听力能力的自我知觉:听觉加工和扩展高频听力在听力正常老年人中的作用。

IF 1.4 Q3 OTORHINOLARYNGOLOGY
Journal of Audiology and Otology Pub Date : 2025-07-01 Epub Date: 2025-07-18 DOI:10.7874/jao.2025.00045
Oscar M Cañete, Alejandro Luza-Barrios, Felipe Oyarzo-Núñez, Gabriela Paredes-Inostroza, Axel Mutis-Coroseo
{"title":"听力能力的自我知觉:听觉加工和扩展高频听力在听力正常老年人中的作用。","authors":"Oscar M Cañete, Alejandro Luza-Barrios, Felipe Oyarzo-Núñez, Gabriela Paredes-Inostroza, Axel Mutis-Coroseo","doi":"10.7874/jao.2025.00045","DOIUrl":null,"url":null,"abstract":"<p><strong>Background and objectives: </strong>This study investigated the self-reported listening abilities of older adults with clinically normal hearing and examined the role of auditory processing abilities and extended high-frequency thresholds in perceived challenges.</p><p><strong>Subjects and methods: </strong>This cross-sectional study used self-report questionnaires and objective measures, such as the dichotic digit test, gaps-in-noise test, and extended high-frequency audiometry. Fifty adults, including 25 younger adults (<30 years) and 25 older adults (≥50 years) with normal hearing thresholds, were included.</p><p><strong>Results: </strong>Older adults reported significantly more difficulties in spatial hearing, intelligibility in quiet and sound identification tasks compared to younger adults. Objective assessments revealed deficits in temporal resolution, binaural separation, and extended high-frequency thresholds in older individuals. Significant correlations were observed between extended high-frequency thresholds and auditory processing abilities. However, no correlation was found between extended high-frequency thresholds and self-reported listening difficulties.</p><p><strong>Conclusions: </strong>Older adults with clinically normal hearing reported more listening difficulties and performed worse in auditory processing tasks than younger adults. Extended high-frequency thresholds were correlated with auditory processing abilities but not with self-reported difficulties. These findings indicate a relationship between age-related auditory changes and perceived listening difficulties, emphasizing the need for a comprehensive auditory assessment in older adults.</p>","PeriodicalId":44886,"journal":{"name":"Journal of Audiology and Otology","volume":"29 3","pages":"205-213"},"PeriodicalIF":1.4000,"publicationDate":"2025-07-01","publicationTypes":"Journal Article","fieldsOfStudy":null,"isOpenAccess":false,"openAccessPdf":"https://www.ncbi.nlm.nih.gov/pmc/articles/PMC12313436/pdf/","citationCount":"0","resultStr":"{\"title\":\"Self-Perception of Hearing Abilities: The Role of Auditory Processing and Extended High-Frequency Hearing in Older Adults With Normal Hearing.\",\"authors\":\"Oscar M Cañete, Alejandro Luza-Barrios, Felipe Oyarzo-Núñez, Gabriela Paredes-Inostroza, Axel Mutis-Coroseo\",\"doi\":\"10.7874/jao.2025.00045\",\"DOIUrl\":null,\"url\":null,\"abstract\":\"<p><strong>Background and objectives: </strong>This study investigated the self-reported listening abilities of older adults with clinically normal hearing and examined the role of auditory processing abilities and extended high-frequency thresholds in perceived challenges.</p><p><strong>Subjects and methods: </strong>This cross-sectional study used self-report questionnaires and objective measures, such as the dichotic digit test, gaps-in-noise test, and extended high-frequency audiometry. Fifty adults, including 25 younger adults (<30 years) and 25 older adults (≥50 years) with normal hearing thresholds, were included.</p><p><strong>Results: </strong>Older adults reported significantly more difficulties in spatial hearing, intelligibility in quiet and sound identification tasks compared to younger adults. Objective assessments revealed deficits in temporal resolution, binaural separation, and extended high-frequency thresholds in older individuals. Significant correlations were observed between extended high-frequency thresholds and auditory processing abilities. However, no correlation was found between extended high-frequency thresholds and self-reported listening difficulties.</p><p><strong>Conclusions: </strong>Older adults with clinically normal hearing reported more listening difficulties and performed worse in auditory processing tasks than younger adults. Extended high-frequency thresholds were correlated with auditory processing abilities but not with self-reported difficulties. These findings indicate a relationship between age-related auditory changes and perceived listening difficulties, emphasizing the need for a comprehensive auditory assessment in older adults.</p>\",\"PeriodicalId\":44886,\"journal\":{\"name\":\"Journal of Audiology and Otology\",\"volume\":\"29 3\",\"pages\":\"205-213\"},\"PeriodicalIF\":1.4000,\"publicationDate\":\"2025-07-01\",\"publicationTypes\":\"Journal Article\",\"fieldsOfStudy\":null,\"isOpenAccess\":false,\"openAccessPdf\":\"https://www.ncbi.nlm.nih.gov/pmc/articles/PMC12313436/pdf/\",\"citationCount\":\"0\",\"resultStr\":null,\"platform\":\"Semanticscholar\",\"paperid\":null,\"PeriodicalName\":\"Journal of Audiology and Otology\",\"FirstCategoryId\":\"1085\",\"ListUrlMain\":\"https://doi.org/10.7874/jao.2025.00045\",\"RegionNum\":0,\"RegionCategory\":null,\"ArticlePicture\":[],\"TitleCN\":null,\"AbstractTextCN\":null,\"PMCID\":null,\"EPubDate\":\"2025/7/18 0:00:00\",\"PubModel\":\"Epub\",\"JCR\":\"Q3\",\"JCRName\":\"OTORHINOLARYNGOLOGY\",\"Score\":null,\"Total\":0}","platform":"Semanticscholar","paperid":null,"PeriodicalName":"Journal of Audiology and Otology","FirstCategoryId":"1085","ListUrlMain":"https://doi.org/10.7874/jao.2025.00045","RegionNum":0,"RegionCategory":null,"ArticlePicture":[],"TitleCN":null,"AbstractTextCN":null,"PMCID":null,"EPubDate":"2025/7/18 0:00:00","PubModel":"Epub","JCR":"Q3","JCRName":"OTORHINOLARYNGOLOGY","Score":null,"Total":0}
引用次数: 0

