代谢功能障碍相关脂肪变性肝病患者内脏脂肪代谢评分与全因死亡率之间的关系:基于NHANES III的随访研究(1988-1994)

IF 3.9 3区 医学 Q2 ENDOCRINOLOGY & METABOLISM
Guoqing Huang, Ping-Ping Zhang, Tieqiao Wang, Shixue Bao, Yushan Mao
{"title":"代谢功能障碍相关脂肪变性肝病患者内脏脂肪代谢评分与全因死亡率之间的关系:基于NHANES III的随访研究(1988-1994)","authors":"Guoqing Huang, Ping-Ping Zhang, Tieqiao Wang, Shixue Bao, Yushan Mao","doi":"10.1186/s13098-025-01864-9","DOIUrl":null,"url":null,"abstract":"<p><strong>Background: </strong>Metabolic dysfunction-associated steatotic liver disease (MASLD) is the most common chronic liver disease, seriously threatening the public health. However, the specific role of metabolic score of visceral fat (METS-VF) as a prognostic marker in the MASLD population remains unclear. In this study, we explored the association and nonlinear relationship between METS-VF and all-cause mortality among MASLD population.</p><p><strong>Methods: </strong>This study included American adults aged over 20 years with MASLD who participated in the Third National Health and Nutrition Examination Survey (NHANES III, 1988-1994) in the United States. Kaplan-Meier curve was used to explore the relationship between different METS-VF levels and all-cause mortality. Multivariable Cox regression analysis was used to explore the independent linear relationship between METS-VF and all-cause mortality. In addition, Cox regression with restricted cubic spline functions and smooth curve fitting were used to evaluate potential nonlinear associations. An inflection point of METS-VF was determined using a two-piece Cox regression model.</p><p><strong>Results: </strong>During an average follow-up period of 23.15 years, there were 1,413 all-cause deaths and the cumulative all-cause mortality proportion was 46.6%. Kaplan-Meier curve revealed that high METS-VF significantly increased the mortality risk in the MASLD population. Multivariate Cox regression analysis revealed that METS-VF was independently associated with all-cause mortality (hazard ratio [HR]: 1.121; 95% confidence interval [CI]: 1.103-1.139; P < 0.001). Cox regression with restricted cubic spline functions and smooth curve fitting showed a J-shaped relationship between METS-VF and all-cause mortality, with an inflection point of 6.394. The HR was 1.068 (95% CI: 1.038-1.099, P < 0.001) before the inflection point and 1.143 (95% CI: 1.122-1.166, P < 0.001) after it.</p><p><strong>Conclusion: </strong>This study reveals that higher METS-VF levels are significantly associated with an increased risk of all-cause mortality in individuals with MASLD, characterized by a J-shaped non-linear relationship. This finding provides a new indicator for prognosis assessment in the MASLD population.</p>","PeriodicalId":11106,"journal":{"name":"Diabetology & Metabolic Syndrome","volume":"17 1","pages":"302"},"PeriodicalIF":3.9000,"publicationDate":"2025-07-30","publicationTypes":"Journal Article","fieldsOfStudy":null,"isOpenAccess":false,"openAccessPdf":"https://www.ncbi.nlm.nih.gov/pmc/articles/PMC12309096/pdf/","citationCount":"0","resultStr":"{\"title\":\"Association between metabolic score of visceral fat and all-cause mortality among individuals with metabolic dysfunction-associated steatotic liver disease: a follow-up study based on NHANES III (1988-1994).\",\"authors\":\"Guoqing Huang, Ping-Ping Zhang, Tieqiao Wang, Shixue Bao, Yushan Mao\",\"doi\":\"10.1186/s13098-025-01864-9\",\"DOIUrl\":null,\"url\":null,\"abstract\":\"<p><strong>Background: </strong>Metabolic dysfunction-associated steatotic liver disease (MASLD) is the most common chronic liver disease, seriously threatening the public health. However, the specific role of metabolic score of visceral fat (METS-VF) as a prognostic marker in the MASLD population remains unclear. In this study, we explored the association and nonlinear relationship between METS-VF and all-cause mortality among MASLD population.</p><p><strong>Methods: </strong>This study included American adults aged over 20 years with MASLD who participated in the Third National Health and Nutrition Examination Survey (NHANES III, 1988-1994) in the United States. Kaplan-Meier curve was used to explore the relationship between different METS-VF levels and all-cause mortality. Multivariable Cox regression analysis was used to explore the independent linear relationship between METS-VF and all-cause mortality. In addition, Cox regression with restricted cubic spline functions and smooth curve fitting were used to evaluate potential nonlinear associations. An inflection point of METS-VF was determined using a two-piece Cox regression model.</p><p><strong>Results: </strong>During an average follow-up period of 23.15 years, there were 1,413 all-cause deaths and the cumulative all-cause mortality proportion was 46.6%. Kaplan-Meier curve revealed that high METS-VF significantly increased the mortality risk in the MASLD population. Multivariate Cox regression analysis revealed that METS-VF was independently associated with all-cause mortality (hazard ratio [HR]: 1.121; 95% confidence interval [CI]: 1.103-1.139; P < 0.001). Cox regression with restricted cubic spline functions and smooth curve fitting showed a J-shaped relationship between METS-VF and all-cause mortality, with an inflection point of 6.394. The HR was 1.068 (95% CI: 1.038-1.099, P < 0.001) before the inflection point and 1.143 (95% CI: 1.122-1.166, P < 0.001) after it.</p><p><strong>Conclusion: </strong>This study reveals that higher METS-VF levels are significantly associated with an increased risk of all-cause mortality in individuals with MASLD, characterized by a J-shaped non-linear relationship. This finding provides a new indicator for prognosis assessment in the MASLD population.</p>\",\"PeriodicalId\":11106,\"journal\":{\"name\":\"Diabetology & Metabolic Syndrome\",\"volume\":\"17 1\",\"pages\":\"302\"},\"PeriodicalIF\":3.9000,\"publicationDate\":\"2025-07-30\",\"publicationTypes\":\"Journal Article\",\"fieldsOfStudy\":null,\"isOpenAccess\":false,\"openAccessPdf\":\"https://www.ncbi.nlm.nih.gov/pmc/articles/PMC12309096/pdf/\",\"citationCount\":\"0\",\"resultStr\":null,\"platform\":\"Semanticscholar\",\"paperid\":null,\"PeriodicalName\":\"Diabetology & Metabolic Syndrome\",\"FirstCategoryId\":\"3\",\"ListUrlMain\":\"https://doi.org/10.1186/s13098-025-01864-9\",\"RegionNum\":3,\"RegionCategory\":\"医学\",\"ArticlePicture\":[],\"TitleCN\":null,\"AbstractTextCN\":null,\"PMCID\":null,\"EPubDate\":\"\",\"PubModel\":\"\",\"JCR\":\"Q2\",\"JCRName\":\"ENDOCRINOLOGY & METABOLISM\",\"Score\":null,\"Total\":0}","platform":"Semanticscholar","paperid":null,"PeriodicalName":"Diabetology & Metabolic Syndrome","FirstCategoryId":"3","ListUrlMain":"https://doi.org/10.1186/s13098-025-01864-9","RegionNum":3,"RegionCategory":"医学","ArticlePicture":[],"TitleCN":null,"AbstractTextCN":null,"PMCID":null,"EPubDate":"","PubModel":"","JCR":"Q2","JCRName":"ENDOCRINOLOGY & METABOLISM","Score":null,"Total":0}
引用次数: 0

