前所未有的具有抗炎活性的三萜。

IF 2.5 4区 医学 Q3 CHEMISTRY, MEDICINAL
Ya-feng Wang, Pei-de Tang, Rui-jie He, Zhang-bin Liu, Yong-qiong Wei, Jun Ruan, Bing-yuan Yang, Yong-lin Huang
{"title":"前所未有的具有抗炎活性的三萜。","authors":"Ya-feng Wang,&nbsp;Pei-de Tang,&nbsp;Rui-jie He,&nbsp;Zhang-bin Liu,&nbsp;Yong-qiong Wei,&nbsp;Jun Ruan,&nbsp;Bing-yuan Yang,&nbsp;Yong-lin Huang","doi":"10.1007/s11418-025-01936-0","DOIUrl":null,"url":null,"abstract":"<div><p>Four triterpenes with the unprecedented pentacyclic skeletons were isolated from <i>Limax maximus</i>, the traditional medicine of the Zhuang ethnic group in Guangxi. Notably, compounds <b>1</b>−<b>4</b> were characterized by rare 7/6/5 tricyclic ring moiety linked to 6/5 bicyclic moiety via three carbon chain. The structures of compounds <b>1</b>−<b>4</b> were elucidated by comprehensive spectroscopic analysis. The absolute configurations of compounds <b>1</b>−<b>2</b> were determined by single-crystal X-ray diffraction analysis using Cu Kα radiation. Biogenetically, compound <b>1</b> could be derived from the tetraepoxysqualenes, via cyclisation and hydroxylation reactions. Bioactivity assay results showed that compound <b>4</b> significantly inhibited LPS-induced NO production in RAW 264.7 cells at 25 µM with inhibition of NO production by 47%.</p><h3>Graphical Abstract</h3><div><figure><div><div><picture><source><img></source></picture></div></div></figure></div></div>","PeriodicalId":654,"journal":{"name":"Journal of Natural Medicines","volume":"79 5","pages":"1216 - 1225"},"PeriodicalIF":2.5000,"publicationDate":"2025-08-01","publicationTypes":"Journal Article","fieldsOfStudy":null,"isOpenAccess":false,"openAccessPdf":"","citationCount":"0","resultStr":"{\"title\":\"Unprecedented triterpenes with anti-inflammatory activity from Limax maximus\",\"authors\":\"Ya-feng Wang,&nbsp;Pei-de Tang,&nbsp;Rui-jie He,&nbsp;Zhang-bin Liu,&nbsp;Yong-qiong Wei,&nbsp;Jun Ruan,&nbsp;Bing-yuan Yang,&nbsp;Yong-lin Huang\",\"doi\":\"10.1007/s11418-025-01936-0\",\"DOIUrl\":null,\"url\":null,\"abstract\":\"<div><p>Four triterpenes with the unprecedented pentacyclic skeletons were isolated from <i>Limax maximus</i>, the traditional medicine of the Zhuang ethnic group in Guangxi. Notably, compounds <b>1</b>−<b>4</b> were characterized by rare 7/6/5 tricyclic ring moiety linked to 6/5 bicyclic moiety via three carbon chain. The structures of compounds <b>1</b>−<b>4</b> were elucidated by comprehensive spectroscopic analysis. The absolute configurations of compounds <b>1</b>−<b>2</b> were determined by single-crystal X-ray diffraction analysis using Cu Kα radiation. Biogenetically, compound <b>1</b> could be derived from the tetraepoxysqualenes, via cyclisation and hydroxylation reactions. Bioactivity assay results showed that compound <b>4</b> significantly inhibited LPS-induced NO production in RAW 264.7 cells at 25 µM with inhibition of NO production by 47%.</p><h3>Graphical Abstract</h3><div><figure><div><div><picture><source><img></source></picture></div></div></figure></div></div>\",\"PeriodicalId\":654,\"journal\":{\"name\":\"Journal of Natural Medicines\",\"volume\":\"79 5\",\"pages\":\"1216 - 1225\"},\"PeriodicalIF\":2.5000,\"publicationDate\":\"2025-08-01\",\"publicationTypes\":\"Journal Article\",\"fieldsOfStudy\":null,\"isOpenAccess\":false,\"openAccessPdf\":\"\",\"citationCount\":\"0\",\"resultStr\":null,\"platform\":\"Semanticscholar\",\"paperid\":null,\"PeriodicalName\":\"Journal of Natural Medicines\",\"FirstCategoryId\":\"3\",\"ListUrlMain\":\"https://link.springer.com/article/10.1007/s11418-025-01936-0\",\"RegionNum\":4,\"RegionCategory\":\"医学\",\"ArticlePicture\":[],\"TitleCN\":null,\"AbstractTextCN\":null,\"PMCID\":null,\"EPubDate\":\"\",\"PubModel\":\"\",\"JCR\":\"Q3\",\"JCRName\":\"CHEMISTRY, MEDICINAL\",\"Score\":null,\"Total\":0}","platform":"Semanticscholar","paperid":null,"PeriodicalName":"Journal of Natural Medicines","FirstCategoryId":"3","ListUrlMain":"https://link.springer.com/article/10.1007/s11418-025-01936-0","RegionNum":4,"RegionCategory":"医学","ArticlePicture":[],"TitleCN":null,"AbstractTextCN":null,"PMCID":null,"EPubDate":"","PubModel":"","JCR":"Q3","JCRName":"CHEMISTRY, MEDICINAL","Score":null,"Total":0}
引用次数: 0

