左旋香剂治疗失眠期间肠道微生物组成的变化。

IF 3.4 2区 医学 Q2 CLINICAL NEUROLOGY
Nature and Science of Sleep Pub Date : 2025-07-25 eCollection Date: 2025-01-01 DOI:10.2147/NSS.S526037
Seiko Miyata, Kunihiro Iwamoto, Mikako Ito, Ippei Okada, Nao Matsuyama, Akihiro Fujimoto, Yuki Kogo, Hiroshi Nishiwaki, Jun Ueyama, Kinji Ohno, Norio Ozaki
{"title":"左旋香剂治疗失眠期间肠道微生物组成的变化。","authors":"Seiko Miyata, Kunihiro Iwamoto, Mikako Ito, Ippei Okada, Nao Matsuyama, Akihiro Fujimoto, Yuki Kogo, Hiroshi Nishiwaki, Jun Ueyama, Kinji Ohno, Norio Ozaki","doi":"10.2147/NSS.S526037","DOIUrl":null,"url":null,"abstract":"<p><strong>Purpose: </strong>Insomnia is a common disorder worldwide. Growing evidence has revealed that the microbiota-gut-brain axis contributes to the regulation of sleep continuity and duration, both directly and indirectly. Although lemborexant is effective in treating insomnia, its effect on the gut microbiota remains unclear. Here, we investigated the relationship between the gut microbiota and hypnotic use in insomnia.</p><p><strong>Participants and methods: </strong>We enrolled 29 adults with insomnia and performed sleep electroencephalography and stool analyses at baseline and after 4 and 12 weeks of open-label lemborexant treatment. Changes in gut microbiota were analyzed using 16S rRNA sequencing and metabolite analysis was performed to assess short-chain fatty acids (SCFAs).</p><p><strong>Results: </strong>Beta diversity (Jaccard dissimilarity) and Firmicutes/Bacteroidetes ratio significantly increased after administration of lemborexant for 12 weeks (p < 0.05). Seven genera were significantly different (p < 0.05). Among these, <i>Tannerellaceae Parabacteroides</i> decreased significantly after 12 weeks of lemborexant treatment (p = 0.013), even after correcting for false discovery rates. <i>Akkermansia</i> was strongly negatively correlated with sleep efficiency (r = -0.754, p = 0.0003). <i>Allisonella</i> showed opposite correlations with latency to persistent sleep and sleep efficiency after 12 weeks of lemborexant treatment (r = 0.523, p = 0.018, r = -0.516, p = 0.020, respectively). There were no significant differences in SCFAs during the treatment period.</p><p><strong>Conclusion: </strong>Our findings suggest that prolonged lemborexant treatment in individuals with insomnia may induce notable shifts in gut microbiota composition, including a significant reduction in <i>Parabacteroides</i> underscoring the potential interaction between hypnotic use and gut microbial balance.</p>","PeriodicalId":18896,"journal":{"name":"Nature and Science of Sleep","volume":"17 ","pages":"1709-1726"},"PeriodicalIF":3.4000,"publicationDate":"2025-07-25","publicationTypes":"Journal Article","fieldsOfStudy":null,"isOpenAccess":false,"openAccessPdf":"https://www.ncbi.nlm.nih.gov/pmc/articles/PMC12306542/pdf/","citationCount":"0","resultStr":"{\"title\":\"Gut Microbiome Composition Changes During Insomnia Treatment with Lemborexant.\",\"authors\":\"Seiko Miyata, Kunihiro Iwamoto, Mikako Ito, Ippei Okada, Nao Matsuyama, Akihiro Fujimoto, Yuki Kogo, Hiroshi Nishiwaki, Jun Ueyama, Kinji Ohno, Norio Ozaki\",\"doi\":\"10.2147/NSS.S526037\",\"DOIUrl\":null,\"url\":null,\"abstract\":\"<p><strong>Purpose: </strong>Insomnia is a common disorder worldwide. Growing evidence has revealed that the microbiota-gut-brain axis contributes to the regulation of sleep continuity and duration, both directly and indirectly. Although lemborexant is effective in treating insomnia, its effect on the gut microbiota remains unclear. Here, we investigated the relationship between the gut microbiota and hypnotic use in insomnia.</p><p><strong>Participants and methods: </strong>We enrolled 29 adults with insomnia and performed sleep electroencephalography and stool analyses at baseline and after 4 and 12 weeks of open-label lemborexant treatment. Changes in gut microbiota were analyzed using 16S rRNA sequencing and metabolite analysis was performed to assess short-chain fatty acids (SCFAs).</p><p><strong>Results: </strong>Beta diversity (Jaccard dissimilarity) and Firmicutes/Bacteroidetes ratio significantly increased after administration of lemborexant for 12 weeks (p < 0.05). Seven genera were significantly different (p < 0.05). Among these, <i>Tannerellaceae Parabacteroides</i> decreased significantly after 12 weeks of lemborexant treatment (p = 0.013), even after correcting for false discovery rates. <i>Akkermansia</i> was strongly negatively correlated with sleep efficiency (r = -0.754, p = 0.0003). <i>Allisonella</i> showed opposite correlations with latency to persistent sleep and sleep efficiency after 12 weeks of lemborexant treatment (r = 0.523, p = 0.018, r = -0.516, p = 0.020, respectively). There were no significant differences in SCFAs during the treatment period.</p><p><strong>Conclusion: </strong>Our findings suggest that prolonged lemborexant treatment in individuals with insomnia may induce notable shifts in gut microbiota composition, including a significant reduction in <i>Parabacteroides</i> underscoring the potential interaction between hypnotic use and gut microbial balance.</p>\",\"PeriodicalId\":18896,\"journal\":{\"name\":\"Nature and Science of Sleep\",\"volume\":\"17 \",\"pages\":\"1709-1726\"},\"PeriodicalIF\":3.4000,\"publicationDate\":\"2025-07-25\",\"publicationTypes\":\"Journal Article\",\"fieldsOfStudy\":null,\"isOpenAccess\":false,\"openAccessPdf\":\"https://www.ncbi.nlm.nih.gov/pmc/articles/PMC12306542/pdf/\",\"citationCount\":\"0\",\"resultStr\":null,\"platform\":\"Semanticscholar\",\"paperid\":null,\"PeriodicalName\":\"Nature and Science of Sleep\",\"FirstCategoryId\":\"3\",\"ListUrlMain\":\"https://doi.org/10.2147/NSS.S526037\",\"RegionNum\":2,\"RegionCategory\":\"医学\",\"ArticlePicture\":[],\"TitleCN\":null,\"AbstractTextCN\":null,\"PMCID\":null,\"EPubDate\":\"2025/1/1 0:00:00\",\"PubModel\":\"eCollection\",\"JCR\":\"Q2\",\"JCRName\":\"CLINICAL NEUROLOGY\",\"Score\":null,\"Total\":0}","platform":"Semanticscholar","paperid":null,"PeriodicalName":"Nature and Science of Sleep","FirstCategoryId":"3","ListUrlMain":"https://doi.org/10.2147/NSS.S526037","RegionNum":2,"RegionCategory":"医学","ArticlePicture":[],"TitleCN":null,"AbstractTextCN":null,"PMCID":null,"EPubDate":"2025/1/1 0:00:00","PubModel":"eCollection","JCR":"Q2","JCRName":"CLINICAL NEUROLOGY","Score":null,"Total":0}
引用次数: 0