摘要

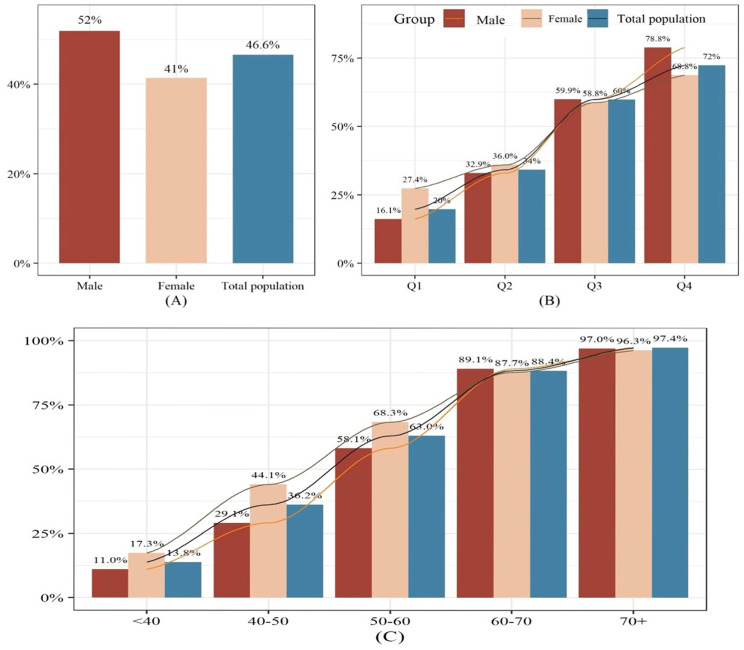
背景:代谢功能障碍相关性脂肪变性肝病(MASLD)是最常见的慢性肝病,严重威胁公众健康。然而,内脏脂肪代谢评分(METS-VF)作为MASLD人群预后标志物的具体作用尚不清楚。在这项研究中,我们探讨了met - vf与MASLD人群全因死亡率之间的关联和非线性关系。方法:本研究纳入参加美国第三次全国健康与营养调查(NHANES III, 1988-1994)的20岁以上MASLD美国成年人。采用Kaplan-Meier曲线探讨不同METS-VF水平与全因死亡率的关系。采用多变量Cox回归分析,探讨METS-VF与全因死亡率之间的独立线性关系。此外,使用限制三次样条函数的Cox回归和光滑曲线拟合来评估潜在的非线性关联。采用两件套Cox回归模型确定METS-VF的拐点。结果:平均随访23.15年,全因死亡1413例,累计全因死亡率46.6%。Kaplan-Meier曲线显示,高met - vf显著增加了MASLD人群的死亡风险。多因素Cox回归分析显示,METS-VF与全因死亡率独立相关(危险比[HR]: 1.121;95%置信区间[CI]: 1.103-1.139;结论:本研究表明,高met - vf水平与MASLD患者全因死亡风险增加显著相关,呈j型非线性关系。这一发现为MASLD人群的预后评估提供了新的指标。
本文章由计算机程序翻译,如有差异,请以英文原文为准。