摘要

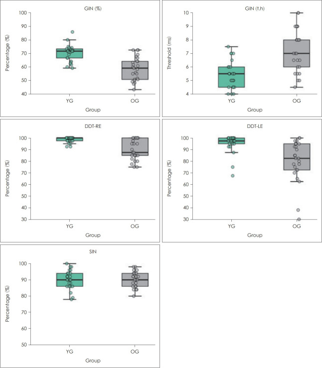
背景和目的:本研究调查了临床听力正常的老年人自我报告的听力能力,并研究了听觉加工能力和延长高频阈值在感知挑战中的作用。对象和方法:本横断面研究采用自我报告问卷和客观测量,如双指测试、噪声间隙测试和扩展高频听力学。结果:与年轻人相比,老年人在空间听力、安静和声音识别任务中的可理解性方面存在明显的困难。客观评估显示,老年人在时间分辨、双耳分离和延长的高频阈值方面存在缺陷。延长高频阈值与听觉加工能力之间存在显著相关性。然而,在延长高频阈值和自我报告的听力困难之间没有发现相关性。结论:与年轻人相比,临床上听力正常的老年人报告了更多的听力困难,并且在听觉处理任务中的表现更差。延长的高频阈值与听觉处理能力相关,但与自我报告的困难无关。这些发现表明了与年龄相关的听力变化与感知听力困难之间的关系,强调了对老年人进行全面听力评估的必要性。
本文章由计算机程序翻译,如有差异,请以英文原文为准。

Self-Perception of Hearing Abilities: The Role of Auditory Processing and Extended High-Frequency Hearing in Older Adults With Normal Hearing.

Self-Perception of Hearing Abilities: The Role of Auditory Processing and Extended High-Frequency Hearing in Older Adults With Normal Hearing.

Background and objectives: This study investigated the self-reported listening abilities of older adults with clinically normal hearing and examined the role of auditory processing abilities and extended high-frequency thresholds in perceived challenges.

Subjects and methods: This cross-sectional study used self-report questionnaires and objective measures, such as the dichotic digit test, gaps-in-noise test, and extended high-frequency audiometry. Fifty adults, including 25 younger adults (<30 years) and 25 older adults (≥50 years) with normal hearing thresholds, were included.

Results: Older adults reported significantly more difficulties in spatial hearing, intelligibility in quiet and sound identification tasks compared to younger adults. Objective assessments revealed deficits in temporal resolution, binaural separation, and extended high-frequency thresholds in older individuals. Significant correlations were observed between extended high-frequency thresholds and auditory processing abilities. However, no correlation was found between extended high-frequency thresholds and self-reported listening difficulties.

Conclusions: Older adults with clinically normal hearing reported more listening difficulties and performed worse in auditory processing tasks than younger adults. Extended high-frequency thresholds were correlated with auditory processing abilities but not with self-reported difficulties. These findings indicate a relationship between age-related auditory changes and perceived listening difficulties, emphasizing the need for a comprehensive auditory assessment in older adults.

求助全文
通过发布文献求助,成功后即可免费获取论文全文。 去求助
来源期刊
Journal of Audiology and Otology
Journal of Audiology and Otology OTORHINOLARYNGOLOGY-
CiteScore
1.90
自引率
9.10%
发文量
20
期刊介绍: Journal of Audiology and Otology (JAO) (formerly known as Korean Journal of Audiology) aims to publish the most advanced findings for all aspects of the auditory and vestibular system and diseases of the ear using state-of-the-art techniques and analyses. The journal covers recent trends related to the topics of audiology, otology, and neurotology conducted by professionals, with the goal of providing better possible treatment to people of all ages, from infants to the elderly, who suffer from auditory and/or vestibular disorders and thus, improving their quality of life. This journal encourages the submission of review papers about current professional issues, research papers presenting a scientific base and clinical application, and case papers with unique reports or clinical trials. We also invite letters to the editor and papers related to the manufacture and distribution of medical devices. This journal provides integrated views from otologists, audiologists, and other healthcare practitioners, offering readers high quality scientific and clinical information. This peer-reviewed and open access journal has been the official journal of the Korean Audiological Society since 1997 and of both the Korean Audiological Society and the Korean Otological Society since 2017. It is published in English four times a year in January, April, July, and October.
×
引用
GB/T 7714-2015
复制
MLA
复制
APA
复制
导出至
BibTeX EndNote RefMan NoteFirst NoteExpress
×
提示
您的信息不完整,为了账户安全,请先补充。
现在去补充
×
提示
您因"违规操作"
具体请查看互助需知
我知道了
×
提示
确定
请完成安全验证×
copy
已复制链接
快去分享给好友吧!
我知道了
右上角分享
点击右上角分享
0
联系我们:info@booksci.cn Book学术提供免费学术资源搜索服务,方便国内外学者检索中英文文献。致力于提供最便捷和优质的服务体验。 Copyright © 2023 布克学术 All rights reserved.
京ICP备2023020795号-1
ghs 京公网安备 11010802042870号
Book学术文献互助
Book学术文献互助群
群 号:604180095
Book学术官方微信