添加棕色亚麻籽优化富含Omega-3脂肪酸的杏仁饮料采用d -最优混合图法。

IF 2.5 4区 农林科学 Q3 BIOTECHNOLOGY & APPLIED MICROBIOLOGY
Zeinab El Hajj Hussein, Jiuliane Martins Silva, Matheus Campos Castro, Nathalia Elias Borges, Bruno Henrique Figueiredo Saqueti
{"title":"添加棕色亚麻籽优化富含Omega-3脂肪酸的杏仁饮料采用d -最优混合图法。","authors":"Zeinab El Hajj Hussein, Jiuliane Martins Silva, Matheus Campos Castro, Nathalia Elias Borges, Bruno Henrique Figueiredo Saqueti","doi":"10.17113/ftb.63.02.25.8460","DOIUrl":null,"url":null,"abstract":"<p><strong>Research background: </strong>The almond beverage enriched with flaxseed is an important source of α-linolenic acid (ALA), an essential omega-3 fatty acid that the human body cannot synthesize and must obtain it through the diet. Although omega-3 fatty acids are essential for all people, this beverage is particularly beneficial for those who do not consume fish, such as vegans and vegetarians, as it is a plant-based source of ALA. Its versatility allows it to be easily incorporated into different recipes and daily meals. Therefore, this study aims to optimize a plant-based almond beverage enriched with flaxseed, offering a natural and completely vegan source of omega-3 fatty acids.</p><p><strong>Experimental approach: </strong>The initial formulation of the drink comprised 75 % raw almonds and 25 % flaxseed mixture, water (in 1:6 ratio) and 4 % sweetener. Following preliminary tests, the beverage was optimized using the mixing method to determine the ideal proportions of the ingredients. This process resulted in 16 samples, each with different minimum and maximum amounts of each ingredient, which were replicated and analyzed. One of the formulations achieved an optimal mass fraction of 4.27 mg/g of omega-3 fatty acids and a viscosity of 6.03 mPa<sup>.</sup>s. The physicochemical properties, bioactive compounds, fatty acid composition and lipid profile of the optimized beverage were evaluated.</p><p><strong>Results and conclusions: </strong>The addition of flaxseed had a significant effect on the lipid profile and increased the alpha-linolenic acid content in the beverage by 1960 times, eventually reaching 3.92 %. This optimization enriched the beverage with omega-3 fatty acids and improved the concentration of antioxidants and carotenoids. Importantly, these improvements did not significantly affect the color and viscosity of the final product, creating an affordable option that can benefit the vegan and vegetarian community.</p><p><strong>Novelty and scientific contribution: </strong>This study shows that the response surface model effectively identified the ideal composition for the beverage, leading to an optimized formulation of a plant-based drink. This composition could have promising applications in the food industry.</p>","PeriodicalId":12400,"journal":{"name":"Food Technology and Biotechnology","volume":"63 2","pages":"274-284"},"PeriodicalIF":2.5000,"publicationDate":"2025-06-01","publicationTypes":"Journal Article","fieldsOfStudy":null,"isOpenAccess":false,"openAccessPdf":"https://www.ncbi.nlm.nih.gov/pmc/articles/PMC12270577/pdf/","citationCount":"0","resultStr":"{\"title\":\"Optimization of Almond Beverage Enriched with Omega-3 Fatty Acids by Adding Brown Flaxseeds (<i>Linum usitatissimum</i> L.) Using D-Optimal Mixing Diagram Method.\",\"authors\":\"Zeinab El Hajj Hussein, Jiuliane Martins Silva, Matheus Campos Castro, Nathalia Elias Borges, Bruno Henrique Figueiredo Saqueti\",\"doi\":\"10.17113/ftb.63.02.25.8460\",\"DOIUrl\":null,\"url\":null,\"abstract\":\"<p><strong>Research background: </strong>The almond beverage enriched with flaxseed is an important source of α-linolenic acid (ALA), an essential omega-3 fatty acid that the human body cannot synthesize and must obtain it through the diet. Although omega-3 fatty acids are essential for all people, this beverage is particularly beneficial for those who do not consume fish, such as vegans and vegetarians, as it is a plant-based source of ALA. Its versatility allows it to be easily incorporated into different recipes and daily meals. Therefore, this study aims to optimize a plant-based almond beverage enriched with flaxseed, offering a natural and completely vegan source of omega-3 fatty acids.</p><p><strong>Experimental approach: </strong>The initial formulation of the drink comprised 75 % raw almonds and 25 % flaxseed mixture, water (in 1:6 ratio) and 4 % sweetener. Following preliminary tests, the beverage was optimized using the mixing method to determine the ideal proportions of the ingredients. This process resulted in 16 samples, each with different minimum and maximum amounts of each ingredient, which were replicated and analyzed. One of the formulations achieved an optimal mass fraction of 4.27 mg/g of omega-3 fatty acids and a viscosity of 6.03 mPa<sup>.</sup>s. The physicochemical properties, bioactive compounds, fatty acid composition and lipid profile of the optimized beverage were evaluated.</p><p><strong>Results and conclusions: </strong>The addition of flaxseed had a significant effect on the lipid profile and increased the alpha-linolenic acid content in the beverage by 1960 times, eventually reaching 3.92 %. This optimization enriched the beverage with omega-3 fatty acids and improved the concentration of antioxidants and carotenoids. Importantly, these improvements did not significantly affect the color and viscosity of the final product, creating an affordable option that can benefit the vegan and vegetarian community.</p><p><strong>Novelty and scientific contribution: </strong>This study shows that the response surface model effectively identified the ideal composition for the beverage, leading to an optimized formulation of a plant-based drink. This composition could have promising applications in the food industry.</p>\",\"PeriodicalId\":12400,\"journal\":{\"name\":\"Food Technology and Biotechnology\",\"volume\":\"63 2\",\"pages\":\"274-284\"},\"PeriodicalIF\":2.5000,\"publicationDate\":\"2025-06-01\",\"publicationTypes\":\"Journal Article\",\"fieldsOfStudy\":null,\"isOpenAccess\":false,\"openAccessPdf\":\"https://www.ncbi.nlm.nih.gov/pmc/articles/PMC12270577/pdf/\",\"citationCount\":\"0\",\"resultStr\":null,\"platform\":\"Semanticscholar\",\"paperid\":null,\"PeriodicalName\":\"Food Technology and Biotechnology\",\"FirstCategoryId\":\"97\",\"ListUrlMain\":\"https://doi.org/10.17113/ftb.63.02.25.8460\",\"RegionNum\":4,\"RegionCategory\":\"农林科学\",\"ArticlePicture\":[],\"TitleCN\":null,\"AbstractTextCN\":null,\"PMCID\":null,\"EPubDate\":\"\",\"PubModel\":\"\",\"JCR\":\"Q3\",\"JCRName\":\"BIOTECHNOLOGY & APPLIED MICROBIOLOGY\",\"Score\":null,\"Total\":0}","platform":"Semanticscholar","paperid":null,"PeriodicalName":"Food Technology and Biotechnology","FirstCategoryId":"97","ListUrlMain":"https://doi.org/10.17113/ftb.63.02.25.8460","RegionNum":4,"RegionCategory":"农林科学","ArticlePicture":[],"TitleCN":null,"AbstractTextCN":null,"PMCID":null,"EPubDate":"","PubModel":"","JCR":"Q3","JCRName":"BIOTECHNOLOGY & APPLIED MICROBIOLOGY","Score":null,"Total":0}
引用次数: 0

