鱼腥草体外抗糖尿病足细菌活性的研究。

IF 2.5 3区 生物学
Chong Geng, Liuxuan An, Lin Niu, Xiaona Cui, Shulan Zhang, Xueqin Yuan, Qian Ma
{"title":"鱼腥草体外抗糖尿病足细菌活性的研究。","authors":"Chong Geng, Liuxuan An, Lin Niu, Xiaona Cui, Shulan Zhang, Xueqin Yuan, Qian Ma","doi":"10.1186/s41065-025-00505-5","DOIUrl":null,"url":null,"abstract":"<p><strong>Background: </strong>Misuse of antibiotics makes it very easy for bacteria to become resistant to drugs. Houttuynia cordata (HC) has antibacterial, antiviral, analgesic, antioxidant, diuretic, hypoglycemic, and immune-enhancing properties.</p><p><strong>Aim: </strong>To study the inhibitory effect of HC on Staphylococcus aureus and Pseudomonas aeruginosa isolated from tissue or pus specimens from patients with diabetic foot ulcers.</p><p><strong>Materials and methods: </strong>Seventy-two patients with DFU were randomly divided into three groups and given treatment with methicillin (Met), meropenem (Mer), and HC, respectively. Analysis and identification of clinical isolates of Staphylococcus aureus and Pseudomonas aeruginosa using the Orbitrap Exploris™ 480. The drug susceptibility of four isolates to HC was studied by bacteriostatic test. The MIC and MBC of Houttuynia cordata against four isolates were determined using the broth microdilution method. The growth and time-kill curves of the bacteria were studied by bacterial inhibition experiments.The effect of Houttuynia cordata on the viability of H6C7 cells was examined by MTT assay.</p><p><strong>Results: </strong>HC treatment improved clinical parameters of DFUs patients. The inhibition zone of S08 (MSSA) was 15.45 ± 0.12 mm, which was highly sensitive to Houttuynia cordata. The inhibition zone sizes of R11 (MRSA), P10 (CRPA) and D22 (MDRPA) were 12.64 ± 0.09 mm,13.42 ± 0.11 mm and 11.23 ± 0.08 mm, respectively. All of them were moderately sensitive to Houttuynia cordata. The MIC of S08,R11,P10 and D22 were 31.25,62.5,62.5 and 125 µg/mL, respectively. The MBCS of S08,R11,P10 and D22 were 500,1000,1000 and 1000 µg/mLrespectively.Bacterial growth curves and time-kill curves demonstrated that Houttuynia cordata significantly inhibited the growth of both bacteria. Cytotoxicity assay showed that Houttuynia cordata effectively inhibited bacteria without cytotoxicity to eukaryotic cells.</p><p><strong>Conclusion: </strong>Houttuynia cordata exhibits promising antibacterial activity against both Staphylococcus aureus and Pseudomonas aeruginosa, including drug-resistant strains, without cytotoxic effects on eukaryotic cells. These findings support its potential as an alternative therapeutic agent for DFU-associated infections.</p>","PeriodicalId":12862,"journal":{"name":"Hereditas","volume":"162 1","pages":"147"},"PeriodicalIF":2.5000,"publicationDate":"2025-07-31","publicationTypes":"Journal Article","fieldsOfStudy":null,"isOpenAccess":false,"openAccessPdf":"https://www.ncbi.nlm.nih.gov/pmc/articles/PMC12315277/pdf/","citationCount":"0","resultStr":"{\"title\":\"In vitro activity of Houttuynia cordata against bacteria isolated from diabetic foot.\",\"authors\":\"Chong Geng, Liuxuan An, Lin Niu, Xiaona Cui, Shulan Zhang, Xueqin Yuan, Qian Ma\",\"doi\":\"10.1186/s41065-025-00505-5\",\"DOIUrl\":null,\"url\":null,\"abstract\":\"<p><strong>Background: </strong>Misuse of antibiotics makes it very easy for bacteria to become resistant to drugs. Houttuynia cordata (HC) has antibacterial, antiviral, analgesic, antioxidant, diuretic, hypoglycemic, and immune-enhancing properties.</p><p><strong>Aim: </strong>To study the inhibitory effect of HC on Staphylococcus aureus and Pseudomonas aeruginosa isolated from tissue or pus specimens from patients with diabetic foot ulcers.</p><p><strong>Materials and methods: </strong>Seventy-two patients with DFU were randomly divided into three groups and given treatment with methicillin (Met), meropenem (Mer), and HC, respectively. Analysis and identification of clinical isolates of Staphylococcus aureus and Pseudomonas aeruginosa using the Orbitrap Exploris™ 480. The drug susceptibility of four isolates to HC was studied by bacteriostatic test. The MIC and MBC of Houttuynia cordata against four isolates were determined using the broth microdilution method. The growth and time-kill curves of the bacteria were studied by bacterial inhibition experiments.The effect of Houttuynia cordata on the viability of H6C7 cells was examined by MTT assay.</p><p><strong>Results: </strong>HC treatment improved clinical parameters of DFUs patients. The inhibition zone of S08 (MSSA) was 15.45 ± 0.12 mm, which was highly sensitive to Houttuynia cordata. The inhibition zone sizes of R11 (MRSA), P10 (CRPA) and D22 (MDRPA) were 12.64 ± 0.09 mm,13.42 ± 0.11 mm and 11.23 ± 0.08 mm, respectively. All of them were moderately sensitive to Houttuynia cordata. The MIC of S08,R11,P10 and D22 were 31.25,62.5,62.5 and 125 µg/mL, respectively. The MBCS of S08,R11,P10 and D22 were 500,1000,1000 and 1000 µg/mLrespectively.Bacterial growth curves and time-kill curves demonstrated that Houttuynia cordata significantly inhibited the growth of both bacteria. Cytotoxicity assay showed that Houttuynia cordata effectively inhibited bacteria without cytotoxicity to eukaryotic cells.</p><p><strong>Conclusion: </strong>Houttuynia cordata exhibits promising antibacterial activity against both Staphylococcus aureus and Pseudomonas aeruginosa, including drug-resistant strains, without cytotoxic effects on eukaryotic cells. These findings support its potential as an alternative therapeutic agent for DFU-associated infections.</p>\",\"PeriodicalId\":12862,\"journal\":{\"name\":\"Hereditas\",\"volume\":\"162 1\",\"pages\":\"147\"},\"PeriodicalIF\":2.5000,\"publicationDate\":\"2025-07-31\",\"publicationTypes\":\"Journal Article\",\"fieldsOfStudy\":null,\"isOpenAccess\":false,\"openAccessPdf\":\"https://www.ncbi.nlm.nih.gov/pmc/articles/PMC12315277/pdf/\",\"citationCount\":\"0\",\"resultStr\":null,\"platform\":\"Semanticscholar\",\"paperid\":null,\"PeriodicalName\":\"Hereditas\",\"FirstCategoryId\":\"99\",\"ListUrlMain\":\"https://doi.org/10.1186/s41065-025-00505-5\",\"RegionNum\":3,\"RegionCategory\":\"生物学\",\"ArticlePicture\":[],\"TitleCN\":null,\"AbstractTextCN\":null,\"PMCID\":null,\"EPubDate\":\"\",\"PubModel\":\"\",\"JCR\":\"\",\"JCRName\":\"\",\"Score\":null,\"Total\":0}","platform":"Semanticscholar","paperid":null,"PeriodicalName":"Hereditas","FirstCategoryId":"99","ListUrlMain":"https://doi.org/10.1186/s41065-025-00505-5","RegionNum":3,"RegionCategory":"生物学","ArticlePicture":[],"TitleCN":null,"AbstractTextCN":null,"PMCID":null,"EPubDate":"","PubModel":"","JCR":"","JCRName":"","Score":null,"Total":0}
引用次数: 0

