补体C3预测90天内合并细菌感染的肝硬化患者的急性慢性肝功能衰竭:一项队列研究

IF 1.8 4区 医学 Q3 GASTROENTEROLOGY & HEPATOLOGY
Shuling Chen, Ruiqi Li, Hongli Liu, Xiaoning Feng, Hui Zhou, Wenquan Zeng, Hao Ren, Qingfang Xiong, Caiyun Zhang, Xixuan Wang, Yongfeng Yang
{"title":"补体C3预测90天内合并细菌感染的肝硬化患者的急性慢性肝功能衰竭:一项队列研究","authors":"Shuling Chen, Ruiqi Li, Hongli Liu, Xiaoning Feng, Hui Zhou, Wenquan Zeng, Hao Ren, Qingfang Xiong, Caiyun Zhang, Xixuan Wang, Yongfeng Yang","doi":"10.1097/MEG.0000000000002991","DOIUrl":null,"url":null,"abstract":"<p><strong>Objective: </strong>Cirrhotic patients with bacterial infections (BI) face high risks of acute-on-chronic liver failure (ACLF) and mortality. This study assessed the diagnostic value of serum complement component 3 (C3) for predicting 90-day ACLF and mortality in this population.</p><p><strong>Methods: </strong>We prospectively analyzed clinical data from 105 cirrhotic patients with BI (mean age 57.2 ± 11.6 years; 57 male) admitted to the Second Hospital of Nanjing between September 2023 and March 2024. Primary outcomes were ACLF development and mortality within 90 days.</p><p><strong>Results: </strong>Thirty-one patients (29.5%) developed ACLF within 90 days. Lower C3 levels independently predicted both ACLF [hazard ratio (HR): 0.14, 95% confidence interval (CI): 0.02-0.93; P = 0.04) and mortality (HR: 0.10, 95% CI: 0.00-0.89; P = 0.01). Time-dependent receiver operating characteristic analysis showed C3 predicted ACLF with AUROCs of 0.76 (30 day), 0.73 (60 day), and 0.72 (90 day). For mortality, areas under the time-dependent receiver operating characteristic curves (AUROCs) were 0.76 (30 day), 0.69 (60 day), and 0.68 (90 day). A cutoff of 0.66 g/L was established using etiology-adjusted restricted cubic spline. C3 correction improved the predictive AUROCs of Child-Turcotte-Pugh, Model of End-Stage Liver Disease, and the Chronic Liver Failure Consortium Acute Decompensation scores for mortality (all P > 0.05). Random forest regression identified C3 among the top 10 risk factors for ACLF development.</p><p><strong>Conclusion: </strong>Serum C3 demonstrates significant prognostic value as a predictor for 90-day ACLF and mortality in cirrhotic patients with bacterial infections, offering potential clinical utility in risk stratification.</p>","PeriodicalId":11999,"journal":{"name":"European Journal of Gastroenterology & Hepatology","volume":" ","pages":"1147-1154"},"PeriodicalIF":1.8000,"publicationDate":"2025-10-01","publicationTypes":"Journal Article","fieldsOfStudy":null,"isOpenAccess":false,"openAccessPdf":"https://www.ncbi.nlm.nih.gov/pmc/articles/PMC12382727/pdf/","citationCount":"0","resultStr":"{\"title\":\"Complement C3 predicting acute-on-chronic liver failure in cirrhotic patients with bacterial infection within 90 days: a cohort study.\",\"authors\":\"Shuling Chen, Ruiqi Li, Hongli Liu, Xiaoning Feng, Hui Zhou, Wenquan Zeng, Hao Ren, Qingfang Xiong, Caiyun Zhang, Xixuan Wang, Yongfeng Yang\",\"doi\":\"10.1097/MEG.0000000000002991\",\"DOIUrl\":null,\"url\":null,\"abstract\":\"<p><strong>Objective: </strong>Cirrhotic patients with bacterial infections (BI) face high risks of acute-on-chronic liver failure (ACLF) and mortality. This study assessed the diagnostic value of serum complement component 3 (C3) for predicting 90-day ACLF and mortality in this population.</p><p><strong>Methods: </strong>We prospectively analyzed clinical data from 105 cirrhotic patients with BI (mean age 57.2 ± 11.6 years; 57 male) admitted to the Second Hospital of Nanjing between September 2023 and March 2024. Primary outcomes were ACLF development and mortality within 90 days.</p><p><strong>Results: </strong>Thirty-one patients (29.5%) developed ACLF within 90 days. Lower C3 levels independently predicted both ACLF [hazard ratio (HR): 0.14, 95% confidence interval (CI): 0.02-0.93; P = 0.04) and mortality (HR: 0.10, 95% CI: 0.00-0.89; P = 0.01). Time-dependent receiver operating characteristic analysis showed C3 predicted ACLF with AUROCs of 0.76 (30 day), 0.73 (60 day), and 0.72 (90 day). For mortality, areas under the time-dependent receiver operating characteristic curves (AUROCs) were 0.76 (30 day), 0.69 (60 day), and 0.68 (90 day). A cutoff of 0.66 g/L was established using etiology-adjusted restricted cubic spline. C3 correction improved the predictive AUROCs of Child-Turcotte-Pugh, Model of End-Stage Liver Disease, and the Chronic Liver Failure Consortium Acute Decompensation scores for mortality (all P > 0.05). Random forest regression identified C3 among the top 10 risk factors for ACLF development.</p><p><strong>Conclusion: </strong>Serum C3 demonstrates significant prognostic value as a predictor for 90-day ACLF and mortality in cirrhotic patients with bacterial infections, offering potential clinical utility in risk stratification.</p>\",\"PeriodicalId\":11999,\"journal\":{\"name\":\"European Journal of Gastroenterology & Hepatology\",\"volume\":\" \",\"pages\":\"1147-1154\"},\"PeriodicalIF\":1.8000,\"publicationDate\":\"2025-10-01\",\"publicationTypes\":\"Journal Article\",\"fieldsOfStudy\":null,\"isOpenAccess\":false,\"openAccessPdf\":\"https://www.ncbi.nlm.nih.gov/pmc/articles/PMC12382727/pdf/\",\"citationCount\":\"0\",\"resultStr\":null,\"platform\":\"Semanticscholar\",\"paperid\":null,\"PeriodicalName\":\"European Journal of Gastroenterology & Hepatology\",\"FirstCategoryId\":\"3\",\"ListUrlMain\":\"https://doi.org/10.1097/MEG.0000000000002991\",\"RegionNum\":4,\"RegionCategory\":\"医学\",\"ArticlePicture\":[],\"TitleCN\":null,\"AbstractTextCN\":null,\"PMCID\":null,\"EPubDate\":\"2025/8/27 0:00:00\",\"PubModel\":\"Epub\",\"JCR\":\"Q3\",\"JCRName\":\"GASTROENTEROLOGY & HEPATOLOGY\",\"Score\":null,\"Total\":0}","platform":"Semanticscholar","paperid":null,"PeriodicalName":"European Journal of Gastroenterology & Hepatology","FirstCategoryId":"3","ListUrlMain":"https://doi.org/10.1097/MEG.0000000000002991","RegionNum":4,"RegionCategory":"医学","ArticlePicture":[],"TitleCN":null,"AbstractTextCN":null,"PMCID":null,"EPubDate":"2025/8/27 0:00:00","PubModel":"Epub","JCR":"Q3","JCRName":"GASTROENTEROLOGY & HEPATOLOGY","Score":null,"Total":0}
引用次数: 0

