外周血比例对鼻窦鳞状细胞癌预后的影响。

IF 2.9 4区 综合性期刊 Q2 MULTIDISCIPLINARY SCIENCES
Science Progress Pub Date : 2025-07-01 Epub Date: 2025-07-29 DOI:10.1177/00368504251364321
Tian Wang, Qi Zhang, Li Wang, Jie Wang, Keqing Zhao, Xinmao Song
{"title":"外周血比例对鼻窦鳞状细胞癌预后的影响。","authors":"Tian Wang, Qi Zhang, Li Wang, Jie Wang, Keqing Zhao, Xinmao Song","doi":"10.1177/00368504251364321","DOIUrl":null,"url":null,"abstract":"<p><p>ObjectiveSinonasal squamous cell carcinoma usually presents at an advanced stage at the time of diagnosis, and there is still a lack of indicators to predict the prognosis of sinonasal squamous cell carcinoma patients. We aim to investigate whether the peripheral blood ratios may be good options for predicting the progression in patients with sinonasal squamous cell carcinoma.MethodsWe performed a retrospective analysis of 198 patients with sinonasal squamous cell carcinoma between January 2010 and December 2022. The systemic inflammatory response index, platelet/lymphocyte ratio, neutrophil/lymphocyte ratio, and lymphocyte/monocyte ratio were calculated. We examined the predictive value for the prognosis of sinonasal squamous cell carcinoma patients.ResultsThe systemic inflammatory response index (1.21 vs. 0.79, <i>P</i> < 0.001), lymphocyte/monocyte ratio (3.51 vs. 5.01, <i>P</i> < 0.001), neutrophil/lymphocyte ratio (2.83 vs. 2.02, <i>P</i> < 0.001), and platelet/lymphocyte ratio (136.70 vs. 113.84, <i>P</i> = 0.0042) values were significantly different between T4 stage and T1-3 stage. Univariate analysis showed that using appropriate threshold values, systemic inflammatory response index (0.5), platelet/lymphocyte ratio (127.4), lymphocyte/monocyte ratio (4.9), and neutrophil/lymphocyte ratio (2.6) predicted overall survival, progression-free survival, and distant metastasis-free survival. Multivariate Cox regression showed that high lymphocyte/monocyte ratio was associated with poor prognosis.ConclusionsThe values of neutrophil/lymphocyte ratio, systemic inflammatory response index, lymphocyte/monocyte ratio, and platelet/lymphocyte ratio can be used as parameters for the prognosis of sinonasal squamous cell carcinoma. In sinonasal squamous cell carcinoma patients, lymphocyte/monocyte ratio is a sensitive factor in predicting overall survival and distant metastasis-free survival.</p>","PeriodicalId":56061,"journal":{"name":"Science Progress","volume":"108 3","pages":"368504251364321"},"PeriodicalIF":2.9000,"publicationDate":"2025-07-01","publicationTypes":"Journal Article","fieldsOfStudy":null,"isOpenAccess":false,"openAccessPdf":"https://www.ncbi.nlm.nih.gov/pmc/articles/PMC12317209/pdf/","citationCount":"0","resultStr":"{\"title\":\"Prognostic impact of peripheral blood ratio in sinonasal squamous cell carcinoma.\",\"authors\":\"Tian Wang, Qi Zhang, Li Wang, Jie Wang, Keqing Zhao, Xinmao Song\",\"doi\":\"10.1177/00368504251364321\",\"DOIUrl\":null,\"url\":null,\"abstract\":\"<p><p>ObjectiveSinonasal squamous cell carcinoma usually presents at an advanced stage at the time of diagnosis, and there is still a lack of indicators to predict the prognosis of sinonasal squamous cell carcinoma patients. We aim to investigate whether the peripheral blood ratios may be good options for predicting the progression in patients with sinonasal squamous cell carcinoma.MethodsWe performed a retrospective analysis of 198 patients with sinonasal squamous cell carcinoma between January 2010 and December 2022. The systemic inflammatory response index, platelet/lymphocyte ratio, neutrophil/lymphocyte ratio, and lymphocyte/monocyte ratio were calculated. We examined the predictive value for the prognosis of sinonasal squamous cell carcinoma patients.ResultsThe systemic inflammatory response index (1.21 vs. 0.79, <i>P</i> < 0.001), lymphocyte/monocyte ratio (3.51 vs. 5.01, <i>P</i> < 0.001), neutrophil/lymphocyte ratio (2.83 vs. 2.02, <i>P</i> < 0.001), and platelet/lymphocyte ratio (136.70 vs. 113.84, <i>P</i> = 0.0042) values were significantly different between T4 stage and T1-3 stage. Univariate analysis showed that using appropriate threshold values, systemic inflammatory response index (0.5), platelet/lymphocyte ratio (127.4), lymphocyte/monocyte ratio (4.9), and neutrophil/lymphocyte ratio (2.6) predicted overall survival, progression-free survival, and distant metastasis-free survival. Multivariate Cox regression showed that high lymphocyte/monocyte ratio was associated with poor prognosis.ConclusionsThe values of neutrophil/lymphocyte ratio, systemic inflammatory response index, lymphocyte/monocyte ratio, and platelet/lymphocyte ratio can be used as parameters for the prognosis of sinonasal squamous cell carcinoma. In sinonasal squamous cell carcinoma patients, lymphocyte/monocyte ratio is a sensitive factor in predicting overall survival and distant metastasis-free survival.</p>\",\"PeriodicalId\":56061,\"journal\":{\"name\":\"Science Progress\",\"volume\":\"108 3\",\"pages\":\"368504251364321\"},\"PeriodicalIF\":2.9000,\"publicationDate\":\"2025-07-01\",\"publicationTypes\":\"Journal Article\",\"fieldsOfStudy\":null,\"isOpenAccess\":false,\"openAccessPdf\":\"https://www.ncbi.nlm.nih.gov/pmc/articles/PMC12317209/pdf/\",\"citationCount\":\"0\",\"resultStr\":null,\"platform\":\"Semanticscholar\",\"paperid\":null,\"PeriodicalName\":\"Science Progress\",\"FirstCategoryId\":\"103\",\"ListUrlMain\":\"https://doi.org/10.1177/00368504251364321\",\"RegionNum\":4,\"RegionCategory\":\"综合性期刊\",\"ArticlePicture\":[],\"TitleCN\":null,\"AbstractTextCN\":null,\"PMCID\":null,\"EPubDate\":\"2025/7/29 0:00:00\",\"PubModel\":\"Epub\",\"JCR\":\"Q2\",\"JCRName\":\"MULTIDISCIPLINARY SCIENCES\",\"Score\":null,\"Total\":0}","platform":"Semanticscholar","paperid":null,"PeriodicalName":"Science Progress","FirstCategoryId":"103","ListUrlMain":"https://doi.org/10.1177/00368504251364321","RegionNum":4,"RegionCategory":"综合性期刊","ArticlePicture":[],"TitleCN":null,"AbstractTextCN":null,"PMCID":null,"EPubDate":"2025/7/29 0:00:00","PubModel":"Epub","JCR":"Q2","JCRName":"MULTIDISCIPLINARY SCIENCES","Score":null,"Total":0}
引用次数: 0

