内皮素-1、白细胞介素-6和c-kit在合并和不合并抑郁的高血压患者中的表达差异及相关性

IF 3.4 4区 医学 Q1 PSYCHIATRY
Wei-Yi Wang, Yi Wu, Jing-Qi Zhang, Bin Li
{"title":"内皮素-1、白细胞介素-6和c-kit在合并和不合并抑郁的高血压患者中的表达差异及相关性","authors":"Wei-Yi Wang, Yi Wu, Jing-Qi Zhang, Bin Li","doi":"10.5498/wjp.v15.i7.106733","DOIUrl":null,"url":null,"abstract":"<p><strong>Background: </strong>Hypertension is a chronic cardiovascular disease characterized by persistently elevated arterial blood pressure. It is not only a significant risk factor for cardiovascular and cerebrovascular diseases (such as myocardial infarction and stroke) but also closely related to multiple organ damages (such as kidney disease and retinopathy), imposing a heavy health and economic burden on individuals and society.</p><p><strong>Aim: </strong>To investigate the expression differences and relationships of endothelin-1 (ET-1), interleukin-6 (IL-6), stem cell factor (SCF), and its receptor (c-kit) in hypertensive patients with or without depression.</p><p><strong>Methods: </strong>A retrospective analysis was conducted on the clinical data of 163 hypertensive patients admitted to our hospital from March 2022 to January 2024. Based on the presence of depression, patients were divided into Group A (<i>n</i> = 77, with depression) and Group B (<i>n</i> = 86, without depression). Serum levels of ET-1 and IL-6 were measured using radioimmunoassay, while serum levels of SCF and c-kit were measured using ELISA. The differences in ET-1, IL-6, SCF, and c-kit levels between Groups A and B were compared. Additionally, the differences in these biomarkers among patients with varying degrees of depression in Group A were analyzed. Pearson correlation analysis was used to examine the relationship between ET-1, IL-6, SCF, c-kit levels, and Hamilton depression rating scale (HAMD) scores. Multivariate logistic regression analysis was performed to identify factors influencing hypertension with depression. The diagnostic efficacy of individual and combined biomarkers was analyzed using receiver operating characteristic (ROC) curves. Comparative statistical analysis of the area under the curve (AUC) values was performed using DeLong's test to assess the superiority of combined biomarker detection.</p><p><strong>Results: </strong>The levels of ET-1 and IL-6 in Group A were significantly higher than those in Group B, while the levels of SCF and c-kit were significantly lower in Group A compared to Group B (<i>P</i> < 0.05). In the severe depression subgroup, ET-1 and IL-6 levels were higher than those in the mild-to-moderate depression subgroup, while SCF and c-kit levels were lower (<i>P</i> < 0.05). Pearson correlation analysis showed that ET-1 and IL-6 levels were positively correlated with HAMD scores (<i>r</i> = 0.442, 0.463, <i>P</i> < 0.05), while SCF and c-kit levels were negatively correlated with HAMD scores (<i>r</i> = -0.429, -0.394, <i>P</i> < 0.05). Multivariate logistic regression analysis revealed that high ET-1, high IL-6, low SCF, and low c-kit were independent influencing factors for hypertension with depression (<i>P</i> < 0.05). ROC analysis revealed AUCs of 0.746 (ET-1), 0.801 (IL-6), 0.732 (SCF), 0.779 (c-kit), and 0.884 (combination). The combined diagnosis demonstrated significantly higher AUC than individual markers (DeLong's test, <i>P</i> < 0.01), with superior sensitivity (90.24%) and specificity (85.37%).</p><p><strong>Conclusion: </strong>Compared to patients with hypertension alone, patients with hypertension and depression exhibited higher serum levels of ET-1 and IL-6 and lower levels of SCF and c-kit. High ET-1, high IL-6, low SCF, and low c-kit were independent influencing factors for hypertension with depression. The combination of ET-1, IL-6, SCF, and c-kit demonstrated significant diagnostic value for hypertension with depression.</p>","PeriodicalId":23896,"journal":{"name":"World Journal of Psychiatry","volume":"15 7","pages":"106733"},"PeriodicalIF":3.4000,"publicationDate":"2025-07-19","publicationTypes":"Journal Article","fieldsOfStudy":null,"isOpenAccess":false,"openAccessPdf":"https://www.ncbi.nlm.nih.gov/pmc/articles/PMC12305133/pdf/","citationCount":"0","resultStr":"{\"title\":\"Expression differences and relationships of endothelin-1, interleukin-6 and c-kit in hypertensive patients with and without depression.