摘要

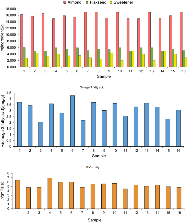
研究背景:富含亚麻籽的杏仁饮料是α-亚麻酸(ALA)的重要来源,α-亚麻酸是人体无法合成的必需omega-3脂肪酸,必须通过饮食获得。虽然omega-3脂肪酸对所有人都是必需的,但这种饮料对那些不吃鱼的人尤其有益,比如严格素食者和素食者,因为它是一种基于植物的ALA来源。它的多功能性使它很容易融入到不同的食谱和日常膳食中。因此,本研究旨在优化一种富含亚麻籽的植物性杏仁饮料,提供天然和完全素食的omega-3脂肪酸来源。实验方法:饮料的初始配方包括75%的生杏仁和25%的亚麻籽混合物,水(1:6的比例)和4%的甜味剂。通过初步试验,采用混合法对饮料进行了优化,确定了各成分的理想配比。这个过程产生了16个样品,每个样品中每种成分的最小和最大含量不同,这些样品被复制和分析。其中一种配方的omega-3脂肪酸的最佳质量分数为4.27 mg/g,粘度为6.03 mPa.s。对优化后的饮料的理化性质、生物活性成分、脂肪酸组成和脂质谱进行了评价。结果与结论:添加亚麻籽对饮料的脂质有显著影响,使饮料中α -亚麻酸含量提高了60倍,最终达到3.92%。这种优化提高了饮料中omega-3脂肪酸的含量,提高了抗氧化剂和类胡萝卜素的浓度。重要的是,这些改进并没有显著影响最终产品的颜色和粘度,创造了一个实惠的选择,可以使素食主义者和素食主义者社区受益。新颖性和科学贡献:本研究表明,响应面模型有效地确定了饮料的理想成分,从而优化了植物性饮料的配方。该组合物在食品工业中具有广阔的应用前景。
本文章由计算机程序翻译,如有差异,请以英文原文为准。

Optimization of Almond Beverage Enriched with Omega-3 Fatty Acids by Adding Brown Flaxseeds (<i>Linum usitatissimum</i> L.) Using D-Optimal Mixing Diagram Method.

