修复恢复:综合围手术期护理减少微创冠脉搭桥术后住院时间。

IF 1.6 Q2 SURGERY
Christine Ashenhurst, Omar Toubar, Menaka Ponnambalam, Roy Masters, Ming Hao Guo, Hugo Issa, Marc Ruel
{"title":"修复恢复:综合围手术期护理减少微创冠脉搭桥术后住院时间。","authors":"Christine Ashenhurst, Omar Toubar, Menaka Ponnambalam, Roy Masters, Ming Hao Guo, Hugo Issa, Marc Ruel","doi":"10.1177/15569845251361492","DOIUrl":null,"url":null,"abstract":"<p><strong>Objective: </strong>To evaluate the impact of a novel multidisciplinary initiative, known as the Multimodal ENhanced Discharge (MEND), on length of stay (LOS) for patients undergoing minimally invasive coronary artery bypass grafting (MICS CABG).</p><p><strong>Methods: </strong>The MEND program aims to optimize the patient's preoperative condition and increase preparedness, provide individualized perioperative care, and ensure early postdischarge follow-up to support active recovery and facilitate early discharge. This single-center, retrospective analysis reviewed LOS and readmission data for 198 consecutive patients who underwent MICS CABG by a single surgeon. Of these, 91 patients received routine care (RC) and 107 patients received care through the MEND program.</p><p><strong>Results: </strong>The median ward (non-intensive care unit) LOS was significantly shorter by 33% in the MEND group versus the RC group (2 vs 3 days, <i>P</i> < 0.001), resulting in a 40% shorter median total hospital LOS in the MEND group versus the RC group (2 vs 5 days, <i>P</i> < 0.001). Readmission rates were 14.3% for RC and 6.6% in the MEND group (<i>P</i> = 0.12).</p><p><strong>Conclusions: </strong>Implementation of the MEND program in patients undergoing MICS CABG was associated with significantly shorter overall hospital LOS without an increase in readmission rates. No statistically significant differences in baseline characteristics between the RC and MEND cohorts were observed. These findings suggest MEND is an effective and generalizable program for optimizing recovery. Ultimately, this model of care has the potential to positively affect health care costs, improve surgical wait times, and expand capacity in MICS CABG programs.</p>","PeriodicalId":13574,"journal":{"name":"Innovations: Technology and Techniques in Cardiothoracic and Vascular Surgery","volume":" ","pages":"350-358"},"PeriodicalIF":1.6000,"publicationDate":"2025-07-01","publicationTypes":"Journal Article","fieldsOfStudy":null,"isOpenAccess":false,"openAccessPdf":"https://www.ncbi.nlm.nih.gov/pmc/articles/PMC12398631/pdf/","citationCount":"0","resultStr":"{\"title\":\"MENDing Recovery: Comprehensive Perioperative Care Cuts Hospital Stay After Minimally Invasive CABG.\",\"authors\":\"Christine Ashenhurst, Omar Toubar, Menaka Ponnambalam, Roy Masters, Ming Hao Guo, Hugo Issa, Marc Ruel\",\"doi\":\"10.1177/15569845251361492\",\"DOIUrl\":null,\"url\":null,\"abstract\":\"<p><strong>Objective: </strong>To evaluate the impact of a novel multidisciplinary initiative, known as the Multimodal ENhanced Discharge (MEND), on length of stay (LOS) for patients undergoing minimally invasive coronary artery bypass grafting (MICS CABG).</p><p><strong>Methods: </strong>The MEND program aims to optimize the patient's preoperative condition and increase preparedness, provide individualized perioperative care, and ensure early postdischarge follow-up to support active recovery and facilitate early discharge. This single-center, retrospective analysis reviewed LOS and readmission data for 198 consecutive patients who underwent MICS CABG by a single surgeon. Of these, 91 patients received routine care (RC) and 107 patients received care through the MEND program.</p><p><strong>Results: </strong>The median ward (non-intensive care unit) LOS was significantly shorter by 33% in the MEND group versus the RC group (2 vs 3 days, <i>P</i> < 0.001), resulting in a 40% shorter median total hospital LOS in the MEND group versus the RC group (2 vs 5 days, <i>P</i> < 0.001). Readmission rates were 14.3% for RC and 6.6% in the MEND group (<i>P</i> = 0.12).</p><p><strong>Conclusions: </strong>Implementation of the MEND program in patients undergoing MICS CABG was associated with significantly shorter overall hospital LOS without an increase in readmission rates. No statistically significant differences in baseline characteristics between the RC and MEND cohorts were observed. These findings suggest MEND is an effective and generalizable program for optimizing recovery. Ultimately, this model of care has the potential to positively affect health care costs, improve surgical wait times, and expand capacity in MICS CABG programs.</p>\",\"PeriodicalId\":13574,\"journal\":{\"name\":\"Innovations: Technology and Techniques in Cardiothoracic and Vascular Surgery\",\"volume\":\" \",\"pages\":\"350-358\"},\"PeriodicalIF\":1.6000,\"publicationDate\":\"2025-07-01\",\"publicationTypes\":\"Journal Article\",\"fieldsOfStudy\":null,\"isOpenAccess\":false,\"openAccessPdf\":\"https://www.ncbi.nlm.nih.gov/pmc/articles/PMC12398631/pdf/\",\"citationCount\":\"0\",\"resultStr\":null,\"platform\":\"Semanticscholar\",\"paperid\":null,\"PeriodicalName\":\"Innovations: Technology and Techniques in Cardiothoracic and Vascular Surgery\",\"FirstCategoryId\":\"1085\",\"ListUrlMain\":\"https://doi.org/10.1177/15569845251361492\",\"RegionNum\":0,\"RegionCategory\":null,\"ArticlePicture\":[],\"TitleCN\":null,\"AbstractTextCN\":null,\"PMCID\":null,\"EPubDate\":\"2025/7/31 0:00:00\",\"PubModel\":\"Epub\",\"JCR\":\"Q2\",\"JCRName\":\"SURGERY\",\"Score\":null,\"Total\":0}","platform":"Semanticscholar","paperid":null,"PeriodicalName":"Innovations: Technology and Techniques in Cardiothoracic and Vascular Surgery","FirstCategoryId":"1085","ListUrlMain":"https://doi.org/10.1177/15569845251361492","RegionNum":0,"RegionCategory":null,"ArticlePicture":[],"TitleCN":null,"AbstractTextCN":null,"PMCID":null,"EPubDate":"2025/7/31 0:00:00","PubModel":"Epub","JCR":"Q2","JCRName":"SURGERY","Score":null,"Total":0}
引用次数: 0