\",\"authors\":\"Wei-Yi Wang, Yi Wu, Jing-Qi Zhang, Bin Li\",\"doi\":\"10.5498/wjp.v15.i7.106733\",\"DOIUrl\":null,\"url\":null,\"abstract\":\"<p><strong>Background: </strong>Hypertension is a chronic cardiovascular disease characterized by persistently elevated arterial blood pressure. It is not only a significant risk factor for cardiovascular and cerebrovascular diseases (such as myocardial infarction and stroke) but also closely related to multiple organ damages (such as kidney disease and retinopathy), imposing a heavy health and economic burden on individuals and society.</p><p><strong>Aim: </strong>To investigate the expression differences and relationships of endothelin-1 (ET-1), interleukin-6 (IL-6), stem cell factor (SCF), and its receptor (c-kit) in hypertensive patients with or without depression.</p><p><strong>Methods: </strong>A retrospective analysis was conducted on the clinical data of 163 hypertensive patients admitted to our hospital from March 2022 to January 2024. Based on the presence of depression, patients were divided into Group A (<i>n</i> = 77, with depression) and Group B (<i>n</i> = 86, without depression). Serum levels of ET-1 and IL-6 were measured using radioimmunoassay, while serum levels of SCF and c-kit were measured using ELISA. The differences in ET-1, IL-6, SCF, and c-kit levels between Groups A and B were compared. Additionally, the differences in these biomarkers among patients with varying degrees of depression in Group A were analyzed. Pearson correlation analysis was used to examine the relationship between ET-1, IL-6, SCF, c-kit levels, and Hamilton depression rating scale (HAMD) scores. Multivariate logistic regression analysis was performed to identify factors influencing hypertension with depression. The diagnostic efficacy of individual and combined biomarkers was analyzed using receiver operating characteristic (ROC) curves. Comparative statistical analysis of the area under the curve (AUC) values was performed using DeLong's test to assess the superiority of combined biomarker detection.</p><p><strong>Results: </strong>The levels of ET-1 and IL-6 in Group A were significantly higher than those in Group B, while the levels of SCF and c-kit were significantly lower in Group A compared to Group B (<i>P</i> < 0.05). In the severe depression subgroup, ET-1 and IL-6 levels were higher than those in the mild-to-moderate depression subgroup, while SCF and c-kit levels were lower (<i>P</i> < 0.05). Pearson correlation analysis showed that ET-1 and IL-6 levels were positively correlated with HAMD scores (<i>r</i> = 0.442, 0.463, <i>P</i> < 0.05), while SCF and c-kit levels were negatively correlated with HAMD scores (<i>r</i> = -0.429, -0.394, <i>P</i> < 0.05). Multivariate logistic regression analysis revealed that high ET-1, high IL-6, low SCF, and low c-kit were independent influencing factors for hypertension with depression (<i>P</i> < 0.05). ROC analysis revealed AUCs of 0.746 (ET-1), 0.801 (IL-6), 0.732 (SCF), 0.779 (c-kit), and 0.884 (combination). The combined diagnosis demonstrated significantly higher AUC than individual markers (DeLong's test, <i>P</i> < 0.01), with superior sensitivity (90.24%) and specificity (85.37%).</p><p><strong>Conclusion: </strong>Compared to patients with hypertension alone, patients with hypertension and depression exhibited higher serum levels of ET-1 and IL-6 and lower levels of SCF and c-kit. High ET-1, high IL-6, low SCF, and low c-kit were independent influencing factors for hypertension with depression. The combination of ET-1, IL-6, SCF, and c-kit demonstrated significant diagnostic value for hypertension with depression.</p>\",\"PeriodicalId\":23896,\"journal\":{\"name\":\"World Journal of Psychiatry\",\"volume\":\"15 7\",\"pages\":\"106733\"},\"PeriodicalIF\":3.4000,\"publicationDate\":\"2025-07-19\",\"publicationTypes\":\"Journal Article\",\"fieldsOfStudy\":null,\"isOpenAccess\":false,\"openAccessPdf\":\"https://www.ncbi.nlm.nih.gov/pmc/articles/PMC12305133/pdf/\",\"citationCount\":\"0\",\"resultStr\":null,\"platform\":\"Semanticscholar\",\"paperid\":null,\"PeriodicalName\":\"World Journal of Psychiatry\",\"FirstCategoryId\":\"3\",\"ListUrlMain\":\"https://doi.org/10.5498/wjp.v15.i7.106733\",\"RegionNum\":4,\"RegionCategory\":\"医学\",\"ArticlePicture\":[],\"TitleCN\":null,\"AbstractTextCN\":null,\"PMCID\":null,\"EPubDate\":\"\",\"PubModel\":\"\",\"JCR\":\"Q1\",\"JCRName\":\"PSYCHIATRY\",\"Score\":null,\"Total\":0}","platform":"Semanticscholar","paperid":null,"PeriodicalName":"World Journal of Psychiatry","FirstCategoryId":"3","ListUrlMain":"https://doi.org/10.5498/wjp.v15.i7.106733","RegionNum":4,"RegionCategory":"医学","ArticlePicture":[],"TitleCN":null,"AbstractTextCN":null,"PMCID":null,"EPubDate":"","PubModel":"","JCR":"Q1","JCRName":"PSYCHIATRY","Score":null,"Total":0}
引用次数: 0

