韩国小叶生地衣的分布和遗传多样性。

IF 2 4区 生物学 Q2 AGRONOMY
Mycobiology Pub Date : 2025-06-19 eCollection Date: 2025-01-01 DOI:10.1080/12298093.2025.2518793
Seung-Yoon Oh, Jung-Jae Woo, Jae-Seoun Hur
{"title":"韩国小叶生地衣的分布和遗传多样性。","authors":"Seung-Yoon Oh, Jung-Jae Woo, Jae-Seoun Hur","doi":"10.1080/12298093.2025.2518793","DOIUrl":null,"url":null,"abstract":"<p><p><i>Foliicolous lichens</i>, such as <i>Strigula depress</i>a, are increasingly recognized as potential indicators of subtropical ecosystem dynamics due to their sensitivity to climatic conditions, with climate change likely to expand their distribution in the South Korea. Despite their ecological importance, studies on the distribution and genetic structure of <i>S. depressa</i> in South Korea remain limited. This study aims to examine this knowledge gap by analyzing the ecological preferences, genetic diversity, and distribution change of <i>S. depressa</i> under future climate scenarios. Field surveys were conducted across 96 sites, including 66 sites on Jeju Island and 30 islands, revealing a highly restricted distribution with the species present at only 12 sites in four islands. Analysis of bioclimate variables indicated that warmer temperatures and lower temperature seasonality significantly influence the distribution of <i>S. depressa</i>. Population genetic analyses, based on ITS sequences from 45 samples, identified 17 haplotypes and revealed moderate regional differentiation, with significant isolation-by-distance but no isolation-by-environment effect. Species distribution modeling predicts potential range expansion under future climate scenarios. These findings highlight the ecological sensitivity of <i>S. depressa</i> to temperature gradients and its potential as a bioindicator for subtropical ecosystem shifts, emphasizing the need to conserve genetically diverse populations to enhance resilience against climate change.</p>","PeriodicalId":18825,"journal":{"name":"Mycobiology","volume":"53 4","pages":"412-420"},"PeriodicalIF":2.0000,"publicationDate":"2025-06-19","publicationTypes":"Journal Article","fieldsOfStudy":null,"isOpenAccess":false,"openAccessPdf":"https://www.ncbi.nlm.nih.gov/pmc/articles/PMC12308876/pdf/","citationCount":"0","resultStr":"{\"title\":\"Distribution and Genetic Diversity of the Korean Foliicolous Lichen, <i>Strigula depressa</i>.\",\"authors\":\"Seung-Yoon Oh, Jung-Jae Woo, Jae-Seoun Hur\",\"doi\":\"10.1080/12298093.2025.2518793\",\"DOIUrl\":null,\"url\":null,\"abstract\":\"<p><p><i>Foliicolous lichens</i>, such as <i>Strigula depress</i>a, are increasingly recognized as potential indicators of subtropical ecosystem dynamics due to their sensitivity to climatic conditions, with climate change likely to expand their distribution in the South Korea. Despite their ecological importance, studies on the distribution and genetic structure of <i>S. depressa</i> in South Korea remain limited. This study aims to examine this knowledge gap by analyzing the ecological preferences, genetic diversity, and distribution change of <i>S. depressa</i> under future climate scenarios. Field surveys were conducted across 96 sites, including 66 sites on Jeju Island and 30 islands, revealing a highly restricted distribution with the species present at only 12 sites in four islands. Analysis of bioclimate variables indicated that warmer temperatures and lower temperature seasonality significantly influence the distribution of <i>S. depressa</i>. Population genetic analyses, based on ITS sequences from 45 samples, identified 17 haplotypes and revealed moderate regional differentiation, with significant isolation-by-distance but no isolation-by-environment effect. Species distribution modeling predicts potential range expansion under future climate scenarios. These findings highlight the ecological sensitivity of <i>S. depressa</i> to temperature gradients and its potential as a bioindicator for subtropical ecosystem shifts, emphasizing the need to conserve genetically diverse populations to enhance resilience against climate change.</p>\",\"PeriodicalId\":18825,\"journal\":{\"name\":\"Mycobiology\",\"volume\":\"53 4\",\"pages\":\"412-420\"},\"PeriodicalIF\":2.0000,\"publicationDate\":\"2025-06-19\",\"publicationTypes\":\"Journal Article\",\"fieldsOfStudy\":null,\"isOpenAccess\":false,\"openAccessPdf\":\"https://www.ncbi.nlm.nih.gov/pmc/articles/PMC12308876/pdf/\",\"citationCount\":\"0\",\"resultStr\":null,\"platform\":\"Semanticscholar\",\"paperid\":null,\"PeriodicalName\":\"Mycobiology\",\"FirstCategoryId\":\"99\",\"ListUrlMain\":\"https://doi.org/10.1080/12298093.2025.2518793\",\"RegionNum\":4,\"RegionCategory\":\"生物学\",\"ArticlePicture\":[],\"TitleCN\":null,\"AbstractTextCN\":null,\"PMCID\":null,\"EPubDate\":\"2025/1/1 0:00:00\",\"PubModel\":\"eCollection\",\"JCR\":\"Q2\",\"JCRName\":\"AGRONOMY\",\"Score\":null,\"Total\":0}","platform":"Semanticscholar","paperid":null,"PeriodicalName":"Mycobiology","FirstCategoryId":"99","ListUrlMain":"https://doi.org/10.1080/12298093.2025.2518793","RegionNum":4,"RegionCategory":"生物学","ArticlePicture":[],"TitleCN":null,"AbstractTextCN":null,"PMCID":null,"EPubDate":"2025/1/1 0:00:00","PubModel":"eCollection","JCR":"Q2","JCRName":"AGRONOMY","Score":null,"Total":0}
引用次数: 0