摘要

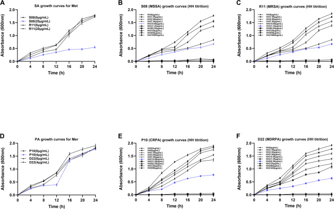
背景:滥用抗生素很容易使细菌产生耐药性。鱼腥草(HC)具有抗菌、抗病毒、镇痛、抗氧化、利尿、降血糖和增强免疫的特性。目的:研究HC对糖尿病足溃疡患者组织或脓液中分离的金黄色葡萄球菌和铜绿假单胞菌的抑制作用。材料与方法:将72例DFU患者随机分为3组,分别给予甲氧西林(Met)、美罗培南(Mer)、HC治疗。使用Orbitrap Exploris™480分析和鉴定临床分离的金黄色葡萄球菌和铜绿假单胞菌。采用抑菌试验研究了4株菌株对HC的药敏。采用肉汤微量稀释法测定鱼腥草对4株分离菌的MIC和MBC。通过抑菌实验研究了细菌的生长曲线和时间杀伤曲线。采用MTT法检测鱼腥草对H6C7细胞活力的影响。结果:HC治疗改善了DFUs患者的临床参数。S08 (MSSA)的抑制区为15.45±0.12 mm,对鱼腥草高度敏感。对R11 (MRSA)、P10 (CRPA)和D22 (MDRPA)的抑制区大小分别为12.64±0.09 mm、13.42±0.11 mm和11.23±0.08 mm。对鱼腥草均有中等敏感性。S08、R11、P10和D22的MIC分别为31.25、62.5、62.5和125µg/mL。S08、R11、P10和D22的MBCS分别为500、1000、1000和1000µg/ ml。细菌生长曲线和时间杀伤曲线表明鱼腥草对两种细菌的生长均有明显的抑制作用。细胞毒性实验表明鱼腥草对细菌有抑制作用,对真核细胞无细胞毒性。结论:鱼腥草对金黄色葡萄球菌和铜绿假单胞菌(包括耐药菌株)均有良好的抗菌活性,对真核细胞无细胞毒作用。这些发现支持其作为dfu相关感染的替代治疗剂的潜力。
本文章由计算机程序翻译,如有差异,请以英文原文为准。