摘要

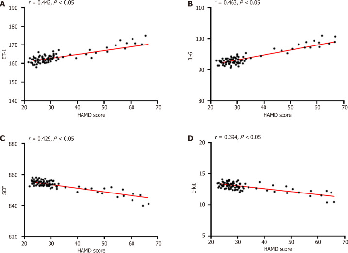
背景:高血压是一种以动脉血压持续升高为特征的慢性心血管疾病。它不仅是心脑血管疾病(如心肌梗死和中风)的重要危险因素,而且与多器官损害(如肾脏疾病和视网膜病变)密切相关,给个人和社会造成沉重的健康和经济负担。目的:探讨内皮素-1 (ET-1)、白细胞介素-6 (IL-6)、干细胞因子(SCF)及其受体(c-kit)在合并或不合并抑郁的高血压患者中的表达差异及其相互关系。方法:对我院2022年3月至2024年1月收治的163例高血压患者的临床资料进行回顾性分析。根据有无抑郁分为A组(77例,有抑郁)和B组(86例,无抑郁)。采用放射免疫法测定血清ET-1和IL-6水平,ELISA法测定血清SCF和c-kit水平。比较A组与B组ET-1、IL-6、SCF、c-kit水平的差异。此外,我们还分析了A组不同抑郁程度患者中这些生物标志物的差异。采用Pearson相关分析检验ET-1、IL-6、SCF、c-kit水平与汉密尔顿抑郁评定量表(HAMD)评分之间的关系。采用多因素logistic回归分析确定影响高血压合并抑郁的因素。采用受试者工作特征(ROC)曲线分析个体和联合生物标志物的诊断效果。采用DeLong试验对曲线下面积(AUC)值进行对比统计分析,评价联合生物标志物检测的优越性。结果:A组ET-1、IL-6水平显著高于B组,SCF、c-kit水平显著低于B组(P < 0.05)。重度抑郁亚组ET-1、IL-6水平高于轻中度抑郁亚组,SCF、c-kit水平低于轻中度抑郁亚组(P < 0.05)。Pearson相关分析显示,ET-1、IL-6水平与HAMD评分呈正相关(r = 0.442、0.463,P < 0.05), SCF、c-kit水平与HAMD评分呈负相关(r = -0.429、-0.394,P < 0.05)。多因素logistic回归分析显示,高ET-1、高IL-6、低SCF、低c-kit是高血压合并抑郁的独立影响因素(P < 0.05)。ROC分析显示auc分别为0.746 (ET-1)、0.801 (IL-6)、0.732 (SCF)、0.779 (c-kit)和0.884(联合)。联合诊断AUC明显高于单项标志物(DeLong’s test, P < 0.01),且敏感性(90.24%)和特异性(85.37%)均优于单项标志物。结论:与单纯高血压患者相比,高血压合并抑郁患者血清ET-1和IL-6水平较高,SCF和c-kit水平较低。高ET-1、高IL-6、低SCF和低c-kit是高血压合并抑郁的独立影响因素。ET-1、IL-6、SCF、c-kit联合检测对高血压合并抑郁有重要的诊断价值。
本文章由计算机程序翻译,如有差异,请以英文原文为准。

Expression differences and relationships of endothelin-1, interleukin-6 and c-kit in hypertensive patients with and without depression.

Expression differences and relationships of endothelin-1, interleukin-6 and c-kit in hypertensive patients with and without depression.

Expression differences and relationships of endothelin-1, interleukin-6 and c-kit in hypertensive patients with and without depression.

Expression differences and relationships of endothelin-1, interleukin-6 and c-kit in hypertensive patients with and without depression.

