抗磷脂抗体与氧化应激生物标志物水平升高有关。

IF 2.2 4区 医学 Q2 HEMATOLOGY
Weronika Nowak, Joanna Kołodziejczyk-Czepas, Oleksandra Liudvytska, Marzena Tybura-Sawicka, Emilia Krzemińska, Anna Puła, Jacek Treliński
{"title":"抗磷脂抗体与氧化应激生物标志物水平升高有关。","authors":"Weronika Nowak, Joanna Kołodziejczyk-Czepas, Oleksandra Liudvytska, Marzena Tybura-Sawicka, Emilia Krzemińska, Anna Puła, Jacek Treliński","doi":"10.1186/s12959-025-00762-4","DOIUrl":null,"url":null,"abstract":"<p><strong>Background: </strong>Antiphospholipid antibodies (aPLs) are detected in 1-5% of the general population. They include lupus anticoagulant (LAC), anticardiolipin antibodies (aCL) and anti-β2-glycoprotein I antibodies (aβ2GPI). APL increases thrombotic risk, but the pathogenesis of this effect is not fully understood.</p><p><strong>Objectives: </strong>The aim of this study was to evaluate oxidative and nitrosative stress biomarkers and their relation to certain rotational thromboelastometry (ROTEM) parameters as a risk factor for thrombosis in 32 patients in whom the presence of antiphospholipid antibodies was confirmed, but who had never experienced a thrombosis event (Group 1) in order to rule out any impact of thrombosis on stress parameters. The parameters were also assessed in a group of 23 healthy volunteers (Group 2).</p><p><strong>Methods: </strong>To assess FRAP and thiol groups we used colorimetric method. The level of protein carbonylation, total pool of 3-nitrotyrosine in plasma proteins, 3-nitrotyrosine-containing fibrinogen as well as the acetyl-lysine-containing fibrinogen were estimated by ELISA. Lipid hydroperoxides were detected using the ferric-xylenol orange hydroperoxide assay. Additionally four ROTEM tests, i.e. INTEM, EXTEM, FIBTEM and APTEM, were performed. In statistical analysis the Mann-Whitney U-test, Student's t-test and logistic regression were used.</p><p><strong>Results: </strong>TBARS (p = 0,002), LOOH (p = 0,035) and carbonyl groups (p = 0,018) were markedly higher in Group 1 compared to Group 2. Also the acetyl-lysine-containing fibrinogen were significantly higher in Group 1 (p = 0,0028). Other biomarkers did not differ markedly between the studied groups. The obtained results of ROTEM, were not consistent and did not clearly indicate hypercoagulable state.</p><p><strong>Conclusion: </strong>Study confirms increased levels of oxidative biomarkers in patients in whom the presence of antiphospholipid antibodies was confirmed, but who had never experienced a thrombosis event. Oxidative stress may an important role in the pathogenesis of APS and is not secondary to thrombosis.</p>","PeriodicalId":22982,"journal":{"name":"Thrombosis Journal","volume":"23 1","pages":"77"},"PeriodicalIF":2.2000,"publicationDate":"2025-07-30","publicationTypes":"Journal Article","fieldsOfStudy":null,"isOpenAccess":false,"openAccessPdf":"https://www.ncbi.nlm.nih.gov/pmc/articles/PMC12309060/pdf/","citationCount":"0","resultStr":"{\"title\":\"Antiphospholipid antibodies are associated with increased levels of selected oxidative stress biomarkers.\",\"authors\":\"Weronika Nowak, Joanna Kołodziejczyk-Czepas, Oleksandra Liudvytska, Marzena Tybura-Sawicka, Emilia Krzemińska, Anna Puła, Jacek Treliński\",\"doi\":\"10.1186/s12959-025-00762-4\",\"DOIUrl\":null,\"url\":null,\"abstract\":\"<p><strong>Background: </strong>Antiphospholipid antibodies (aPLs) are detected in 1-5% of the general population. They include lupus anticoagulant (LAC), anticardiolipin antibodies (aCL) and anti-β2-glycoprotein I antibodies (aβ2GPI). APL increases thrombotic risk, but the pathogenesis of this effect is not fully understood.</p><p><strong>Objectives: </strong>The aim of this study was to evaluate oxidative and nitrosative stress biomarkers and their relation to certain rotational thromboelastometry (ROTEM) parameters as a risk factor for thrombosis in 32 patients in whom the presence of antiphospholipid antibodies was confirmed, but who had never experienced a thrombosis event (Group 1) in order to rule out any impact of thrombosis on stress parameters. The parameters were also assessed in a group of 23 healthy volunteers (Group 2).</p><p><strong>Methods: </strong>To assess FRAP and thiol groups we used colorimetric method. The level of protein carbonylation, total pool of 3-nitrotyrosine in plasma proteins, 3-nitrotyrosine-containing fibrinogen as well as the acetyl-lysine-containing fibrinogen were estimated by ELISA. Lipid hydroperoxides were detected using the ferric-xylenol orange hydroperoxide assay. Additionally four ROTEM tests, i.e. INTEM, EXTEM, FIBTEM and APTEM, were performed. In statistical analysis the Mann-Whitney U-test, Student's t-test and logistic regression were used.</p><p><strong>Results: </strong>TBARS (p = 0,002), LOOH (p = 0,035) and carbonyl groups (p = 0,018) were markedly higher in Group 1 compared to Group 2. Also the acetyl-lysine-containing fibrinogen were significantly higher in Group 1 (p = 0,0028). Other biomarkers did not differ markedly between the studied groups. The obtained results of ROTEM, were not consistent and did not clearly indicate hypercoagulable state.</p><p><strong>Conclusion: </strong>Study confirms increased levels of oxidative biomarkers in patients in whom the presence of antiphospholipid antibodies was confirmed, but who had never experienced a thrombosis event. Oxidative stress may an important role in the pathogenesis of APS and is not secondary to thrombosis.</p>\",\"PeriodicalId\":22982,\"journal\":{\"name\":\"Thrombosis Journal\",\"volume\":\"23 1\",\"pages\":\"77\"},\"PeriodicalIF\":2.2000,\"publicationDate\":\"2025-07-30\",\"publicationTypes\":\"Journal Article\",\"fieldsOfStudy\":null,\"isOpenAccess\":false,\"openAccessPdf\":\"https://www.ncbi.nlm.nih.gov/pmc/articles/PMC12309060/pdf/\",\"citationCount\":\"0\",\"resultStr\":null,\"platform\":\"Semanticscholar\",\"paperid\":null,\"PeriodicalName\":\"Thrombosis Journal\",\"FirstCategoryId\":\"3\",\"ListUrlMain\":\"https://doi.org/10.1186/s12959-025-00762-4\",\"RegionNum\":4,\"RegionCategory\":\"医学\",\"ArticlePicture\":[],\"TitleCN\":null,\"AbstractTextCN\":null,\"PMCID\":null,\"EPubDate\":\"\",\"PubModel\":\"\",\"JCR\":\"Q2\",\"JCRName\":\"HEMATOLOGY\",\"Score\":null,\"Total\":0}","platform":"Semanticscholar","paperid":null,"PeriodicalName":"Thrombosis Journal","FirstCategoryId":"3","ListUrlMain":"https://doi.org/10.1186/s12959-025-00762-4","RegionNum":4,"RegionCategory":"医学","ArticlePicture":[],"TitleCN":null,"AbstractTextCN":null,"PMCID":null,"EPubDate":"","PubModel":"","JCR":"Q2","JCRName":"HEMATOLOGY","Score":null,"Total":0}
引用次数: 0

