估计HIV-1在宿主内整个基因组的重组率。

IF 4 2区 医学 Q1 VIROLOGY
Virus Evolution Pub Date : 2025-07-25 eCollection Date: 2025-01-01 DOI:10.1093/ve/veaf052
Harriet Longley, David Bonsall, Joshua Herbeck, George MacIntyre-Cockett, Sandra E Chaudron, Laura Thomson, Nicholas Grayson, Andrew Mujugira, Christophe Fraser, Jairam Lingappa, Katrina Lythgoe
{"title":"估计HIV-1在宿主内整个基因组的重组率。","authors":"Harriet Longley, David Bonsall, Joshua Herbeck, George MacIntyre-Cockett, Sandra E Chaudron, Laura Thomson, Nicholas Grayson, Andrew Mujugira, Christophe Fraser, Jairam Lingappa, Katrina Lythgoe","doi":"10.1093/ve/veaf052","DOIUrl":null,"url":null,"abstract":"<p><p>Recombination plays a pivotal role in generating within-host diversity and enabling HIV's evolutionary success, particularly in evading the host immune response. Despite this, the variability in recombination rates across different settings and the underlying factors that drive these differences remain poorly understood. In this study, we analysed a large dataset encompassing hundreds of untreated, longitudinally sampled infections using both whole-genome long-read and short-read sequencing datasets. By quantifying recombination rates, we uncover substantial variation across subtypes, viral loads, and stages of infection. We also map recombination hot and cold spots across the genome using a sliding window approach, finding that previously reported inter-subtype regions of high or low recombination are replicated at the within-host level. Importantly, our findings reveal the significant influence of selection on recombination, showing that the presence and success of recombinant genomes is strongly interconnected with the fitness landscape. These results offer valuable insights into the contribution of recombination to evolutionary dynamics and demonstrate the enhanced resolution that long-read sequencing offers for studying viral evolution.</p>","PeriodicalId":56026,"journal":{"name":"Virus Evolution","volume":"11 1","pages":"veaf052"},"PeriodicalIF":4.0000,"publicationDate":"2025-07-25","publicationTypes":"Journal Article","fieldsOfStudy":null,"isOpenAccess":false,"openAccessPdf":"https://www.ncbi.nlm.nih.gov/pmc/articles/PMC12309388/pdf/","citationCount":"0","resultStr":"{\"title\":\"Estimates of HIV-1 within-host recombination rates across the whole genome.\",\"authors\":\"Harriet Longley, David Bonsall, Joshua Herbeck, George MacIntyre-Cockett, Sandra E Chaudron, Laura Thomson, Nicholas Grayson, Andrew Mujugira, Christophe Fraser, Jairam Lingappa, Katrina Lythgoe\",\"doi\":\"10.1093/ve/veaf052\",\"DOIUrl\":null,\"url\":null,\"abstract\":\"<p><p>Recombination plays a pivotal role in generating within-host diversity and enabling HIV's evolutionary success, particularly in evading the host immune response. Despite this, the variability in recombination rates across different settings and the underlying factors that drive these differences remain poorly understood. In this study, we analysed a large dataset encompassing hundreds of untreated, longitudinally sampled infections using both whole-genome long-read and short-read sequencing datasets. By quantifying recombination rates, we uncover substantial variation across subtypes, viral loads, and stages of infection. We also map recombination hot and cold spots across the genome using a sliding window approach, finding that previously reported inter-subtype regions of high or low recombination are replicated at the within-host level. Importantly, our findings reveal the significant influence of selection on recombination, showing that the presence and success of recombinant genomes is strongly interconnected with the fitness landscape. These results offer valuable insights into the contribution of recombination to evolutionary dynamics and demonstrate the enhanced resolution that long-read sequencing offers for studying viral evolution.</p>\",\"PeriodicalId\":56026,\"journal\":{\"name\":\"Virus Evolution\",\"volume\":\"11 1\",\"pages\":\"veaf052\"},\"PeriodicalIF\":4.0000,\"publicationDate\":\"2025-07-25\",\"publicationTypes\":\"Journal Article\",\"fieldsOfStudy\":null,\"isOpenAccess\":false,\"openAccessPdf\":\"https://www.ncbi.nlm.nih.gov/pmc/articles/PMC12309388/pdf/\",\"citationCount\":\"0\",\"resultStr\":null,\"platform\":\"Semanticscholar\",\"paperid\":null,\"PeriodicalName\":\"Virus Evolution\",\"FirstCategoryId\":\"3\",\"ListUrlMain\":\"https://doi.org/10.1093/ve/veaf052\",\"RegionNum\":2,\"RegionCategory\":\"医学\",\"ArticlePicture\":[],\"TitleCN\":null,\"AbstractTextCN\":null,\"PMCID\":null,\"EPubDate\":\"2025/1/1 0:00:00\",\"PubModel\":\"eCollection\",\"JCR\":\"Q1\",\"JCRName\":\"VIROLOGY\",\"Score\":null,\"Total\":0}","platform":"Semanticscholar","paperid":null,"PeriodicalName":"Virus Evolution","FirstCategoryId":"3","ListUrlMain":"https://doi.org/10.1093/ve/veaf052","RegionNum":2,"RegionCategory":"医学","ArticlePicture":[],"TitleCN":null,"AbstractTextCN":null,"PMCID":null,"EPubDate":"2025/1/1 0:00:00","PubModel":"eCollection","JCR":"Q1","JCRName":"VIROLOGY","Score":null,"Total":0}
引用次数: 0

