阿尔茨海默病的冷漠和情感性症状与血浆神经丝光升高有关,而与p-tau181无关。

IF 4.4 Q1 CLINICAL NEUROLOGY
Matthew J Y Kang, Dhamidhu Eratne, Samantha M Loi, Christa Dang, Alexander F Santillo, Henrik Zetterberg, Kaj Blennow, Philip B Mitchell, Malcolm Hopwood, Charles B Malpas, Dennis Velakoulis
{"title":"阿尔茨海默病的冷漠和情感性症状与血浆神经丝光升高有关,而与p-tau181无关。","authors":"Matthew J Y Kang, Dhamidhu Eratne, Samantha M Loi, Christa Dang, Alexander F Santillo, Henrik Zetterberg, Kaj Blennow, Philip B Mitchell, Malcolm Hopwood, Charles B Malpas, Dennis Velakoulis","doi":"10.1002/dad2.70151","DOIUrl":null,"url":null,"abstract":"<p><strong>Introduction: </strong>Apathy and affective neuropsychiatric symptoms (NPS) are prevalent in Alzheimer's disease (AD), yet their neurobiological cause is still unclear. We examined associations between plasma neurofilament light chain (NfL) and tau pathology (p-tau181) with apathy and affective symptoms in mild cognitive impairment (MCI) and AD dementia.</p><p><strong>Methods: </strong>This longitudinal study analyzed data from 781 participants with MCI and AD dementia enrolled in ADNI, with annual blood samples collected over 4 years. NPS were assessed via the Neuropsychiatric Interview (NPI), and biomarker trajectories were analyzed using mixed-effects models.</p><p><strong>Results: </strong>Elevated plasma NfL levels were associated with apathy, anxiety and depression in MCI and AD dementia, with apathy linked to a significantly higher rate of NfL increase, indicating accelerated neurodegeneration.</p><p><strong>Discussion: </strong>Apathy and affective symptoms may indicate greater neurodegenerative burden in AD independent of tau-related pathology. Apathy was associated with a steeper rise in plasma NfL, suggesting a more aggressive disease progression.</p><p><strong>Highlights: </strong>Apathy and affective neuropsychiatric symptoms (NPS) are highly prevalent in clinical Alzheimer's disease (AD).The presence of apathy, depression or anxiety was associated with higher plasma levels of neurofilament light chain (NfL).Apathy was associated with an accelerated increase in plasma NfL levels over time.Apathy and affective NPS were not associated with p-tau181 levels in plasma.</p>","PeriodicalId":53226,"journal":{"name":"Alzheimer''s and Dementia: Diagnosis, Assessment and Disease Monitoring","volume":"17 3","pages":"e70151"},"PeriodicalIF":4.4000,"publicationDate":"2025-07-29","publicationTypes":"Journal Article","fieldsOfStudy":null,"isOpenAccess":false,"openAccessPdf":"https://www.ncbi.nlm.nih.gov/pmc/articles/PMC12305118/pdf/","citationCount":"0","resultStr":"{\"title\":\"Apathy and affective symptoms associated with elevated plasma neurofilament light but not p-tau181 in Alzheimer's disease.\",\"authors\":\"Matthew J Y Kang, Dhamidhu Eratne, Samantha M Loi, Christa Dang, Alexander F Santillo, Henrik Zetterberg, Kaj Blennow, Philip B Mitchell, Malcolm Hopwood, Charles B Malpas, Dennis Velakoulis\",\"doi\":\"10.1002/dad2.70151\",\"DOIUrl\":null,\"url\":null,\"abstract\":\"<p><strong>Introduction: </strong>Apathy and affective neuropsychiatric symptoms (NPS) are prevalent in Alzheimer's disease (AD), yet their neurobiological cause is still unclear. We examined associations between plasma neurofilament light chain (NfL) and tau pathology (p-tau181) with apathy and affective symptoms in mild cognitive impairment (MCI) and AD dementia.</p><p><strong>Methods: </strong>This longitudinal study analyzed data from 781 participants with MCI and AD dementia enrolled in ADNI, with annual blood samples collected over 4 years. NPS were assessed via the Neuropsychiatric Interview (NPI), and biomarker trajectories were analyzed using mixed-effects models.</p><p><strong>Results: </strong>Elevated plasma NfL levels were associated with apathy, anxiety and depression in MCI and AD dementia, with apathy linked to a significantly higher rate of NfL increase, indicating accelerated neurodegeneration.</p><p><strong>Discussion: </strong>Apathy and affective symptoms may indicate greater neurodegenerative burden in AD independent of tau-related pathology. Apathy was associated with a steeper rise in plasma NfL, suggesting a more aggressive disease progression.</p><p><strong>Highlights: </strong>Apathy and affective neuropsychiatric symptoms (NPS) are highly prevalent in clinical Alzheimer's disease (AD).The presence of apathy, depression or anxiety was associated with higher plasma levels of neurofilament light chain (NfL).Apathy was associated with an accelerated increase in plasma NfL levels over time.Apathy and affective NPS were not associated with p-tau181 levels in plasma.</p>\",\"PeriodicalId\":53226,\"journal\":{\"name\":\"Alzheimer''s and Dementia: Diagnosis, Assessment and Disease Monitoring\",\"volume\":\"17 3\",\"pages\":\"e70151\"},\"PeriodicalIF\":4.4000,\"publicationDate\":\"2025-07-29\",\"publicationTypes\":\"Journal Article\",\"fieldsOfStudy\":null,\"isOpenAccess\":false,\"openAccessPdf\":\"https://www.ncbi.nlm.nih.gov/pmc/articles/PMC12305118/pdf/\",\"citationCount\":\"0\",\"resultStr\":null,\"platform\":\"Semanticscholar\",\"paperid\":null,\"PeriodicalName\":\"Alzheimer''s and Dementia: Diagnosis, Assessment and Disease Monitoring\",\"FirstCategoryId\":\"1085\",\"ListUrlMain\":\"https://doi.org/10.1002/dad2.70151\",\"RegionNum\":0,\"RegionCategory\":null,\"ArticlePicture\":[],\"TitleCN\":null,\"AbstractTextCN\":null,\"PMCID\":null,\"EPubDate\":\"2025/7/1 0:00:00\",\"PubModel\":\"eCollection\",\"JCR\":\"Q1\",\"JCRName\":\"CLINICAL NEUROLOGY\",\"Score\":null,\"Total\":0}","platform":"Semanticscholar","paperid":null,"PeriodicalName":"Alzheimer''s and Dementia: Diagnosis, Assessment and Disease Monitoring","FirstCategoryId":"1085","ListUrlMain":"https://doi.org/10.1002/dad2.70151","RegionNum":0,"RegionCategory":null,"ArticlePicture":[],"TitleCN":null,"AbstractTextCN":null,"PMCID":null,"EPubDate":"2025/7/1 0:00:00","PubModel":"eCollection","JCR":"Q1","JCRName":"CLINICAL NEUROLOGY","Score":null,"Total":0}
引用次数: 0