摘要

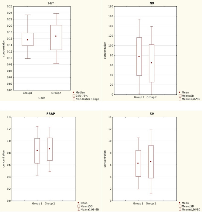
背景:在1-5%的普通人群中检测到抗磷脂抗体(apl)。它们包括狼疮抗凝血剂(LAC)、抗心磷脂抗体(aCL)和抗β2-糖蛋白I抗体(a -β 2gpi)。APL增加血栓形成风险,但其发病机制尚不完全清楚。目的:本研究的目的是评估氧化应激和亚硝化应激生物标志物及其与某些旋转血栓弹性测量(ROTEM)参数作为血栓形成的危险因素的关系,在32例确认存在抗磷脂抗体的患者中,但从未经历过血栓事件(1组),以排除血栓形成对应激参数的任何影响。对23名健康志愿者(第二组)也进行了参数评估。方法:采用比色法对FRAP和硫醇组进行评价。ELISA法测定蛋白羰基化水平、血浆蛋白中3-硝基酪氨酸总库、含3-硝基酪氨酸纤维蛋白原和含乙酰赖氨酸纤维蛋白原。脂质氢过氧化物采用铁-二甲酚橙氢过氧化物法检测。此外,还进行了四项ROTEM测试,即INTEM、EXTEM、fitem和APTEM。统计分析采用Mann-Whitney u检验、Student’st检验和logistic回归。结果:1组TBARS (p = 0.002)、LOOH (p = 0.035)、羰基组(p = 0.018)明显高于2组。含乙酰赖氨酸的纤维蛋白原在1组显著升高(p = 0.0028)。其他生物标志物在研究组之间没有显著差异。所得的ROTEM结果不一致,也没有明确显示高凝状态。结论:研究证实,抗磷脂抗体存在的患者中氧化生物标志物水平升高,但从未经历过血栓事件。氧化应激可能在APS的发病机制中起重要作用,而不是继发于血栓形成。
本文章由计算机程序翻译,如有差异,请以英文原文为准。