摘要

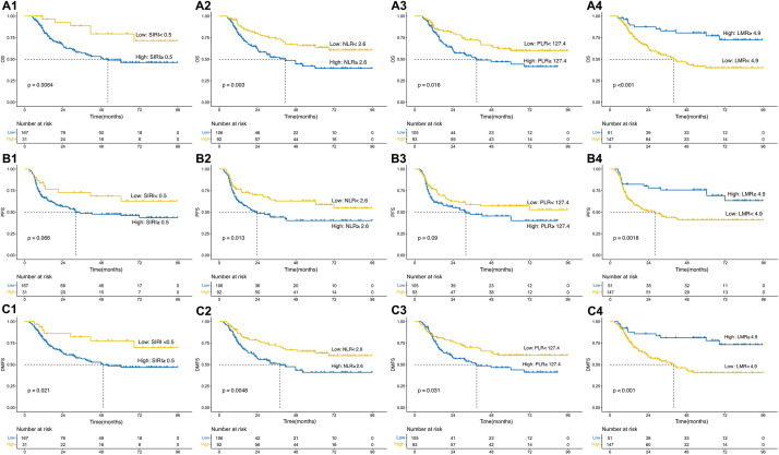
目的鼻窦鳞状细胞癌在诊断时通常表现为晚期,目前尚缺乏预测鼻窦鳞状细胞癌患者预后的指标。我们的目的是研究外周血比率是否可能是预测鼻窦鳞状细胞癌患者进展的良好选择。方法回顾性分析2010年1月至2022年12月198例鼻窦鳞状细胞癌患者的临床资料。计算全身炎症反应指数、血小板/淋巴细胞比值、中性粒细胞/淋巴细胞比值、淋巴细胞/单核细胞比值。我们探讨鼻窦鳞状细胞癌患者的预后预测价值。结果T4期与T1-3期患者全身炎症反应指数(1.21 vs. 0.79, P P P P = 0.0042)差异有统计学意义。单因素分析显示,使用适当的阈值,全身炎症反应指数(0.5)、血小板/淋巴细胞比率(127.4)、淋巴细胞/单核细胞比率(4.9)和中性粒细胞/淋巴细胞比率(2.6)可预测总生存期、无进展生存期和无远处转移生存期。多因素Cox回归分析显示,淋巴细胞/单核细胞比值高与预后不良相关。结论中性粒细胞/淋巴细胞比值、全身炎症反应指数、淋巴细胞/单核细胞比值、血小板/淋巴细胞比值可作为鼻窦鳞状细胞癌预后的指标。在鼻窦鳞状细胞癌患者中,淋巴细胞/单核细胞比例是预测总生存期和无远处转移生存期的敏感因素。
本文章由计算机程序翻译,如有差异,请以英文原文为准。