摘要

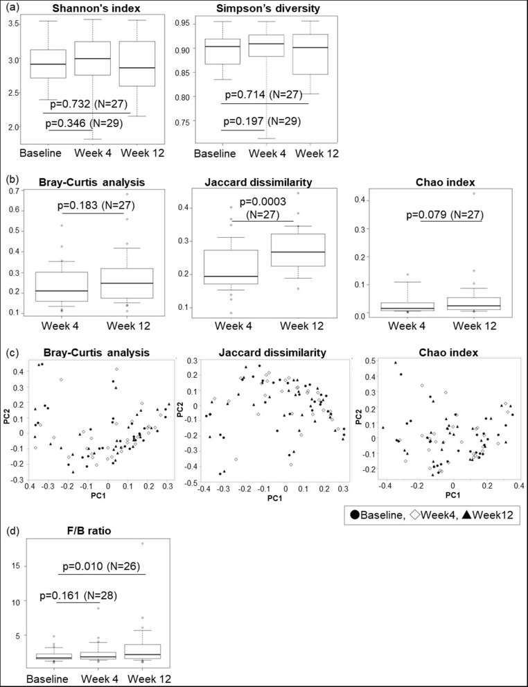
目的:失眠是世界范围内的一种常见疾病。越来越多的证据表明,微生物-肠道-大脑轴直接或间接地调节了睡眠的连续性和持续时间。虽然lemborexant对治疗失眠有效,但其对肠道微生物群的影响尚不清楚。在这里,我们研究了肠道微生物群与失眠患者使用催眠药之间的关系。参与者和方法:我们招募了29名患有失眠症的成年人,并在基线和4周和12周开放标签治疗后进行了睡眠脑电图和粪便分析。使用16S rRNA测序分析肠道菌群的变化,并进行代谢物分析以评估短链脂肪酸(SCFAs)。结果:给药12周后β多样性(Jaccard不相似性)和厚壁菌门/拟杆菌门比值显著升高(p < 0.05)。7个属差异有统计学意义(p < 0.05)。其中,即使校正了错误发现率,鞣科副杆菌在12周的光照处理后也显著减少(p = 0.013)。Akkermansia与睡眠效率呈显著负相关(r = -0.754, p = 0.0003)。大蒜菌与持续睡眠潜伏期和睡眠效率在治疗12周后呈现相反的相关性(r = 0.523, p = 0.018, r = -0.516, p = 0.020)。在治疗期间,scfa无显著差异。结论:我们的研究结果表明,失眠患者的长期催眠治疗可能会引起肠道微生物群组成的显著变化,包括拟副杆菌的显著减少,这强调了催眠使用与肠道微生物平衡之间的潜在相互作用。
本文章由计算机程序翻译,如有差异,请以英文原文为准。

Gut Microbiome Composition Changes During Insomnia Treatment with Lemborexant.