In vitro activity of Houttuynia cordata against bacteria isolated from diabetic foot.

In vitro activity of Houttuynia cordata against bacteria isolated from diabetic foot.

In vitro activity of Houttuynia cordata against bacteria isolated from diabetic foot.

In vitro activity of Houttuynia cordata against bacteria isolated from diabetic foot.

Background: Misuse of antibiotics makes it very easy for bacteria to become resistant to drugs. Houttuynia cordata (HC) has antibacterial, antiviral, analgesic, antioxidant, diuretic, hypoglycemic, and immune-enhancing properties.

Aim: To study the inhibitory effect of HC on Staphylococcus aureus and Pseudomonas aeruginosa isolated from tissue or pus specimens from patients with diabetic foot ulcers.

Materials and methods: Seventy-two patients with DFU were randomly divided into three groups and given treatment with methicillin (Met), meropenem (Mer), and HC, respectively. Analysis and identification of clinical isolates of Staphylococcus aureus and Pseudomonas aeruginosa using the Orbitrap Exploris™ 480. The drug susceptibility of four isolates to HC was studied by bacteriostatic test. The MIC and MBC of Houttuynia cordata against four isolates were determined using the broth microdilution method. The growth and time-kill curves of the bacteria were studied by bacterial inhibition experiments.The effect of Houttuynia cordata on the viability of H6C7 cells was examined by MTT assay.

Results: HC treatment improved clinical parameters of DFUs patients. The inhibition zone of S08 (MSSA) was 15.45 ± 0.12 mm, which was highly sensitive to Houttuynia cordata. The inhibition zone sizes of R11 (MRSA), P10 (CRPA) and D22 (MDRPA) were 12.64 ± 0.09 mm,13.42 ± 0.11 mm and 11.23 ± 0.08 mm, respectively. All of them were moderately sensitive to Houttuynia cordata. The MIC of S08,R11,P10 and D22 were 31.25,62.5,62.5 and 125 µg/mL, respectively. The MBCS of S08,R11,P10 and D22 were 500,1000,1000 and 1000 µg/mLrespectively.Bacterial growth curves and time-kill curves demonstrated that Houttuynia cordata significantly inhibited the growth of both bacteria. Cytotoxicity assay showed that Houttuynia cordata effectively inhibited bacteria without cytotoxicity to eukaryotic cells.

Conclusion: Houttuynia cordata exhibits promising antibacterial activity against both Staphylococcus aureus and Pseudomonas aeruginosa, including drug-resistant strains, without cytotoxic effects on eukaryotic cells. These findings support its potential as an alternative therapeutic agent for DFU-associated infections.

求助全文
通过发布文献求助,成功后即可免费获取论文全文。 去求助
来源期刊
Hereditas
Hereditas Biochemistry, Genetics and Molecular Biology-Genetics
CiteScore
3.80
自引率
3.70%
发文量
0
期刊介绍: For almost a century, Hereditas has published original cutting-edge research and reviews. As the Official journal of the Mendelian Society of Lund, the journal welcomes research from across all areas of genetics and genomics. Topics of interest include human and medical genetics, animal and plant genetics, microbial genetics, agriculture and bioinformatics.
×
引用
GB/T 7714-2015
复制
MLA
复制
APA
复制
导出至
BibTeX EndNote RefMan NoteFirst NoteExpress
×
提示
您的信息不完整,为了账户安全,请先补充。
现在去补充
×
提示
您因"违规操作"
具体请查看互助需知
我知道了
×
提示
确定
请完成安全验证×
copy
已复制链接
快去分享给好友吧!
我知道了
右上角分享
点击右上角分享
0
联系我们:info@booksci.cn Book学术提供免费学术资源搜索服务,方便国内外学者检索中英文文献。致力于提供最便捷和优质的服务体验。 Copyright © 2023 布克学术 All rights reserved.
京ICP备2023020795号-1
ghs 京公网安备 11010802042870号
Book学术文献互助
Book学术文献互助群
群 号:604180095
Book学术官方微信