摘要

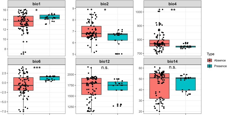
由于对气候条件的敏感性,叶状地衣(如striigula depressa)越来越被认为是亚热带生态系统动态的潜在指标,气候变化可能会扩大其在韩国的分布。尽管它们具有重要的生态意义,但对韩国抑郁葡萄的分布和遗传结构的研究仍然有限。本研究旨在通过分析未来气候情景下抑郁树的生态偏好、遗传多样性和分布变化来验证这一知识缺口。在济州岛的66处和30个岛屿的96处进行了实地调查,结果表明,该物种在4个岛屿的12处分布极为有限。生物气候变量分析表明,较高的温度和较低的温度季节性显著影响了黑穗槐的分布。群体遗传分析基于45个样本的ITS序列,鉴定出17个单倍型,显示出适度的区域分化,具有显著的距离隔离效应,但没有环境隔离效应。物种分布模型预测了未来气候情景下潜在的范围扩张。这些研究结果强调了抑郁树对温度梯度的生态敏感性及其作为亚热带生态系统变化的生物指标的潜力,强调了保护遗传多样性种群以增强对气候变化的适应能力的必要性。
本文章由计算机程序翻译,如有差异,请以英文原文为准。

Distribution and Genetic Diversity of the Korean Foliicolous Lichen, <i>Strigula depressa</i>.

Distribution and Genetic Diversity of the Korean Foliicolous Lichen, <i>Strigula depressa</i>.

Distribution and Genetic Diversity of the Korean Foliicolous Lichen, <i>Strigula depressa</i>.

Distribution and Genetic Diversity of the Korean Foliicolous Lichen, Strigula depressa.

Foliicolous lichens, such as Strigula depressa, are increasingly recognized as potential indicators of subtropical ecosystem dynamics due to their sensitivity to climatic conditions, with climate change likely to expand their distribution in the South Korea. Despite their ecological importance, studies on the distribution and genetic structure of S. depressa in South Korea remain limited. This study aims to examine this knowledge gap by analyzing the ecological preferences, genetic diversity, and distribution change of S. depressa under future climate scenarios. Field surveys were conducted across 96 sites, including 66 sites on Jeju Island and 30 islands, revealing a highly restricted distribution with the species present at only 12 sites in four islands. Analysis of bioclimate variables indicated that warmer temperatures and lower temperature seasonality significantly influence the distribution of S. depressa. Population genetic analyses, based on ITS sequences from 45 samples, identified 17 haplotypes and revealed moderate regional differentiation, with significant isolation-by-distance but no isolation-by-environment effect. Species distribution modeling predicts potential range expansion under future climate scenarios. These findings highlight the ecological sensitivity of S. depressa to temperature gradients and its potential as a bioindicator for subtropical ecosystem shifts, emphasizing the need to conserve genetically diverse populations to enhance resilience against climate change.

求助全文
通过发布文献求助,成功后即可免费获取论文全文。 去求助
来源期刊
Mycobiology
Mycobiology AGRONOMYMYCOLOGY-MYCOLOGY
CiteScore
3.90
自引率
5.30%
发文量
41
审稿时长
22 weeks
期刊介绍: Mycobiology is an international journal devoted to the publication of fundamental and applied investigations on all aspects of mycology and their traditional allies. It is published quarterly and is the official publication of the Korean Society of Mycology. Mycobiology publishes reports of basic research on fungi and fungus-like organisms, including yeasts, filamentous fungi, lichen fungi, oomycetes, moulds, and mushroom. Topics also include molecular and cellular biology, biochemistry, metabolism, developmental biology, environmental mycology, evolution, ecology, taxonomy and systematics, genetics/genomics, fungal pathogen and disease control, physiology, and industrial biotechnology using fungi.
×
引用
GB/T 7714-2015
复制
MLA
复制
APA
复制
导出至
BibTeX EndNote RefMan NoteFirst NoteExpress
×
提示
您的信息不完整,为了账户安全,请先补充。
现在去补充
×
提示
您因"违规操作"
具体请查看互助需知
我知道了
×
提示
确定
请完成安全验证×
copy
已复制链接
快去分享给好友吧!
我知道了
右上角分享
点击右上角分享
0
联系我们:info@booksci.cn Book学术提供免费学术资源搜索服务,方便国内外学者检索中英文文献。致力于提供最便捷和优质的服务体验。 Copyright © 2023 布克学术 All rights reserved.
京ICP备2023020795号-1
ghs 京公网安备 11010802042870号
Book学术文献互助
Book学术文献互助群
群 号:604180095
Book学术官方微信