血清moesin与2型糖尿病患者的认知障碍和血糖波动有关

IF 3.9 3区 医学 Q2 ENDOCRINOLOGY & METABOLISM
Ying Meng, Jiancan Lu, Chao Shi, Hongling Zhu, Jichen Zhang
{"title":"血清moesin与2型糖尿病患者的认知障碍和血糖波动有关","authors":"Ying Meng, Jiancan Lu, Chao Shi, Hongling Zhu, Jichen Zhang","doi":"10.1186/s13098-025-01876-5","DOIUrl":null,"url":null,"abstract":"<p><strong>Background: </strong>Cognitive impairment is a common complication of type 2 diabetes mellitus (T2DM); however, its underlying mechanisms are unclear. This study investigated the association between serum moesin levels, cognitive impairment, and glucose fluctuations in T2DM patients.</p><p><strong>Methods: </strong>A total of 229 T2DM patients and 150 healthy controls were enrolled, and patients with T2DM were further categorized into those with mild cognitive impairment (MCI, n = 71) and without MCI (non-MCI, n = 158). An enzyme-linked immunosorbent assay (ELISA) was used to evaluate the serum levels of moesin, high-sensitivity C-reactive protein (hs-CRP), and brain-derived neurotrophic factor (BDNF) in all participants.</p><p><strong>Results: </strong>Serum moesin levels were significantly elevated in T2DM patients compared to those in healthy controls (P < 0.001) and further increased in the MCI group compared to those in the non-MCI group (P < 0.001). Receiver operating characteristic (ROC) analysis identified an optimal moesin cutoff of 113.49 ng/mL (AUC = 0.866) for distinguishing MCI from T2DM, with 76.1% sensitivity and 86.7% specificity. Correlation analysis demonstrated that moesin was positively correlated with triglyceride, LDL-C, IMT, hs-CRP, and glucose variability markers (MAGE, MBG, SD, and MODD) but negatively correlated with years of education, BDNF, time in range (TIR), and Montreal Cognitive Assessment (MoCA) scores (P < 0.05). Multivariate logistic regression identified BMI, years of education, diabetes duration, FBG, hs-CRP, BDNF, MAGE, SD, and moesin as independent predictors of MCI in T2DM (P < 0.05).</p><p><strong>Conclusions: </strong>These findings suggest that elevated serum moesin levels are associated with cognitive impairment in patients with T2DM, potentially mediated by glucose fluctuations, inflammation, and vascular dysfunction.</p>","PeriodicalId":11106,"journal":{"name":"Diabetology & Metabolic Syndrome","volume":"17 1","pages":"301"},"PeriodicalIF":3.9000,"publicationDate":"2025-07-29","publicationTypes":"Journal Article","fieldsOfStudy":null,"isOpenAccess":false,"openAccessPdf":"https://www.ncbi.nlm.nih.gov/pmc/articles/PMC12306043/pdf/","citationCount":"0","resultStr":"{\"title\":\"Serum moesin is associated with cognitive impairment and glucose fluctuations in patients with type 2 diabetes.\",\"authors\":\"Ying Meng, Jiancan Lu, Chao Shi, Hongling Zhu, Jichen Zhang\",\"doi\":\"10.1186/s13098-025-01876-5\",\"DOIUrl\":null,\"url\":null,\"abstract\":\"<p><strong>Background: </strong>Cognitive impairment is a common complication of type 2 diabetes mellitus (T2DM); however, its underlying mechanisms are unclear. This study investigated the association between serum moesin levels, cognitive impairment, and glucose fluctuations in T2DM patients.