摘要

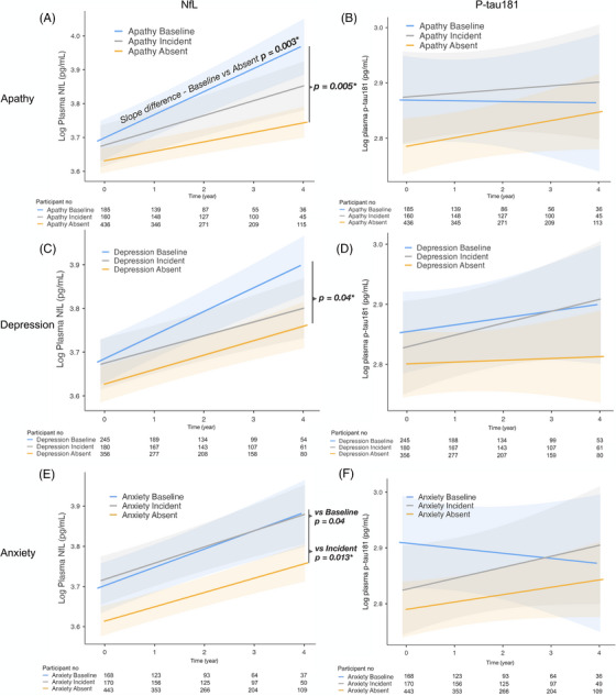
冷漠和情感性神经精神症状(NPS)在阿尔茨海默病(AD)中普遍存在,但其神经生物学原因尚不清楚。我们研究了血浆神经丝轻链(NfL)和tau蛋白病理(p-tau181)与轻度认知障碍(MCI)和AD痴呆患者的冷漠和情感性症状之间的关系。方法:这项纵向研究分析了参加ADNI的781名MCI和AD痴呆患者的数据,并在4年内每年采集血液样本。通过神经精神病学访谈(NPI)评估NPS,并使用混合效应模型分析生物标志物轨迹。结果:血浆NfL水平升高与MCI和AD痴呆患者的冷漠、焦虑和抑郁相关,其中冷漠与NfL升高率显著升高相关,表明神经退行性变加速。讨论:冷漠和情感症状可能表明阿尔茨海默病中更大的神经退行性负担独立于tau相关病理。冷漠与血浆NfL急剧升高相关,提示疾病进展更为严重。重点:冷漠和情感性神经精神症状(NPS)在临床阿尔茨海默病(AD)中非常普遍。冷漠、抑郁或焦虑的存在与较高的血浆神经丝轻链(NfL)水平相关。随着时间的推移,冷漠与血浆NfL水平的加速增加有关。冷漠和情感性NPS与血浆p-tau181水平无关。
本文章由计算机程序翻译,如有差异,请以英文原文为准。