Antiphospholipid antibodies are associated with increased levels of selected oxidative stress biomarkers.

Antiphospholipid antibodies are associated with increased levels of selected oxidative stress biomarkers.

Antiphospholipid antibodies are associated with increased levels of selected oxidative stress biomarkers.

Antiphospholipid antibodies are associated with increased levels of selected oxidative stress biomarkers.

Background: Antiphospholipid antibodies (aPLs) are detected in 1-5% of the general population. They include lupus anticoagulant (LAC), anticardiolipin antibodies (aCL) and anti-β2-glycoprotein I antibodies (aβ2GPI). APL increases thrombotic risk, but the pathogenesis of this effect is not fully understood.

Objectives: The aim of this study was to evaluate oxidative and nitrosative stress biomarkers and their relation to certain rotational thromboelastometry (ROTEM) parameters as a risk factor for thrombosis in 32 patients in whom the presence of antiphospholipid antibodies was confirmed, but who had never experienced a thrombosis event (Group 1) in order to rule out any impact of thrombosis on stress parameters. The parameters were also assessed in a group of 23 healthy volunteers (Group 2).

Methods: To assess FRAP and thiol groups we used colorimetric method. The level of protein carbonylation, total pool of 3-nitrotyrosine in plasma proteins, 3-nitrotyrosine-containing fibrinogen as well as the acetyl-lysine-containing fibrinogen were estimated by ELISA. Lipid hydroperoxides were detected using the ferric-xylenol orange hydroperoxide assay. Additionally four ROTEM tests, i.e. INTEM, EXTEM, FIBTEM and APTEM, were performed. In statistical analysis the Mann-Whitney U-test, Student's t-test and logistic regression were used.

Results: TBARS (p = 0,002), LOOH (p = 0,035) and carbonyl groups (p = 0,018) were markedly higher in Group 1 compared to Group 2. Also the acetyl-lysine-containing fibrinogen were significantly higher in Group 1 (p = 0,0028). Other biomarkers did not differ markedly between the studied groups. The obtained results of ROTEM, were not consistent and did not clearly indicate hypercoagulable state.

Conclusion: Study confirms increased levels of oxidative biomarkers in patients in whom the presence of antiphospholipid antibodies was confirmed, but who had never experienced a thrombosis event. Oxidative stress may an important role in the pathogenesis of APS and is not secondary to thrombosis.

求助全文
通过发布文献求助,成功后即可免费获取论文全文。 去求助
来源期刊
Thrombosis Journal
Thrombosis Journal Medicine-Hematology
CiteScore
3.80
自引率
3.20%
发文量
69
审稿时长
16 weeks
期刊介绍: Thrombosis Journal is an open-access journal that publishes original articles on aspects of clinical and basic research, new methodology, case reports and reviews in the areas of thrombosis. Topics of particular interest include the diagnosis of arterial and venous thrombosis, new antithrombotic treatments, new developments in the understanding, diagnosis and treatments of atherosclerotic vessel disease, relations between haemostasis and vascular disease, hypertension, diabetes, immunology and obesity.
×
引用
GB/T 7714-2015
复制
MLA
复制
APA
复制
导出至
BibTeX EndNote RefMan NoteFirst NoteExpress
×
提示
您的信息不完整,为了账户安全,请先补充。
现在去补充
×
提示
您因"违规操作"
具体请查看互助需知
我知道了
×
提示
确定
请完成安全验证×
copy
已复制链接
快去分享给好友吧!
我知道了
右上角分享
点击右上角分享
0
联系我们:info@booksci.cn Book学术提供免费学术资源搜索服务,方便国内外学者检索中英文文献。致力于提供最便捷和优质的服务体验。 Copyright © 2023 布克学术 All rights reserved.
京ICP备2023020795号-1
ghs 京公网安备 11010802042870号
Book学术文献互助
Book学术文献互助群
群 号:604180095
Book学术官方微信