</p><p><strong>Methods: </strong>A total of 229 T2DM patients and 150 healthy controls were enrolled, and patients with T2DM were further categorized into those with mild cognitive impairment (MCI, n = 71) and without MCI (non-MCI, n = 158). An enzyme-linked immunosorbent assay (ELISA) was used to evaluate the serum levels of moesin, high-sensitivity C-reactive protein (hs-CRP), and brain-derived neurotrophic factor (BDNF) in all participants.</p><p><strong>Results: </strong>Serum moesin levels were significantly elevated in T2DM patients compared to those in healthy controls (P < 0.001) and further increased in the MCI group compared to those in the non-MCI group (P < 0.001). Receiver operating characteristic (ROC) analysis identified an optimal moesin cutoff of 113.49 ng/mL (AUC = 0.866) for distinguishing MCI from T2DM, with 76.1% sensitivity and 86.7% specificity. Correlation analysis demonstrated that moesin was positively correlated with triglyceride, LDL-C, IMT, hs-CRP, and glucose variability markers (MAGE, MBG, SD, and MODD) but negatively correlated with years of education, BDNF, time in range (TIR), and Montreal Cognitive Assessment (MoCA) scores (P < 0.05). Multivariate logistic regression identified BMI, years of education, diabetes duration, FBG, hs-CRP, BDNF, MAGE, SD, and moesin as independent predictors of MCI in T2DM (P < 0.05).</p><p><strong>Conclusions: </strong>These findings suggest that elevated serum moesin levels are associated with cognitive impairment in patients with T2DM, potentially mediated by glucose fluctuations, inflammation, and vascular dysfunction.</p>\",\"PeriodicalId\":11106,\"journal\":{\"name\":\"Diabetology & Metabolic Syndrome\",\"volume\":\"17 1\",\"pages\":\"301\"},\"PeriodicalIF\":3.9000,\"publicationDate\":\"2025-07-29\",\"publicationTypes\":\"Journal Article\",\"fieldsOfStudy\":null,\"isOpenAccess\":false,\"openAccessPdf\":\"https://www.ncbi.nlm.nih.gov/pmc/articles/PMC12306043/pdf/\",\"citationCount\":\"0\",\"resultStr\":null,\"platform\":\"Semanticscholar\",\"paperid\":null,\"PeriodicalName\":\"Diabetology & Metabolic Syndrome\",\"FirstCategoryId\":\"3\",\"ListUrlMain\":\"https://doi.org/10.1186/s13098-025-01876-5\",\"RegionNum\":3,\"RegionCategory\":\"医学\",\"ArticlePicture\":[],\"TitleCN\":null,\"AbstractTextCN\":null,\"PMCID\":null,\"EPubDate\":\"\",\"PubModel\":\"\",\"JCR\":\"Q2\",\"JCRName\":\"ENDOCRINOLOGY & METABOLISM\",\"Score\":null,\"Total\":0}","platform":"Semanticscholar","paperid":null,"PeriodicalName":"Diabetology & Metabolic Syndrome","FirstCategoryId":"3","ListUrlMain":"https://doi.org/10.1186/s13098-025-01876-5","RegionNum":3,"RegionCategory":"医学","ArticlePicture":[],"TitleCN":null,"AbstractTextCN":null,"PMCID":null,"EPubDate":"","PubModel":"","JCR":"Q2","JCRName":"ENDOCRINOLOGY & METABOLISM","Score":null,"Total":0}
引用次数: 0