Apathy and affective symptoms associated with elevated plasma neurofilament light but not p-tau181 in Alzheimer's disease.

Apathy and affective symptoms associated with elevated plasma neurofilament light but not p-tau181 in Alzheimer's disease.

Apathy and affective symptoms associated with elevated plasma neurofilament light but not p-tau181 in Alzheimer's disease.

Apathy and affective symptoms associated with elevated plasma neurofilament light but not p-tau181 in Alzheimer's disease.

Introduction: Apathy and affective neuropsychiatric symptoms (NPS) are prevalent in Alzheimer's disease (AD), yet their neurobiological cause is still unclear. We examined associations between plasma neurofilament light chain (NfL) and tau pathology (p-tau181) with apathy and affective symptoms in mild cognitive impairment (MCI) and AD dementia.

Methods: This longitudinal study analyzed data from 781 participants with MCI and AD dementia enrolled in ADNI, with annual blood samples collected over 4 years. NPS were assessed via the Neuropsychiatric Interview (NPI), and biomarker trajectories were analyzed using mixed-effects models.

Results: Elevated plasma NfL levels were associated with apathy, anxiety and depression in MCI and AD dementia, with apathy linked to a significantly higher rate of NfL increase, indicating accelerated neurodegeneration.

Discussion: Apathy and affective symptoms may indicate greater neurodegenerative burden in AD independent of tau-related pathology. Apathy was associated with a steeper rise in plasma NfL, suggesting a more aggressive disease progression.

Highlights: Apathy and affective neuropsychiatric symptoms (NPS) are highly prevalent in clinical Alzheimer's disease (AD).The presence of apathy, depression or anxiety was associated with higher plasma levels of neurofilament light chain (NfL).Apathy was associated with an accelerated increase in plasma NfL levels over time.Apathy and affective NPS were not associated with p-tau181 levels in plasma.

求助全文
通过发布文献求助,成功后即可免费获取论文全文。 去求助
来源期刊
CiteScore
7.80
自引率
7.50%
发文量
101
审稿时长
8 weeks
期刊介绍: Alzheimer''s & Dementia: Diagnosis, Assessment & Disease Monitoring (DADM) is an open access, peer-reviewed, journal from the Alzheimer''s Association® that will publish new research that reports the discovery, development and validation of instruments, technologies, algorithms, and innovative processes. Papers will cover a range of topics interested in the early and accurate detection of individuals with memory complaints and/or among asymptomatic individuals at elevated risk for various forms of memory disorders. The expectation for published papers will be to translate fundamental knowledge about the neurobiology of the disease into practical reports that describe both the conceptual and methodological aspects of the submitted scientific inquiry. Published topics will explore the development of biomarkers, surrogate markers, and conceptual/methodological challenges. Publication priority will be given to papers that 1) describe putative surrogate markers that accurately track disease progression, 2) biomarkers that fulfill international regulatory requirements, 3) reports from large, well-characterized population-based cohorts that comprise the heterogeneity and diversity of asymptomatic individuals and 4) algorithmic development that considers multi-marker arrays (e.g., integrated-omics, genetics, biofluids, imaging, etc.) and advanced computational analytics and technologies.
×
引用
GB/T 7714-2015
复制
MLA
复制
APA
复制
导出至
BibTeX EndNote RefMan NoteFirst NoteExpress
×
提示
您的信息不完整,为了账户安全,请先补充。
现在去补充
×
提示
您因"违规操作"
具体请查看互助需知
我知道了
×
提示
确定
请完成安全验证×
copy
已复制链接
快去分享给好友吧!
我知道了
右上角分享
点击右上角分享
0
联系我们:info@booksci.cn Book学术提供免费学术资源搜索服务,方便国内外学者检索中英文文献。致力于提供最便捷和优质的服务体验。 Copyright © 2023 布克学术 All rights reserved.
京ICP备2023020795号-1
ghs 京公网安备 11010802042870号
Book学术文献互助
Book学术文献互助群
群 号:604180095
Book学术官方微信