摘要

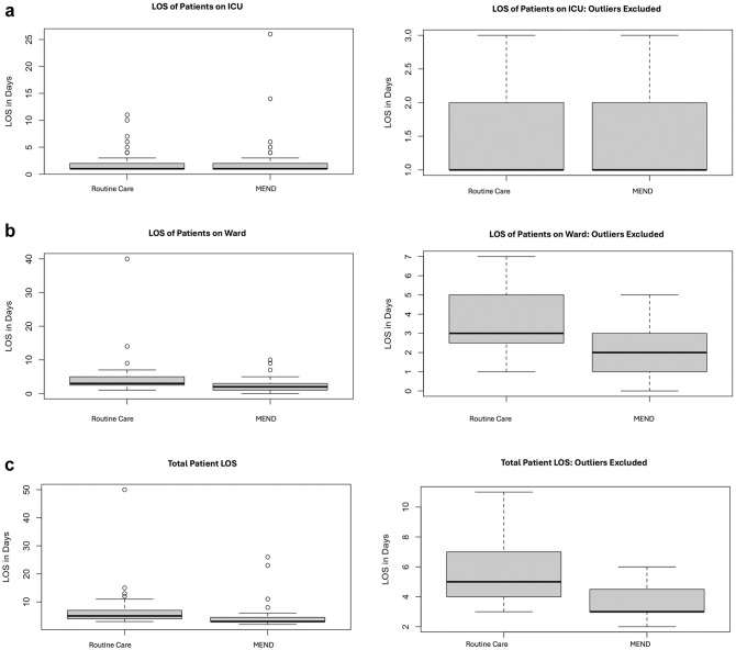
目的:评估一种新的多学科倡议,即多模式增强出院(MEND)对微创冠状动脉旁路移植术(MICS CABG)患者住院时间(LOS)的影响。方法:MEND项目旨在优化患者术前状态,加强术前准备,提供个性化围手术期护理,并确保出院后早期随访,支持患者主动康复,促进患者早日出院。这项单中心、回顾性分析回顾了198名连续接受MICS冠脉搭桥的患者的LOS和再入院数据。其中,91名患者接受了常规护理(RC), 107名患者接受了MEND项目的护理。结果:与RC组相比,MEND组的中位病房(非重症监护病房)生存时间显著缩短33%(2天vs 3天,P < 0.001),导致MEND组的中位总住院时间比RC组缩短40%(2天vs 5天,P < 0.001)。RC组再入院率为14.3%,MEND组为6.6% (P = 0.12)。结论:在接受MICS冠脉搭桥的患者中实施MEND计划与总体住院时间显著缩短相关,且不增加再入院率。RC组和MEND组的基线特征没有统计学上的显著差异。这些发现表明MEND是一种有效的、可推广的优化康复方案。最终,这种护理模式有可能对医疗保健成本产生积极影响,改善手术等待时间,并扩大中等收入国家CABG项目的能力。
本文章由计算机程序翻译,如有差异,请以英文原文为准。