摘要

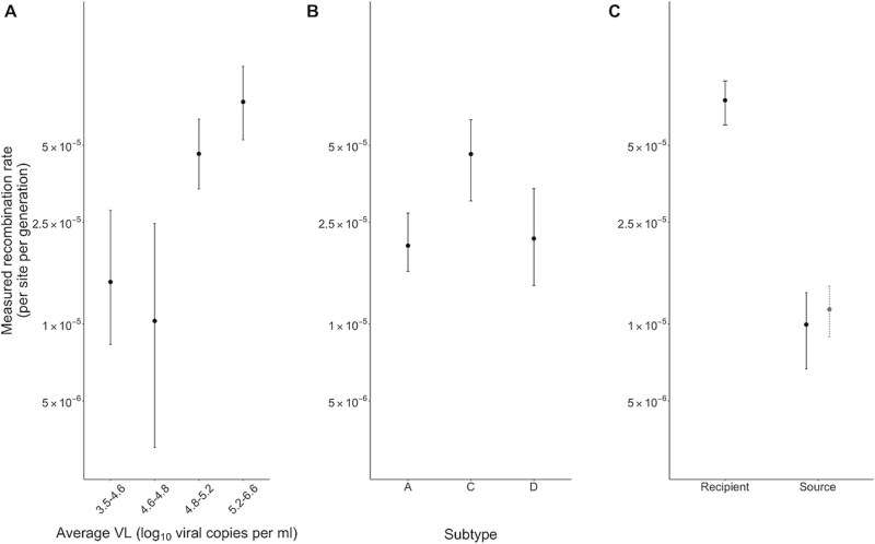
重组在产生宿主内多样性和使艾滋病毒进化成功,特别是在逃避宿主免疫反应方面起着关键作用。尽管如此,不同环境下重组率的可变性以及导致这些差异的潜在因素仍然知之甚少。在这项研究中,我们使用全基因组长读和短读测序数据集分析了包含数百个未经治疗的纵向采样感染的大型数据集。通过量化重组率,我们发现了亚型、病毒载量和感染阶段之间的实质性变化。我们还使用滑动窗口方法绘制了整个基因组的重组热点和冷点,发现先前报道的高重组或低重组的亚型间区域在宿主水平上被复制。重要的是,我们的研究结果揭示了选择对重组的重大影响,表明重组基因组的存在和成功与适应性景观密切相关。这些结果为重组对进化动力学的贡献提供了有价值的见解,并证明了长读测序为研究病毒进化提供了更高的分辨率。
本文章由计算机程序翻译,如有差异,请以英文原文为准。

Estimates of HIV-1 within-host recombination rates across the whole genome.

Estimates of HIV-1 within-host recombination rates across the whole genome.

Estimates of HIV-1 within-host recombination rates across the whole genome.

Estimates of HIV-1 within-host recombination rates across the whole genome.

Recombination plays a pivotal role in generating within-host diversity and enabling HIV's evolutionary success, particularly in evading the host immune response. Despite this, the variability in recombination rates across different settings and the underlying factors that drive these differences remain poorly understood. In this study, we analysed a large dataset encompassing hundreds of untreated, longitudinally sampled infections using both whole-genome long-read and short-read sequencing datasets. By quantifying recombination rates, we uncover substantial variation across subtypes, viral loads, and stages of infection. We also map recombination hot and cold spots across the genome using a sliding window approach, finding that previously reported inter-subtype regions of high or low recombination are replicated at the within-host level. Importantly, our findings reveal the significant influence of selection on recombination, showing that the presence and success of recombinant genomes is strongly interconnected with the fitness landscape. These results offer valuable insights into the contribution of recombination to evolutionary dynamics and demonstrate the enhanced resolution that long-read sequencing offers for studying viral evolution.

求助全文
通过发布文献求助,成功后即可免费获取论文全文。 去求助
来源期刊
Virus Evolution
Virus Evolution Immunology and Microbiology-Microbiology
CiteScore
10.50
自引率
5.70%
发文量
108
审稿时长
14 weeks
期刊介绍: Virus Evolution is a new Open Access journal focusing on the long-term evolution of viruses, viruses as a model system for studying evolutionary processes, viral molecular epidemiology and environmental virology. The aim of the journal is to provide a forum for original research papers, reviews, commentaries and a venue for in-depth discussion on the topics relevant to virus evolution.
×
引用
GB/T 7714-2015
复制
MLA
复制
APA
复制
导出至
BibTeX EndNote RefMan NoteFirst NoteExpress
×
提示
您的信息不完整,为了账户安全,请先补充。
现在去补充
×
提示
您因"违规操作"
具体请查看互助需知
我知道了
×
提示
确定
请完成安全验证×
copy
已复制链接
快去分享给好友吧!
我知道了
右上角分享
点击右上角分享
0
联系我们:info@booksci.cn Book学术提供免费学术资源搜索服务,方便国内外学者检索中英文文献。致力于提供最便捷和优质的服务体验。 Copyright © 2023 布克学术 All rights reserved.
京ICP备2023020795号-1
ghs 京公网安备 11010802042870号
Book学术文献互助
Book学术文献互助群
群 号:604180095
Book学术官方微信