多发伤患者创伤后应激障碍的危险因素及其与焦虑、抑郁的关系

IF 3.4 4区 医学 Q1 PSYCHIATRY
Zhi-Hao Zhou, Jin Mao, Da Cao
{"title":"多发伤患者创伤后应激障碍的危险因素及其与焦虑、抑郁的关系","authors":"Zhi-Hao Zhou, Jin Mao, Da Cao","doi":"10.5498/wjp.v15.i7.105742","DOIUrl":null,"url":null,"abstract":"<p><strong>Background: </strong>Patients with multiple injuries endure not just physical trauma and suffering but are also at risk of psychological conditions such as posttraumatic stress disorder (PTSD), anxiety, and depression. The co-occurrence of PTSD in these patients may cause prolonged physical and mental health complications, thereby further increasing their healthcare expenses.</p><p><strong>Aim: </strong>To determine the association between the high-risk factors of PTSD and anxiety as well as depression among patients with multiple injuries.</p><p><strong>Methods: </strong>This study selected 110 patients with multiple injuries who were admitted to our hospital from November 2022 to November 2024. The number and percentage of patients developing PTSD were tallied. Univariate and multivariate analyses were conducted to investigate the high-risk factors of PTSD in these patients. Subsequently, the associations between these factors and the anxiety and depression levels of patients were analyzed.</p><p><strong>Results: </strong>Of the 110 patients, 33 suffered from PTSD, representing an incidence rate of 30.0%. The univariate analysis identified age, personality, Hamilton Anxiety Scale (HAMA), Hamilton Depression Scale (HAMD), economic status, negative life events, and smoking history to be significantly associated with PTSD in patients with multiple injuries. Further, the multivariate analysis revealed age, HAMA, HAMD, monthly income, and negative life events as prominent high-risk factors for PTSD in such patients. Regarding the relationships between these factors and HAMA and HAMD, age exhibited a significant positive correlation (<i>r</i> = 0.398, <i>P</i> < 0.001; <i>r</i> = 0.387, <i>P</i> < 0.001), monthly income showed a significant negative correlation (<i>r</i> = -0.437, <i>P</i> < 0.001; <i>r</i> = -0.319, <i>P</i> < 0.001), and negative life events demonstrated a significant positive correlation (<i>r</i> = 0.505, <i>P</i> < 0.001; <i>r</i> = 0.365, <i>P</i> < 0.001).</p><p><strong>Conclusion: </strong>These results indicate age, HAMA, HAMD, monthly income, negative life events, <i>etc.</i> as high-risk factors for PTSD in patients with multiple injuries, among which age, monthly income, and negative life events are closely associated with anxiety and depression.</p>","PeriodicalId":23896,"journal":{"name":"World Journal of Psychiatry","volume":"15 7","pages":"105742"},"PeriodicalIF":3.4000,"publicationDate":"2025-07-19","publicationTypes":"Journal Article","fieldsOfStudy":null,"isOpenAccess":false,"openAccessPdf":"https://www.ncbi.nlm.nih.gov/pmc/articles/PMC12305200/pdf/","citationCount":"0","resultStr":"{\"title\":\"Risk factors for posttraumatic stress disorder in patients with multiple injuries and its relationship with anxiety and depression.\",\"authors\":\"Zhi-Hao Zhou, Jin Mao, Da Cao\",\"doi\":\"10.5498/wjp.v15.i7.105742\",\"DOIUrl\":null,\"url\":null,\"abstract\":\"<p><strong>Background: </strong>Patients with multiple injuries endure not just physical trauma and suffering but are also at risk of psychological conditions such as posttraumatic stress disorder (PTSD), anxiety, and depression. The co-occurrence of PTSD in these patients may cause prolonged physical and mental health complications, thereby further increasing their healthcare expenses.</p><p><strong>Aim: </strong>To determine the association between the high-risk factors of PTSD and anxiety as well as depression among patients with multiple injuries.</p><p><strong>Methods: </strong>This study selected 110 patients with multiple injuries who were admitted to our hospital from November 2022 to November 2024. The number and percentage of patients developing PTSD were tallied. Univariate and multivariate analyses were conducted to investigate the high-risk factors of PTSD in these patients. Subsequently, the associations between these factors and the anxiety and depression levels of patients were analyzed.</p><p><strong>Results: </strong>Of the 110 patients, 33 suffered from PTSD, representing an incidence rate of 30.0%. The univariate analysis identified age, personality, Hamilton Anxiety Scale (HAMA), Hamilton Depression Scale (HAMD), economic status, negative life events, and smoking history to be significantly associated with PTSD in patients with multiple injuries. Further, the multivariate analysis revealed age, HAMA, HAMD, monthly income, and negative life events as prominent high-risk factors for PTSD in such patients. Regarding the relationships between these factors and HAMA and HAMD, age exhibited a significant positive correlation (<i>r</i> = 0.398, <i>P</i> < 0.001; <i>r</i> = 0.387, <i>P</i> < 0.001), monthly income showed a significant negative correlation (<i>r</i> = -0.437, <i>P</i> < 0.001; <i>r</i> = -0.319, <i>P</i> < 0.001), and negative life events demonstrated a significant positive correlation (<i>r</i> = 0.505, <i>P</i> < 0.001; <i>r</i> = 0.365, <i>P</i> < 0.001).</p><p><strong>Conclusion: </strong>These results indicate age, HAMA, HAMD, monthly income, negative life events, <i>etc.</i> as high-risk factors for PTSD in patients with multiple injuries, among which age, monthly income, and negative life events are closely associated with anxiety and depression.</p>\",\"PeriodicalId\":23896,\"journal\":{\"name\":\"World Journal of Psychiatry\",\"volume\":\"15 7\",\"pages\":\"105742\"},\"PeriodicalIF\":3.4000,\"publicationDate\":\"2025-07-19\",\"publicationTypes\":\"Journal Article\",\"fieldsOfStudy\":null,\"isOpenAccess\":false,\"openAccessPdf\":\"https://www.ncbi.nlm.nih.gov/pmc/articles/PMC12305200/pdf/\",\"citationCount\":\"0\",\"resultStr\":null,\"platform\":\"Semanticscholar\",\"paperid\":null,\"PeriodicalName\":\"World Journal of Psychiatry\",\"FirstCategoryId\":\"3\",\"ListUrlMain\":\"https://doi.org/10.5498/wjp.v15.i7.105742\",\"RegionNum\":4,\"RegionCategory\":\"医学\",\"ArticlePicture\":[],\"TitleCN\":null,\"AbstractTextCN\":null,\"PMCID\":null,\"EPubDate\":\"\",\"PubModel\":\"\",\"JCR\":\"Q1\",\"JCRName\":\"PSYCHIATRY\",\"Score\":null,\"Total\":0}","platform":"Semanticscholar","paperid":null,"PeriodicalName":"World Journal of Psychiatry","FirstCategoryId":"3","ListUrlMain":"https://doi.org/10.5498/wjp.v15.i7.105742","RegionNum":4,"RegionCategory":"医学","ArticlePicture":[],"TitleCN":null,"AbstractTextCN":null,"PMCID":null,"EPubDate":"","PubModel":"","JCR":"Q1","JCRName":"PSYCHIATRY","Score":null,"Total":0}
引用次数: 0

