂质的影响以及集成膜系统的适用性。
本文章由计算机程序翻译,如有差异,请以英文原文为准。

Volatile fatty acids recovery from thermophilic acidogenic fermentation using hydrophobic deep eutectic solvents.

Volatile fatty acids recovery from thermophilic acidogenic fermentation using hydrophobic deep eutectic solvents.

Volatile fatty acids recovery from thermophilic acidogenic fermentation using hydrophobic deep eutectic solvents.

Volatile fatty acids recovery from thermophilic acidogenic fermentation using hydrophobic deep eutectic solvents.

Background: Volatile fatty acids (VFA) derived from acidogenic fermentation can be recovered as precursors for synthesizing value-added chemicals to replace those from fossil fuels. However, separating VFAs from the fermentation broth with complex constituents and a high-water content is an energy-intensive process.

Results: This study developed an innovative membrane extraction technology, utilizing hydrophobic deep eutectic solvents (HDESs) as the acceptor phase along with an omniphobic membrane contactor for efficient extraction of anhydrous VFAs. All tested HDESs, three terpene-based type V HDESs and two tetraalkylammonium halide-based type III HDESs, were found to effectively extract VFAs at pH 3, with extraction recovery percentages (ERPs) up to 80% and 92% for 4 C- and 5 C- VFAs, respectively. However, the ERP of type V HDESs decreased significantly when the aqueous phase was adjusted to pH 6. Molecular simulations suggest that the VFA-HDES interactions vary with VFA dissociation, where the ion-dipole interactions between VFA conjugate bases and hydrogen bond donors at near-neutral pH conditions may destabilize the type V HDES structure and lead to reduced extraction efficiency. The temperature increases from 25 °C to 55 °C did not significantly impact VFA distribution, but a higher temperature could enhance cross-membrane mass transfer.

Conclusions: This study demonstrated a novel continuous VFA extraction technology based on HDESs and elucidates the impact of temperature, pH, impurities in real fermentate and the applicability of an integrated membrane system through combined experimental and computational approaches.

求助全文
通过发布文献求助,成功后即可免费获取论文全文。 去求助
来源期刊
Journal of Biological Engineering
Journal of Biological Engineering BIOCHEMICAL RESEARCH METHODS-BIOTECHNOLOGY & APPLIED MICROBIOLOGY
CiteScore
7.10
自引率
1.80%
发文量
32
审稿时长
17 weeks
期刊介绍: Biological engineering is an emerging discipline that encompasses engineering theory and practice connected to and derived from the science of biology, just as mechanical engineering and electrical engineering are rooted in physics and chemical engineering in chemistry. Topical areas include, but are not limited to: Synthetic biology and cellular design Biomolecular, cellular and tissue engineering Bioproduction and metabolic engineering Biosensors Ecological and environmental engineering Biological engineering education and the biodesign process As the official journal of the Institute of Biological Engineering, Journal of Biological Engineering provides a home for the continuum from biological information science, molecules and cells, product formation, wastes and remediation, and educational advances in curriculum content and pedagogy at the undergraduate and graduate-levels. Manuscripts should explore commonalities with other fields of application by providing some discussion of the broader context of the work and how it connects to other areas within the field.
×
引用
GB/T 7714-2015
复制
MLA
复制
APA
复制
导出至
BibTeX EndNote RefMan NoteFirst NoteExpress
×
提示
您的信息不完整,为了账户安全,请先补充。
现在去补充
×
提示
您因"违规操作"
具体请查看互助需知
我知道了
×
提示
确定
请完成安全验证×
copy
已复制链接
快去分享给好友吧!
我知道了
右上角分享
点击右上角分享
0
联系我们:info@booksci.cn Book学术提供免费学术资源搜索服务,方便国内外学者检索中英文文献。致力于提供最便捷和优质的服务体验。 Copyright © 2023 布克学术 All rights reserved.
京ICP备2023020795号-1
ghs 京公网安备 11010802042870号
Book学术文献互助
Book学术文献互助群
群 号:604180095
Book学术官方微信