长读rna测序揭示了人源性皮质神经元的转录特异性调控。

IF 3.6 3区 生物学 Q1 BIOCHEMISTRY & MOLECULAR BIOLOGY
Open Biology Pub Date : 2025-07-01 Epub Date: 2025-07-30 DOI:10.1098/rsob.250200
Jishu Xu, Michaela Hörner, Elena Buena Atienza, Kalaivani Manibarathi, Maike Nagel, Stefan Hauser, Jakob Admard, Nicolas Casadei, Stephan Ossowski, Rebecca Schuele
{"title":"长读rna测序揭示了人源性皮质神经元的转录特异性调控。","authors":"Jishu Xu, Michaela Hörner, Elena Buena Atienza, Kalaivani Manibarathi, Maike Nagel, Stefan Hauser, Jakob Admard, Nicolas Casadei, Stephan Ossowski, Rebecca Schuele","doi":"10.1098/rsob.250200","DOIUrl":null,"url":null,"abstract":"<p><p>Long-read RNA sequencing has transformed transcriptome analysis by enabling comprehensive mapping of full-length transcripts, providing an unprecedented resolution of transcript diversity, alternative splicing and transcript-specific regulation. In this study, we employed nanopore long-read RNA sequencing to profile the transcriptomes of three cell types commonly used to model brain disorders, human fibroblasts, induced pluripotent stem cells and stem cell-derived cortical neurons, identifying extensive transcript diversity with 15 072 transcripts in stem cell-derived cortical neurons, 13 048 in fibroblasts and 12 759 in induced pluripotent stem cells. Our analyses uncovered 35 519 differential transcript expression events and 5135 differential transcript usage events, underscoring the complexity of transcriptomic regulation across these cell types. Importantly, by integrating differential transcript expression and usage analyses, we gained deeper insights into transcript dynamics that are not captured by gene-level expression analysis alone. Differential transcript usage analysis highlighted transcript-specific changes in disease-relevant genes such as <i>APP</i>, <i>KIF2A</i> and <i>BSCL2</i>, associated with Alzheimer's disease, neuronal migration disorders and degenerative axonopathies, respectively. This added resolution emphasizes the significance of transcript-level variations that often remain hidden in traditional differential gene expression analyses. Overall, our work provides a framework for understanding transcript diversity in both pluripotent and specialized cell types, which can be used to investigate transcriptomic changes in disease states in future work. Additionally, this study underscores the utility of differential transcript usage analysis in advancing our understanding of neurodevelopmental and neurodegenerative diseases, paving the way for identifying transcript-specific therapeutic targets.</p>","PeriodicalId":19629,"journal":{"name":"Open Biology","volume":"15 7","pages":"250200"},"PeriodicalIF":3.6000,"publicationDate":"2025-07-01","publicationTypes":"Journal Article","fieldsOfStudy":null,"isOpenAccess":false,"openAccessPdf":"https://www.ncbi.nlm.nih.gov/pmc/articles/PMC12308531/pdf/","citationCount":"0","resultStr":"{\"title\":\"Long-read RNA-sequencing reveals transcript-specific regulation in human-derived cortical neurons.\",\"authors\":\"Jishu Xu, Michaela Hörner, Elena Buena Atienza, Kalaivani Manibarathi, Maike Nagel, Stefan Hauser, Jakob Admard, Nicolas Casadei, Stephan Ossowski, Rebecca Schuele\",\"doi\":\"10.1098/rsob.250200\",\"DOIUrl\":null,\"url\":null,\"abstract\":\"<p><p>Long-read RNA sequencing has transformed transcriptome analysis by enabling comprehensive mapping of full-length transcripts, providing an unprecedented resolution of transcript diversity, alternative splicing and transcript-specific regulation. In this study, we employed nanopore long-read RNA sequencing to profile the transcriptomes of three cell types commonly used to model brain disorders, human fibroblasts, induced pluripotent stem cells and stem cell-derived cortical neurons, identifying extensive transcript diversity with 15 072 transcripts in stem cell-derived cortical neurons, 13 048 in fibroblasts and 12 759 in induced pluripotent stem cells. Our analyses uncovered 35 519 differential transcript expression events and 5135 differential transcript usage events, underscoring the complexity of transcriptomic regulation across these cell types. Importantly, by integrating differential transcript expression and usage analyses, we gained deeper insights into transcript dynamics that are not captured by gene-level expression analysis alone. Differential transcript usage analysis highlighted transcript-specific changes in disease-relevant genes such as <i>APP</i>, <i>KIF2A</i> and <i>BSCL2</i>, associated with Alzheimer's disease, neuronal migration disorders and degenerative axonopathies, respectively. This added resolution emphasizes the significance of transcript-level variations that often remain hidden in traditional differential gene expression analyses. Overall, our work provides a framework for understanding transcript diversity in both pluripotent and specialized cell types, which can be used to investigate transcriptomic changes in disease states in future work. Additionally, this study underscores the utility of differential transcript usage analysis in advancing our understanding of neurodevelopmental and neurodegenerative diseases, paving the way for identifying transcript-specific therapeutic targets.</p>\",\"PeriodicalId\":19629,\"journal\":{\"name\":\"Open Biology\",\"volume\":\"15 7\",\"pages\":\"250200\"},\"PeriodicalIF\":3.6000,\"publicationDate\":\"2025-07-01\",\"publicationTypes\":\"Journal Article\",\"fieldsOfStudy\":null,\"isOpenAccess\":false,\"openAccessPdf\":\"https://www.ncbi.nlm.nih.gov/pmc/articles/PMC12308531/pdf/\",\"citationCount\":\"0\",\"resultStr\":null,\"platform\":\"Semanticscholar\",\"paperid\":null,\"PeriodicalName\":\"Open Biology\",\"FirstCategoryId\":\"99\",\"ListUrlMain\":\"https://doi.org/10.1098/rsob.250200\",\"RegionNum\":3,\"RegionCategory\":\"生物学\",\"ArticlePicture\":[],\"TitleCN\":null,\"AbstractTextCN\":null,\"PMCID\":null,\"EPubDate\":\"2025/7/30 0:00:00\",\"PubModel\":\"Epub\",\"JCR\":\"Q1\",\"JCRName\":\"BIOCHEMISTRY & MOLECULAR BIOLOGY\",\"Score\":null,\"Total\":0}","platform":"Semanticscholar","paperid":null,"PeriodicalName":"Open Biology","FirstCategoryId":"99","ListUrlMain":"https://doi.org/10.1098/rsob.250200","RegionNum":3,"RegionCategory":"生物学","ArticlePicture":[],"TitleCN":null,"AbstractTextCN":null,"PMCID":null,"EPubDate":"2025/7/30 0:00:00","PubModel":"Epub","JCR":"Q1","JCRName":"BIOCHEMISTRY & MOLECULAR BIOLOGY","Score":null,"Total":0}
引用次数: 0