摘要

背景:认知障碍是2型糖尿病(T2DM)的常见并发症;然而,其潜在机制尚不清楚。本研究探讨了T2DM患者血清moesin水平、认知障碍和血糖波动之间的关系。方法:229例T2DM患者和150例健康对照,将T2DM患者进一步分为轻度认知障碍组(71例)和非轻度认知障碍组(158例)。采用酶联免疫吸附试验(ELISA)评估所有参与者的血清moesin、高敏c反应蛋白(hs-CRP)和脑源性神经营养因子(BDNF)水平。结果:与健康对照组相比,T2DM患者血清moesin水平显著升高(P结论:这些发现表明,血清moesin水平升高与T2DM患者认知功能障碍有关,可能由血糖波动、炎症和血管功能障碍介导。
本文章由计算机程序翻译,如有差异,请以英文原文为准。

Serum moesin is associated with cognitive impairment and glucose fluctuations in patients with type 2 diabetes.

Serum moesin is associated with cognitive impairment and glucose fluctuations in patients with type 2 diabetes.

Serum moesin is associated with cognitive impairment and glucose fluctuations in patients with type 2 diabetes.

Serum moesin is associated with cognitive impairment and glucose fluctuations in patients with type 2 diabetes.

Background: Cognitive impairment is a common complication of type 2 diabetes mellitus (T2DM); however, its underlying mechanisms are unclear. This study investigated the association between serum moesin levels, cognitive impairment, and glucose fluctuations in T2DM patients.

Methods: A total of 229 T2DM patients and 150 healthy controls were enrolled, and patients with T2DM were further categorized into those with mild cognitive impairment (MCI, n = 71) and without MCI (non-MCI, n = 158). An enzyme-linked immunosorbent assay (ELISA) was used to evaluate the serum levels of moesin, high-sensitivity C-reactive protein (hs-CRP), and brain-derived neurotrophic factor (BDNF) in all participants.

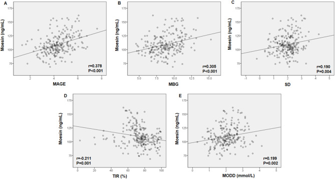
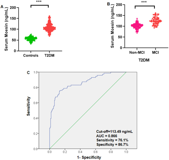
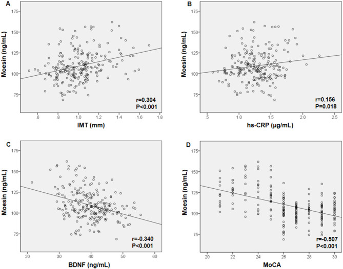
Results: Serum moesin levels were significantly elevated in T2DM patients compared to those in healthy controls (P < 0.001) and further increased in the MCI group compared to those in the non-MCI group (P < 0.001). Receiver operating characteristic (ROC) analysis identified an optimal moesin cutoff of 113.49 ng/mL (AUC = 0.866) for distinguishing MCI from T2DM, with 76.1% sensitivity and 86.7% specificity. Correlation analysis demonstrated that moesin was positively correlated with triglyceride, LDL-C, IMT, hs-CRP, and glucose variability markers (MAGE, MBG, SD, and MODD) but negatively correlated with years of education, BDNF, time in range (TIR), and Montreal Cognitive Assessment (MoCA) scores (P < 0.05). Multivariate logistic regression identified BMI, years of education, diabetes duration, FBG, hs-CRP, BDNF, MAGE, SD, and moesin as independent predictors of MCI in T2DM (P < 0.05).

Conclusions: These findings suggest that elevated serum moesin levels are associated with cognitive impairment in patients with T2DM, potentially mediated by glucose fluctuations, inflammation, and vascular dysfunction.

求助全文
通过发布文献求助,成功后即可免费获取论文全文。 去求助
来源期刊
Diabetology & Metabolic Syndrome
Diabetology & Metabolic Syndrome ENDOCRINOLOGY & METABOLISM-
CiteScore
6.20
自引率
0.00%
发文量
170
审稿时长
7.5 months
期刊介绍: Diabetology & Metabolic Syndrome publishes articles on all aspects of the pathophysiology of diabetes and metabolic syndrome. By publishing original material exploring any area of laboratory, animal or clinical research into diabetes and metabolic syndrome, the journal offers a high-visibility forum for new insights and discussions into the issues of importance to the relevant community.
×
引用
GB/T 7714-2015
复制
MLA
复制
APA
复制
导出至
BibTeX EndNote RefMan NoteFirst NoteExpress
×
提示
您的信息不完整,为了账户安全,请先补充。
现在去补充
×
提示
您因"违规操作"
具体请查看互助需知
我知道了
×
提示
确定
请完成安全验证×
copy
已复制链接
快去分享给好友吧!
我知道了
右上角分享
点击右上角分享
0
联系我们:info@booksci.cn Book学术提供免费学术资源搜索服务,方便国内外学者检索中英文文献。致力于提供最便捷和优质的服务体验。 Copyright © 2023 布克学术 All rights reserved.
京ICP备2023020795号-1
ghs 京公网安备 11010802042870号
Book学术文献互助
Book学术文献互助群
群 号:604180095
Book学术官方微信