Association between metabolic score of visceral fat and all-cause mortality among individuals with metabolic dysfunction-associated steatotic liver disease: a follow-up study based on NHANES III (1988-1994).

Association between metabolic score of visceral fat and all-cause mortality among individuals with metabolic dysfunction-associated steatotic liver disease: a follow-up study based on NHANES III (1988-1994).

Association between metabolic score of visceral fat and all-cause mortality among individuals with metabolic dysfunction-associated steatotic liver disease: a follow-up study based on NHANES III (1988-1994).

Association between metabolic score of visceral fat and all-cause mortality among individuals with metabolic dysfunction-associated steatotic liver disease: a follow-up study based on NHANES III (1988-1994).

Background: Metabolic dysfunction-associated steatotic liver disease (MASLD) is the most common chronic liver disease, seriously threatening the public health. However, the specific role of metabolic score of visceral fat (METS-VF) as a prognostic marker in the MASLD population remains unclear. In this study, we explored the association and nonlinear relationship between METS-VF and all-cause mortality among MASLD population.

Methods: This study included American adults aged over 20 years with MASLD who participated in the Third National Health and Nutrition Examination Survey (NHANES III, 1988-1994) in the United States. Kaplan-Meier curve was used to explore the relationship between different METS-VF levels and all-cause mortality. Multivariable Cox regression analysis was used to explore the independent linear relationship between METS-VF and all-cause mortality. In addition, Cox regression with restricted cubic spline functions and smooth curve fitting were used to evaluate potential nonlinear associations. An inflection point of METS-VF was determined using a two-piece Cox regression model.

Results: During an average follow-up period of 23.15 years, there were 1,413 all-cause deaths and the cumulative all-cause mortality proportion was 46.6%. Kaplan-Meier curve revealed that high METS-VF significantly increased the mortality risk in the MASLD population. Multivariate Cox regression analysis revealed that METS-VF was independently associated with all-cause mortality (hazard ratio [HR]: 1.121; 95% confidence interval [CI]: 1.103-1.139; P < 0.001). Cox regression with restricted cubic spline functions and smooth curve fitting showed a J-shaped relationship between METS-VF and all-cause mortality, with an inflection point of 6.394. The HR was 1.068 (95% CI: 1.038-1.099, P < 0.001) before the inflection point and 1.143 (95% CI: 1.122-1.166, P < 0.001) after it.

Conclusion: This study reveals that higher METS-VF levels are significantly associated with an increased risk of all-cause mortality in individuals with MASLD, characterized by a J-shaped non-linear relationship. This finding provides a new indicator for prognosis assessment in the MASLD population.

求助全文
通过发布文献求助,成功后即可免费获取论文全文。 去求助
来源期刊
Diabetology & Metabolic Syndrome
Diabetology & Metabolic Syndrome ENDOCRINOLOGY & METABOLISM-
CiteScore
6.20
自引率
0.00%
发文量
170
审稿时长
7.5 months
期刊介绍: Diabetology & Metabolic Syndrome publishes articles on all aspects of the pathophysiology of diabetes and metabolic syndrome. By publishing original material exploring any area of laboratory, animal or clinical research into diabetes and metabolic syndrome, the journal offers a high-visibility forum for new insights and discussions into the issues of importance to the relevant community.
×
引用
GB/T 7714-2015
复制
MLA
复制
APA
复制
导出至
BibTeX EndNote RefMan NoteFirst NoteExpress
×
提示
您的信息不完整,为了账户安全,请先补充。
现在去补充
×
提示
您因"违规操作"
具体请查看互助需知
我知道了
×
提示
确定
请完成安全验证×
copy
已复制链接
快去分享给好友吧!
我知道了
右上角分享
点击右上角分享
0
联系我们:info@booksci.cn Book学术提供免费学术资源搜索服务,方便国内外学者检索中英文文献。致力于提供最便捷和优质的服务体验。 Copyright © 2023 布克学术 All rights reserved.
京ICP备2023020795号-1
ghs 京公网安备 11010802042870号
Book学术文献互助
Book学术文献互助群
群 号:604180095
Book学术官方微信