摘要

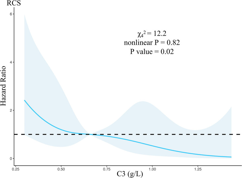
目的:肝硬化合并细菌感染(BI)患者面临急性慢性肝衰竭(ACLF)和死亡的高风险。本研究评估了血清补体成分3 (C3)对预测该人群90天ACLF和死亡率的诊断价值。方法:前瞻性分析105例肝硬化BI患者的临床资料(平均年龄57.2±11.6岁;于2023年9月至2024年3月入住南京第二医院。主要结局是ACLF的发展和90天内的死亡率。结果:31例(29.5%)患者在90天内发生ACLF。较低的C3水平独立预测ACLF[风险比(HR): 0.14, 95%可信区间(CI): 0.02-0.93;P = 0.04)和死亡率(HR: 0.10, 95% CI: 0.00-0.89;P = 0.01)。时间依赖性受试者工作特征分析显示C3预测ACLF的auroc分别为0.76(30天)、0.73(60天)和0.72(90天)。死亡率方面,时间依赖性受试者工作特征曲线(auroc)下面积分别为0.76(30天)、0.69(60天)和0.68(90天)。根据病因调整的限制三次样条曲线,临界值为0.66 g/L。C3矫正提高了child - turcote - pugh、终末期肝病模型和慢性肝功能衰竭联盟急性失代偿死亡率评分的预测auroc(均P < 0.05)。随机森林回归发现C3是ACLF发展的十大危险因素之一。结论:血清C3作为肝硬化合并细菌感染患者90天ACLF和死亡率的预测指标具有重要的预后价值,在危险分层中具有潜在的临床应用价值。
本文章由计算机程序翻译,如有差异,请以英文原文为准。