MENDing Recovery: Comprehensive Perioperative Care Cuts Hospital Stay After Minimally Invasive CABG.

MENDing Recovery: Comprehensive Perioperative Care Cuts Hospital Stay After Minimally Invasive CABG.

MENDing Recovery: Comprehensive Perioperative Care Cuts Hospital Stay After Minimally Invasive CABG.

MENDing Recovery: Comprehensive Perioperative Care Cuts Hospital Stay After Minimally Invasive CABG.

Objective: To evaluate the impact of a novel multidisciplinary initiative, known as the Multimodal ENhanced Discharge (MEND), on length of stay (LOS) for patients undergoing minimally invasive coronary artery bypass grafting (MICS CABG).

Methods: The MEND program aims to optimize the patient's preoperative condition and increase preparedness, provide individualized perioperative care, and ensure early postdischarge follow-up to support active recovery and facilitate early discharge. This single-center, retrospective analysis reviewed LOS and readmission data for 198 consecutive patients who underwent MICS CABG by a single surgeon. Of these, 91 patients received routine care (RC) and 107 patients received care through the MEND program.

Results: The median ward (non-intensive care unit) LOS was significantly shorter by 33% in the MEND group versus the RC group (2 vs 3 days, P < 0.001), resulting in a 40% shorter median total hospital LOS in the MEND group versus the RC group (2 vs 5 days, P < 0.001). Readmission rates were 14.3% for RC and 6.6% in the MEND group (P = 0.12).

Conclusions: Implementation of the MEND program in patients undergoing MICS CABG was associated with significantly shorter overall hospital LOS without an increase in readmission rates. No statistically significant differences in baseline characteristics between the RC and MEND cohorts were observed. These findings suggest MEND is an effective and generalizable program for optimizing recovery. Ultimately, this model of care has the potential to positively affect health care costs, improve surgical wait times, and expand capacity in MICS CABG programs.

求助全文
通过发布文献求助,成功后即可免费获取论文全文。 去求助
来源期刊
CiteScore
2.00
自引率
6.70%
发文量
80
期刊介绍: Innovations: Technology and Techniques in Cardiothoracic and Vascular Surgery is the first journal whose main mission is to disseminate information specifically about advances in technology and techniques that lead to less invasive treatment of cardiothoracic and vascular disease. It delivers cutting edge original research, reviews, essays, case reports, and editorials from the pioneers and experts in the field of minimally invasive cardiothoracic and vascular disease, including biomedical engineers. Also included are papers presented at the annual ISMICS meeting. Official Journal of the International Society for Minimally Invasive Cardiothoracic Surgery
×
引用
GB/T 7714-2015
复制
MLA
复制
APA
复制
导出至
BibTeX EndNote RefMan NoteFirst NoteExpress
×
提示
您的信息不完整,为了账户安全,请先补充。
现在去补充
×
提示
您因"违规操作"
具体请查看互助需知
我知道了
×
提示
确定
请完成安全验证×
copy
已复制链接
快去分享给好友吧!
我知道了
右上角分享
点击右上角分享
0
联系我们:info@booksci.cn Book学术提供免费学术资源搜索服务,方便国内外学者检索中英文文献。致力于提供最便捷和优质的服务体验。 Copyright © 2023 布克学术 All rights reserved.
京ICP备2023020795号-1
ghs 京公网安备 11010802042870号
Book学术文献互助
Book学术文献互助群
群 号:604180095
Book学术官方微信