摘要

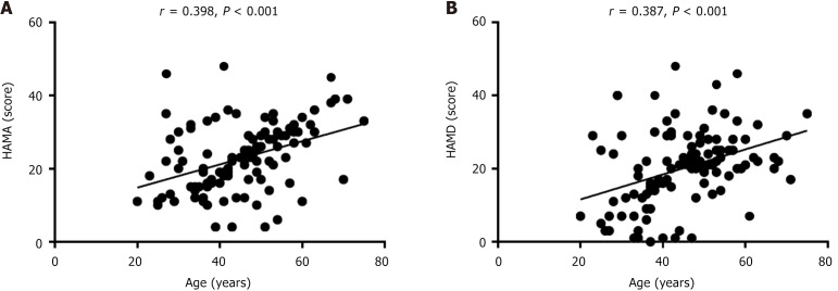
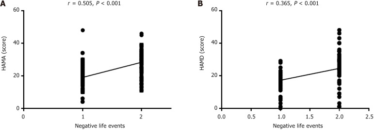
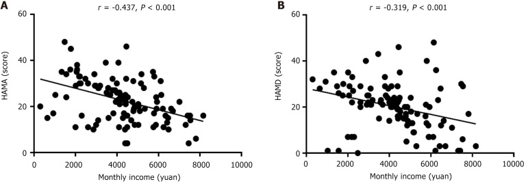
背景:多发伤患者不仅承受身体创伤和痛苦,而且还存在创伤后应激障碍(PTSD)、焦虑和抑郁等心理疾病的风险。这些患者合并PTSD可能导致长期的身心健康并发症,从而进一步增加其医疗费用。目的:探讨多发伤患者PTSD高危因素与焦虑、抑郁的关系。方法:选择2022年11月~ 2024年11月我院收治的110例多发伤患者。统计了患PTSD患者的数量和百分比。通过单因素和多因素分析探讨这些患者PTSD的高危因素。随后,分析了这些因素与患者焦虑和抑郁水平之间的关系。结果:110例患者中有33例出现PTSD,发生率为30.0%。单变量分析发现,年龄、性格、汉密尔顿焦虑量表(HAMA)、汉密尔顿抑郁量表(HAMD)、经济状况、消极生活事件和吸烟史与多发损伤患者的PTSD显著相关。此外,多变量分析显示,年龄、HAMA、HAMD、月收入和负面生活事件是这类患者PTSD的主要高危因素。这些因素与HAMA、HAMD的关系中,年龄呈显著正相关(r = 0.398, P < 0.001;r = 0.387, P < 0.001),月收入呈显著负相关(r = -0.437, P < 0.001;r = -0.319, P < 0.001),负性生活事件呈显著正相关(r = 0.505, P < 0.001;r = 0.365, P < 0.001)。结论:年龄、HAMA、HAMD、月收入、负性生活事件等是多发伤患者PTSD的高危因素,其中年龄、月收入、负性生活事件与焦虑、抑郁密切相关。
本文章由计算机程序翻译,如有差异,请以英文原文为准。