摘要

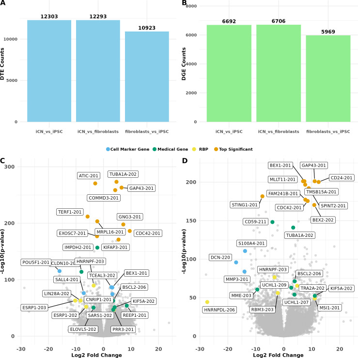
长读RNA测序改变了转录组分析,实现了全长转录的全面定位,提供了前所未有的转录多样性、选择性剪接和转录特异性调控的解决方案。在这项研究中,我们利用纳米孔长读RNA测序分析了三种常用的脑疾病模型细胞类型的转录组,分别是人成纤维细胞、诱导多能干细胞和干细胞衍生皮质神经元,发现了广泛的转录多样性,干细胞衍生皮质神经元中有15072个转录本,成纤维细胞中有13048个转录本,诱导多能干细胞中有12759个转录本。我们的分析揭示了35519个差异转录物表达事件和5135个差异转录物使用事件,强调了这些细胞类型中转录组调控的复杂性。重要的是,通过整合差异转录物表达和使用分析,我们对转录物动力学有了更深入的了解,这是单独通过基因水平表达分析无法捕获的。差异转录物使用分析强调了APP、KIF2A和BSCL2等疾病相关基因的转录特异性变化,这些基因分别与阿尔茨海默病、神经元迁移障碍和退行性轴突病相关。这种增加的分辨率强调了转录水平变化的重要性,这些变化往往隐藏在传统的差异基因表达分析中。总的来说,我们的工作为理解多能和特化细胞类型的转录多样性提供了一个框架,这可以在未来的工作中用于研究疾病状态的转录组变化。此外,本研究强调了差异转录物使用分析在促进我们对神经发育和神经退行性疾病的理解方面的效用,为确定转录特异性治疗靶点铺平了道路。
本文章由计算机程序翻译,如有差异,请以英文原文为准。