Prognostic impact of peripheral blood ratio in sinonasal squamous cell carcinoma.

Prognostic impact of peripheral blood ratio in sinonasal squamous cell carcinoma.

Prognostic impact of peripheral blood ratio in sinonasal squamous cell carcinoma.

Prognostic impact of peripheral blood ratio in sinonasal squamous cell carcinoma.

ObjectiveSinonasal squamous cell carcinoma usually presents at an advanced stage at the time of diagnosis, and there is still a lack of indicators to predict the prognosis of sinonasal squamous cell carcinoma patients. We aim to investigate whether the peripheral blood ratios may be good options for predicting the progression in patients with sinonasal squamous cell carcinoma.MethodsWe performed a retrospective analysis of 198 patients with sinonasal squamous cell carcinoma between January 2010 and December 2022. The systemic inflammatory response index, platelet/lymphocyte ratio, neutrophil/lymphocyte ratio, and lymphocyte/monocyte ratio were calculated. We examined the predictive value for the prognosis of sinonasal squamous cell carcinoma patients.ResultsThe systemic inflammatory response index (1.21 vs. 0.79, P < 0.001), lymphocyte/monocyte ratio (3.51 vs. 5.01, P < 0.001), neutrophil/lymphocyte ratio (2.83 vs. 2.02, P < 0.001), and platelet/lymphocyte ratio (136.70 vs. 113.84, P = 0.0042) values were significantly different between T4 stage and T1-3 stage. Univariate analysis showed that using appropriate threshold values, systemic inflammatory response index (0.5), platelet/lymphocyte ratio (127.4), lymphocyte/monocyte ratio (4.9), and neutrophil/lymphocyte ratio (2.6) predicted overall survival, progression-free survival, and distant metastasis-free survival. Multivariate Cox regression showed that high lymphocyte/monocyte ratio was associated with poor prognosis.ConclusionsThe values of neutrophil/lymphocyte ratio, systemic inflammatory response index, lymphocyte/monocyte ratio, and platelet/lymphocyte ratio can be used as parameters for the prognosis of sinonasal squamous cell carcinoma. In sinonasal squamous cell carcinoma patients, lymphocyte/monocyte ratio is a sensitive factor in predicting overall survival and distant metastasis-free survival.

求助全文
通过发布文献求助,成功后即可免费获取论文全文。 去求助
来源期刊
Science Progress
Science Progress Multidisciplinary-Multidisciplinary
CiteScore
3.80
自引率
0.00%
发文量
119
期刊介绍: Science Progress has for over 100 years been a highly regarded review publication in science, technology and medicine. Its objective is to excite the readers'' interest in areas with which they may not be fully familiar but which could facilitate their interest, or even activity, in a cognate field.
×
引用
GB/T 7714-2015
复制
MLA
复制
APA
复制
导出至
BibTeX EndNote RefMan NoteFirst NoteExpress
×
提示
您的信息不完整,为了账户安全,请先补充。
现在去补充
×
提示
您因"违规操作"
具体请查看互助需知
我知道了
×
提示
确定
请完成安全验证×
copy
已复制链接
快去分享给好友吧!
我知道了
右上角分享
点击右上角分享
0
联系我们:info@booksci.cn Book学术提供免费学术资源搜索服务,方便国内外学者检索中英文文献。致力于提供最便捷和优质的服务体验。 Copyright © 2023 布克学术 All rights reserved.
京ICP备2023020795号-1
ghs 京公网安备 11010802042870号
Book学术文献互助
Book学术文献互助群
群 号:604180095
Book学术官方微信