Optimization of Almond Beverage Enriched with Omega-3 Fatty Acids by Adding Brown Flaxseeds (<i>Linum usitatissimum</i> L.) Using D-Optimal Mixing Diagram Method.

Optimization of Almond Beverage Enriched with Omega-3 Fatty Acids by Adding Brown Flaxseeds (<i>Linum usitatissimum</i> L.) Using D-Optimal Mixing Diagram Method.

Optimization of Almond Beverage Enriched with Omega-3 Fatty Acids by Adding Brown Flaxseeds (Linum usitatissimum L.) Using D-Optimal Mixing Diagram Method.

Research background: The almond beverage enriched with flaxseed is an important source of α-linolenic acid (ALA), an essential omega-3 fatty acid that the human body cannot synthesize and must obtain it through the diet. Although omega-3 fatty acids are essential for all people, this beverage is particularly beneficial for those who do not consume fish, such as vegans and vegetarians, as it is a plant-based source of ALA. Its versatility allows it to be easily incorporated into different recipes and daily meals. Therefore, this study aims to optimize a plant-based almond beverage enriched with flaxseed, offering a natural and completely vegan source of omega-3 fatty acids.

Experimental approach: The initial formulation of the drink comprised 75 % raw almonds and 25 % flaxseed mixture, water (in 1:6 ratio) and 4 % sweetener. Following preliminary tests, the beverage was optimized using the mixing method to determine the ideal proportions of the ingredients. This process resulted in 16 samples, each with different minimum and maximum amounts of each ingredient, which were replicated and analyzed. One of the formulations achieved an optimal mass fraction of 4.27 mg/g of omega-3 fatty acids and a viscosity of 6.03 mPa.s. The physicochemical properties, bioactive compounds, fatty acid composition and lipid profile of the optimized beverage were evaluated.

Results and conclusions: The addition of flaxseed had a significant effect on the lipid profile and increased the alpha-linolenic acid content in the beverage by 1960 times, eventually reaching 3.92 %. This optimization enriched the beverage with omega-3 fatty acids and improved the concentration of antioxidants and carotenoids. Importantly, these improvements did not significantly affect the color and viscosity of the final product, creating an affordable option that can benefit the vegan and vegetarian community.

Novelty and scientific contribution: This study shows that the response surface model effectively identified the ideal composition for the beverage, leading to an optimized formulation of a plant-based drink. This composition could have promising applications in the food industry.

求助全文
通过发布文献求助,成功后即可免费获取论文全文。 去求助
来源期刊
Food Technology and Biotechnology
Food Technology and Biotechnology 工程技术-生物工程与应用微生物
CiteScore
3.70
自引率
0.00%
发文量
33
审稿时长
12 months
期刊介绍: Food Technology and Biotechnology (FTB) is a diamond open access, peer-reviewed international quarterly scientific journal that publishes papers covering a wide range of topics, including molecular biology, genetic engineering, biochemistry, microbiology, biochemical engineering and biotechnological processing, food science, analysis of food ingredients and final products, food processing and technology, oenology and waste treatment. The Journal is published by the University of Zagreb, Faculty of Food Technology and Biotechnology, Croatia. It is an official journal of Croatian Society of Biotechnology and Slovenian Microbiological Society, financed by the Croatian Ministry of Science and Education, and supported by the Croatian Academy of Sciences and Arts.
×
引用
GB/T 7714-2015
复制
MLA
复制
APA
复制
导出至
BibTeX EndNote RefMan NoteFirst NoteExpress
×
提示
您的信息不完整,为了账户安全,请先补充。
现在去补充
×
提示
您因"违规操作"
具体请查看互助需知
我知道了
×
提示
确定
请完成安全验证×
copy
已复制链接
快去分享给好友吧!
我知道了
右上角分享
点击右上角分享
0
联系我们:info@booksci.cn Book学术提供免费学术资源搜索服务,方便国内外学者检索中英文文献。致力于提供最便捷和优质的服务体验。 Copyright © 2023 布克学术 All rights reserved.
京ICP备2023020795号-1
ghs 京公网安备 11010802042870号
Book学术文献互助
Book学术文献互助群
群 号:604180095
Book学术官方微信