Risk factors for posttraumatic stress disorder in patients with multiple injuries and its relationship with anxiety and depression.

Risk factors for posttraumatic stress disorder in patients with multiple injuries and its relationship with anxiety and depression.

Risk factors for posttraumatic stress disorder in patients with multiple injuries and its relationship with anxiety and depression.

Risk factors for posttraumatic stress disorder in patients with multiple injuries and its relationship with anxiety and depression.

Background: Patients with multiple injuries endure not just physical trauma and suffering but are also at risk of psychological conditions such as posttraumatic stress disorder (PTSD), anxiety, and depression. The co-occurrence of PTSD in these patients may cause prolonged physical and mental health complications, thereby further increasing their healthcare expenses.

Aim: To determine the association between the high-risk factors of PTSD and anxiety as well as depression among patients with multiple injuries.

Methods: This study selected 110 patients with multiple injuries who were admitted to our hospital from November 2022 to November 2024. The number and percentage of patients developing PTSD were tallied. Univariate and multivariate analyses were conducted to investigate the high-risk factors of PTSD in these patients. Subsequently, the associations between these factors and the anxiety and depression levels of patients were analyzed.

Results: Of the 110 patients, 33 suffered from PTSD, representing an incidence rate of 30.0%. The univariate analysis identified age, personality, Hamilton Anxiety Scale (HAMA), Hamilton Depression Scale (HAMD), economic status, negative life events, and smoking history to be significantly associated with PTSD in patients with multiple injuries. Further, the multivariate analysis revealed age, HAMA, HAMD, monthly income, and negative life events as prominent high-risk factors for PTSD in such patients. Regarding the relationships between these factors and HAMA and HAMD, age exhibited a significant positive correlation (r = 0.398, P < 0.001; r = 0.387, P < 0.001), monthly income showed a significant negative correlation (r = -0.437, P < 0.001; r = -0.319, P < 0.001), and negative life events demonstrated a significant positive correlation (r = 0.505, P < 0.001; r = 0.365, P < 0.001).

Conclusion: These results indicate age, HAMA, HAMD, monthly income, negative life events, etc. as high-risk factors for PTSD in patients with multiple injuries, among which age, monthly income, and negative life events are closely associated with anxiety and depression.

求助全文
通过发布文献求助,成功后即可免费获取论文全文。 去求助
来源期刊
自引率
6.50%
发文量
110
期刊介绍: The World Journal of Psychiatry (WJP) is a high-quality, peer reviewed, open-access journal. The primary task of WJP is to rapidly publish high-quality original articles, reviews, editorials, and case reports in the field of psychiatry. In order to promote productive academic communication, the peer review process for the WJP is transparent; to this end, all published manuscripts are accompanied by the anonymized reviewers’ comments as well as the authors’ responses. The primary aims of the WJP are to improve diagnostic, therapeutic and preventive modalities and the skills of clinicians and to guide clinical practice in psychiatry.
×
引用
GB/T 7714-2015
复制
MLA
复制
APA
复制
导出至
BibTeX EndNote RefMan NoteFirst NoteExpress
×
提示
您的信息不完整,为了账户安全,请先补充。
现在去补充
×
提示
您因"违规操作"
具体请查看互助需知
我知道了
×
提示
确定
请完成安全验证×
copy
已复制链接
快去分享给好友吧!
我知道了
右上角分享
点击右上角分享
0
联系我们:info@booksci.cn Book学术提供免费学术资源搜索服务,方便国内外学者检索中英文文献。致力于提供最便捷和优质的服务体验。 Copyright © 2023 布克学术 All rights reserved.
京ICP备2023020795号-1
ghs 京公网安备 11010802042870号
Book学术文献互助
Book学术文献互助群
群 号:604180095
Book学术官方微信