摘要

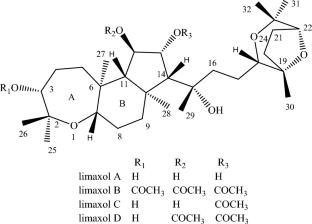
从广西壮族传统药材中分离到4个具有前所未有的五环骨架的三萜。值得注意的是,化合物1-4具有罕见的7/6/5三环,通过三碳链与6/5双环相连。化合物1 ~ 4的结构通过综合光谱分析得到了证实。化合物1 ~ 2的绝对构型通过Cu Kα辐射单晶x射线衍射分析确定。从生物学上讲,化合物1可以通过环化和羟基化反应从四环氧四烯中得到。生物活性测定结果显示,化合物4在25µM下显著抑制lps诱导的RAW 264.7细胞NO的产生,抑制率为47%。
本文章由计算机程序翻译,如有差异,请以英文原文为准。

Unprecedented triterpenes with anti-inflammatory activity from Limax maximus

Unprecedented triterpenes with anti-inflammatory activity from Limax maximus

Unprecedented triterpenes with anti-inflammatory activity from Limax maximus

Four triterpenes with the unprecedented pentacyclic skeletons were isolated from Limax maximus, the traditional medicine of the Zhuang ethnic group in Guangxi. Notably, compounds 14 were characterized by rare 7/6/5 tricyclic ring moiety linked to 6/5 bicyclic moiety via three carbon chain. The structures of compounds 14 were elucidated by comprehensive spectroscopic analysis. The absolute configurations of compounds 12 were determined by single-crystal X-ray diffraction analysis using Cu Kα radiation. Biogenetically, compound 1 could be derived from the tetraepoxysqualenes, via cyclisation and hydroxylation reactions. Bioactivity assay results showed that compound 4 significantly inhibited LPS-induced NO production in RAW 264.7 cells at 25 µM with inhibition of NO production by 47%.

Graphical Abstract

求助全文
通过发布文献求助,成功后即可免费获取论文全文。 去求助
来源期刊
CiteScore
6.90
自引率
3.00%
发文量
79
审稿时长
1.7 months
期刊介绍: The Journal of Natural Medicines is an international journal publishing original research in naturally occurring medicines and their related foods and cosmetics. It covers: -chemistry of natural products -biochemistry of medicinal plants -pharmacology of natural products and herbs, including Kampo formulas and traditional herbs -botanical anatomy -cultivation of medicinal plants. The journal accepts Original Papers, Notes, Rapid Communications and Natural Resource Letters. Reviews and Mini-Reviews are generally invited.
×
引用
GB/T 7714-2015
复制
MLA
复制
APA
复制
导出至
BibTeX EndNote RefMan NoteFirst NoteExpress
×
提示
您的信息不完整,为了账户安全,请先补充。
现在去补充
×
提示
您因"违规操作"
具体请查看互助需知
我知道了
×
提示
确定
请完成安全验证×
copy
已复制链接
快去分享给好友吧!
我知道了
右上角分享
点击右上角分享
0
联系我们:info@booksci.cn Book学术提供免费学术资源搜索服务,方便国内外学者检索中英文文献。致力于提供最便捷和优质的服务体验。 Copyright © 2023 布克学术 All rights reserved.
京ICP备2023020795号-1
ghs 京公网安备 11010802042870号
Book学术文献互助
Book学术文献互助群
群 号:604180095
Book学术官方微信