Long-read RNA-sequencing reveals transcript-specific regulation in human-derived cortical neurons.

Long-read RNA-sequencing reveals transcript-specific regulation in human-derived cortical neurons.

Long-read RNA-sequencing reveals transcript-specific regulation in human-derived cortical neurons.

Long-read RNA-sequencing reveals transcript-specific regulation in human-derived cortical neurons.

Long-read RNA sequencing has transformed transcriptome analysis by enabling comprehensive mapping of full-length transcripts, providing an unprecedented resolution of transcript diversity, alternative splicing and transcript-specific regulation. In this study, we employed nanopore long-read RNA sequencing to profile the transcriptomes of three cell types commonly used to model brain disorders, human fibroblasts, induced pluripotent stem cells and stem cell-derived cortical neurons, identifying extensive transcript diversity with 15 072 transcripts in stem cell-derived cortical neurons, 13 048 in fibroblasts and 12 759 in induced pluripotent stem cells. Our analyses uncovered 35 519 differential transcript expression events and 5135 differential transcript usage events, underscoring the complexity of transcriptomic regulation across these cell types. Importantly, by integrating differential transcript expression and usage analyses, we gained deeper insights into transcript dynamics that are not captured by gene-level expression analysis alone. Differential transcript usage analysis highlighted transcript-specific changes in disease-relevant genes such as APP, KIF2A and BSCL2, associated with Alzheimer's disease, neuronal migration disorders and degenerative axonopathies, respectively. This added resolution emphasizes the significance of transcript-level variations that often remain hidden in traditional differential gene expression analyses. Overall, our work provides a framework for understanding transcript diversity in both pluripotent and specialized cell types, which can be used to investigate transcriptomic changes in disease states in future work. Additionally, this study underscores the utility of differential transcript usage analysis in advancing our understanding of neurodevelopmental and neurodegenerative diseases, paving the way for identifying transcript-specific therapeutic targets.

求助全文
通过发布文献求助,成功后即可免费获取论文全文。 去求助
来源期刊
Open Biology
Open Biology BIOCHEMISTRY & MOLECULAR BIOLOGY-
CiteScore
10.00
自引率
1.70%
发文量
136
审稿时长
6-12 weeks
期刊介绍: Open Biology is an online journal that welcomes original, high impact research in cell and developmental biology, molecular and structural biology, biochemistry, neuroscience, immunology, microbiology and genetics.
×
引用
GB/T 7714-2015
复制
MLA
复制
APA
复制
导出至
BibTeX EndNote RefMan NoteFirst NoteExpress
×
提示
您的信息不完整,为了账户安全,请先补充。
现在去补充
×
提示
您因"违规操作"
具体请查看互助需知
我知道了
×
提示
确定
请完成安全验证×
copy
已复制链接
快去分享给好友吧!
我知道了
右上角分享
点击右上角分享
0
联系我们:info@booksci.cn Book学术提供免费学术资源搜索服务,方便国内外学者检索中英文文献。致力于提供最便捷和优质的服务体验。 Copyright © 2023 布克学术 All rights reserved.
京ICP备2023020795号-1
ghs 京公网安备 11010802042870号
Book学术文献互助
Book学术文献互助群
群 号:604180095
Book学术官方微信