Background: Hypertension is a chronic cardiovascular disease characterized by persistently elevated arterial blood pressure. It is not only a significant risk factor for cardiovascular and cerebrovascular diseases (such as myocardial infarction and stroke) but also closely related to multiple organ damages (such as kidney disease and retinopathy), imposing a heavy health and economic burden on individuals and society.

Aim: To investigate the expression differences and relationships of endothelin-1 (ET-1), interleukin-6 (IL-6), stem cell factor (SCF), and its receptor (c-kit) in hypertensive patients with or without depression.

Methods: A retrospective analysis was conducted on the clinical data of 163 hypertensive patients admitted to our hospital from March 2022 to January 2024. Based on the presence of depression, patients were divided into Group A (n = 77, with depression) and Group B (n = 86, without depression). Serum levels of ET-1 and IL-6 were measured using radioimmunoassay, while serum levels of SCF and c-kit were measured using ELISA. The differences in ET-1, IL-6, SCF, and c-kit levels between Groups A and B were compared. Additionally, the differences in these biomarkers among patients with varying degrees of depression in Group A were analyzed. Pearson correlation analysis was used to examine the relationship between ET-1, IL-6, SCF, c-kit levels, and Hamilton depression rating scale (HAMD) scores. Multivariate logistic regression analysis was performed to identify factors influencing hypertension with depression. The diagnostic efficacy of individual and combined biomarkers was analyzed using receiver operating characteristic (ROC) curves. Comparative statistical analysis of the area under the curve (AUC) values was performed using DeLong's test to assess the superiority of combined biomarker detection.

Results: The levels of ET-1 and IL-6 in Group A were significantly higher than those in Group B, while the levels of SCF and c-kit were significantly lower in Group A compared to Group B (P < 0.05). In the severe depression subgroup, ET-1 and IL-6 levels were higher than those in the mild-to-moderate depression subgroup, while SCF and c-kit levels were lower (P < 0.05). Pearson correlation analysis showed that ET-1 and IL-6 levels were positively correlated with HAMD scores (r = 0.442, 0.463, P < 0.05), while SCF and c-kit levels were negatively correlated with HAMD scores (r = -0.429, -0.394, P < 0.05). Multivariate logistic regression analysis revealed that high ET-1, high IL-6, low SCF, and low c-kit were independent influencing factors for hypertension with depression (P < 0.05). ROC analysis revealed AUCs of 0.746 (ET-1), 0.801 (IL-6), 0.732 (SCF), 0.779 (c-kit), and 0.884 (combination). The combined diagnosis demonstrated significantly higher AUC than individual markers (DeLong's test, P < 0.01), with superior sensitivity (90.24%) and specificity (85.37%).

Conclusion: Compared to patients with hypertension alone, patients with hypertension and depression exhibited higher serum levels of ET-1 and IL-6 and lower levels of SCF and c-kit. High ET-1, high IL-6, low SCF, and low c-kit were independent influencing factors for hypertension with depression. The combination of ET-1, IL-6, SCF, and c-kit demonstrated significant diagnostic value for hypertension with depression.

求助全文
通过发布文献求助,成功后即可免费获取论文全文。 去求助
来源期刊
自引率
6.50%
发文量
110
期刊介绍: The World Journal of Psychiatry (WJP) is a high-quality, peer reviewed, open-access journal. The primary task of WJP is to rapidly publish high-quality original articles, reviews, editorials, and case reports in the field of psychiatry. In order to promote productive academic communication, the peer review process for the WJP is transparent; to this end, all published manuscripts are accompanied by the anonymized reviewers’ comments as well as the authors’ responses. The primary aims of the WJP are to improve diagnostic, therapeutic and preventive modalities and the skills of clinicians and to guide clinical practice in psychiatry.
×
引用
GB/T 7714-2015
复制
MLA
复制
APA
复制
导出至
BibTeX EndNote RefMan NoteFirst NoteExpress
×
提示
您的信息不完整,为了账户安全,请先补充。
现在去补充
×
提示
您因"违规操作"
具体请查看互助需知
我知道了
×
提示
确定
请完成安全验证×
copy
已复制链接
快去分享给好友吧!
我知道了
右上角分享
点击右上角分享
0
联系我们:info@booksci.cn Book学术提供免费学术资源搜索服务,方便国内外学者检索中英文文献。致力于提供最便捷和优质的服务体验。 Copyright © 2023 布克学术 All rights reserved.
京ICP备2023020795号-1
ghs 京公网安备 11010802042870号
Book学术文献互助
Book学术文献互助群
群 号:604180095
Book学术官方微信