Gut Microbiome Composition Changes During Insomnia Treatment with Lemborexant.

Gut Microbiome Composition Changes During Insomnia Treatment with Lemborexant.

Gut Microbiome Composition Changes During Insomnia Treatment with Lemborexant.

Purpose: Insomnia is a common disorder worldwide. Growing evidence has revealed that the microbiota-gut-brain axis contributes to the regulation of sleep continuity and duration, both directly and indirectly. Although lemborexant is effective in treating insomnia, its effect on the gut microbiota remains unclear. Here, we investigated the relationship between the gut microbiota and hypnotic use in insomnia.

Participants and methods: We enrolled 29 adults with insomnia and performed sleep electroencephalography and stool analyses at baseline and after 4 and 12 weeks of open-label lemborexant treatment. Changes in gut microbiota were analyzed using 16S rRNA sequencing and metabolite analysis was performed to assess short-chain fatty acids (SCFAs).

Results: Beta diversity (Jaccard dissimilarity) and Firmicutes/Bacteroidetes ratio significantly increased after administration of lemborexant for 12 weeks (p < 0.05). Seven genera were significantly different (p < 0.05). Among these, Tannerellaceae Parabacteroides decreased significantly after 12 weeks of lemborexant treatment (p = 0.013), even after correcting for false discovery rates. Akkermansia was strongly negatively correlated with sleep efficiency (r = -0.754, p = 0.0003). Allisonella showed opposite correlations with latency to persistent sleep and sleep efficiency after 12 weeks of lemborexant treatment (r = 0.523, p = 0.018, r = -0.516, p = 0.020, respectively). There were no significant differences in SCFAs during the treatment period.

Conclusion: Our findings suggest that prolonged lemborexant treatment in individuals with insomnia may induce notable shifts in gut microbiota composition, including a significant reduction in Parabacteroides underscoring the potential interaction between hypnotic use and gut microbial balance.

求助全文
通过发布文献求助,成功后即可免费获取论文全文。 去求助
来源期刊
Nature and Science of Sleep
Nature and Science of Sleep Neuroscience-Behavioral Neuroscience
CiteScore
5.70
自引率
5.90%
发文量
245
审稿时长
16 weeks
期刊介绍: Nature and Science of Sleep is an international, peer-reviewed, open access journal covering all aspects of sleep science and sleep medicine, including the neurophysiology and functions of sleep, the genetics of sleep, sleep and society, biological rhythms, dreaming, sleep disorders and therapy, and strategies to optimize healthy sleep. Specific topics covered in the journal include: The functions of sleep in humans and other animals Physiological and neurophysiological changes with sleep The genetics of sleep and sleep differences The neurotransmitters, receptors and pathways involved in controlling both sleep and wakefulness Behavioral and pharmacological interventions aimed at improving sleep, and improving wakefulness Sleep changes with development and with age Sleep and reproduction (e.g., changes across the menstrual cycle, with pregnancy and menopause) The science and nature of dreams Sleep disorders Impact of sleep and sleep disorders on health, daytime function and quality of life Sleep problems secondary to clinical disorders Interaction of society with sleep (e.g., consequences of shift work, occupational health, public health) The microbiome and sleep Chronotherapy Impact of circadian rhythms on sleep, physiology, cognition and health Mechanisms controlling circadian rhythms, centrally and peripherally Impact of circadian rhythm disruptions (including night shift work, jet lag and social jet lag) on sleep, physiology, cognition and health Behavioral and pharmacological interventions aimed at reducing adverse effects of circadian-related sleep disruption Assessment of technologies and biomarkers for measuring sleep and/or circadian rhythms Epigenetic markers of sleep or circadian disruption.
×
引用
GB/T 7714-2015
复制
MLA
复制
APA
复制
导出至
BibTeX EndNote RefMan NoteFirst NoteExpress
×
提示
您的信息不完整,为了账户安全,请先补充。
现在去补充
×
提示
您因"违规操作"
具体请查看互助需知
我知道了
×
提示
确定
请完成安全验证×
copy
已复制链接
快去分享给好友吧!
我知道了
右上角分享
点击右上角分享
0
联系我们:info@booksci.cn Book学术提供免费学术资源搜索服务,方便国内外学者检索中英文文献。致力于提供最便捷和优质的服务体验。 Copyright © 2023 布克学术 All rights reserved.
京ICP备2023020795号-1
ghs 京公网安备 11010802042870号
Book学术文献互助
Book学术文献互助群
群 号:604180095
Book学术官方微信