Complement C3 predicting acute-on-chronic liver failure in cirrhotic patients with bacterial infection within 90 days: a cohort study.

Complement C3 predicting acute-on-chronic liver failure in cirrhotic patients with bacterial infection within 90 days: a cohort study.

Complement C3 predicting acute-on-chronic liver failure in cirrhotic patients with bacterial infection within 90 days: a cohort study.

Complement C3 predicting acute-on-chronic liver failure in cirrhotic patients with bacterial infection within 90 days: a cohort study.

Objective: Cirrhotic patients with bacterial infections (BI) face high risks of acute-on-chronic liver failure (ACLF) and mortality. This study assessed the diagnostic value of serum complement component 3 (C3) for predicting 90-day ACLF and mortality in this population.

Methods: We prospectively analyzed clinical data from 105 cirrhotic patients with BI (mean age 57.2 ± 11.6 years; 57 male) admitted to the Second Hospital of Nanjing between September 2023 and March 2024. Primary outcomes were ACLF development and mortality within 90 days.

Results: Thirty-one patients (29.5%) developed ACLF within 90 days. Lower C3 levels independently predicted both ACLF [hazard ratio (HR): 0.14, 95% confidence interval (CI): 0.02-0.93; P = 0.04) and mortality (HR: 0.10, 95% CI: 0.00-0.89; P = 0.01). Time-dependent receiver operating characteristic analysis showed C3 predicted ACLF with AUROCs of 0.76 (30 day), 0.73 (60 day), and 0.72 (90 day). For mortality, areas under the time-dependent receiver operating characteristic curves (AUROCs) were 0.76 (30 day), 0.69 (60 day), and 0.68 (90 day). A cutoff of 0.66 g/L was established using etiology-adjusted restricted cubic spline. C3 correction improved the predictive AUROCs of Child-Turcotte-Pugh, Model of End-Stage Liver Disease, and the Chronic Liver Failure Consortium Acute Decompensation scores for mortality (all P > 0.05). Random forest regression identified C3 among the top 10 risk factors for ACLF development.

Conclusion: Serum C3 demonstrates significant prognostic value as a predictor for 90-day ACLF and mortality in cirrhotic patients with bacterial infections, offering potential clinical utility in risk stratification.

求助全文
通过发布文献求助,成功后即可免费获取论文全文。 去求助
来源期刊
CiteScore
4.40
自引率
4.80%
发文量
269
审稿时长
1 months
期刊介绍: European Journal of Gastroenterology & Hepatology publishes papers reporting original clinical and scientific research which are of a high standard and which contribute to the advancement of knowledge in the field of gastroenterology and hepatology. The journal publishes three types of manuscript: in-depth reviews (by invitation only), full papers and case reports. Manuscripts submitted to the journal will be accepted on the understanding that the author has not previously submitted the paper to another journal or had the material published elsewhere. Authors are asked to disclose any affiliations, including financial, consultant, or institutional associations, that might lead to bias or a conflict of interest.
×
引用
GB/T 7714-2015
复制
MLA
复制
APA
复制
导出至
BibTeX EndNote RefMan NoteFirst NoteExpress
×
提示
您的信息不完整,为了账户安全,请先补充。
现在去补充
×
提示
您因"违规操作"
具体请查看互助需知
我知道了
×
提示
确定
请完成安全验证×
copy
已复制链接
快去分享给好友吧!
我知道了
右上角分享
点击右上角分享
0
联系我们:info@booksci.cn Book学术提供免费学术资源搜索服务,方便国内外学者检索中英文文献。致力于提供最便捷和优质的服务体验。 Copyright © 2023 布克学术 All rights reserved.
京ICP备2023020795号-1
ghs 京公网安备 11010802042870号
Book学术文献互助
Book学术文献互助群
群 号:604180095
Book学术官方微信