糖尿病父母正常血糖耐受后代亚临床动脉粥样硬化血清标志物与氧化DNA损伤的关系

IF 3.7 2区 医学 Q2 ENDOCRINOLOGY & METABOLISM
Masoumeh Rahimi, Farhad Ghadiri Soufi, Shabnaz Koochakkhani, Behnaz Rahnama Inchehsablagh, Abnoos Azarbad, Masoumeh Mahmoudi, Masoumeh Kheirandish, Farideh Jalali Mashayekhi, Ebrahim Eftekhar
{"title":"糖尿病父母正常血糖耐受后代亚临床动脉粥样硬化血清标志物与氧化DNA损伤的关系","authors":"Masoumeh Rahimi,&nbsp;Farhad Ghadiri Soufi,&nbsp;Shabnaz Koochakkhani,&nbsp;Behnaz Rahnama Inchehsablagh,&nbsp;Abnoos Azarbad,&nbsp;Masoumeh Mahmoudi,&nbsp;Masoumeh Kheirandish,&nbsp;Farideh Jalali Mashayekhi,&nbsp;Ebrahim Eftekhar","doi":"10.1111/1753-0407.70133","DOIUrl":null,"url":null,"abstract":"<div>\n \n \n <section>\n \n <h3> Introduction</h3>\n \n <p>It has been shown that offspring of type 2 diabetic parents have a high risk for developing diabetes and atherosclerosis, but the exact mechanism is unclear. In the present study, the possible association between oxidative stress and subclinical atherosclerosis serum markers in this population was investigated.</p>\n </section>\n \n <section>\n \n <h3> Method</h3>\n \n <p>LDL/HDL ratio, triglyceride-glucose index (TyG), atherogenic index of plasma (AIP), single-point insulin sensitivity estimator (SPISE) index, oxidized LDL (Ox-LDL), intercellular adhesion molecules (ICAM-1 and E-selectin), as well as the marker of oxidative DNA damage were compared among 150 offspring of diabetic parents (90 normoglycemic and normotolerant offspring, 31 offspring with impaired fasting glucose (IFG), and 29 offspring with impaired glucose tolerance (IGT)), and 40 age-and sex-matched healthy control individuals. The control subjects were among individuals with no family history of diabetes.</p>\n </section>\n \n <section>\n \n <h3> Results</h3>\n \n <p>All three groups with diabetic parents, that is, norm-offspring, IFG, and IGT groups, had higher serum levels of Ox-LDL, ICAM-1, and 8-hydroxy-2′-deoxyguanosine (8-OHdG) than the controls. In the whole population, ICAM-1 correlated with Ox-LDL, fasting plasma glucose (FPG) and 8-OHdG, and Ox-LDL correlated with LDL/HDL, fasting plasma glucose, TyG index, and 8-OHdG after adjustment for age, sex, and BMI.</p>\n </section>\n \n <section>\n \n <h3> Conclusion</h3>\n \n <p>This study shows that subclinical atherosclerosis and oxidative DNA damage are present in normotolerant normoglycemic offspring of type 2 diabetic parents, and they progress with impaired fasting glucose and/or impaired glucose tolerance. Also, our results indicate that a marker of subclinical atherosclerosis, ICAM-1, was directly correlated with the DNA damage marker, 8-OHdG.</p>\n </section>\n </div>","PeriodicalId":189,"journal":{"name":"Journal of Diabetes","volume":"17 8","pages":""},"PeriodicalIF":3.7000,"publicationDate":"2025-07-30","publicationTypes":"Journal Article","fieldsOfStudy":null,"isOpenAccess":false,"openAccessPdf":"https://onlinelibrary.wiley.com/doi/epdf/10.1111/1753-0407.70133","citationCount":"0","resultStr":"{\"title\":\"The Association Between Subclinical Atherosclerosis Serum Markers and Oxidative DNA Damage in Normoglycemic Normotolerant Offspring of Diabetic Parents\",\"authors\":\"Masoumeh Rahimi,&nbsp;Farhad Ghadiri Soufi,&nbsp;Shabnaz Koochakkhani,&nbsp;Behnaz Rahnama Inchehsablagh,&nbsp;Abnoos Azarbad,&nbsp;Masoumeh Mahmoudi,&nbsp;Masoumeh Kheirandish,&nbsp;Farideh Jalali Mashayekhi,&nbsp;Ebrahim Eftekhar\",\"doi\":\"10.1111/1753-0407.70133\",\"DOIUrl\":null,\"url\":null,\"abstract\":\"<div>\\n \\n \\n <section>\\n \\n <h3> Introduction</h3>\\n \\n <p>It has been shown that offspring of type 2 diabetic parents have a high risk for developing diabetes and atherosclerosis, but the exact mechanism is unclear. In the present study, the possible association between oxidative stress and subclinical atherosclerosis serum markers in this population was investigated.</p>\\n </section>\\n \\n <section>\\n \\n <h3> Method</h3>\\n \\n <p>LDL/HDL ratio, triglyceride-glucose index (TyG), atherogenic index of plasma (AIP), single-point insulin sensitivity estimator (SPISE) index, oxidized LDL (Ox-LDL), intercellular adhesion molecules (ICAM-1 and E-selectin), as well as the marker of oxidative DNA damage were compared among 150 offspring of diabetic parents (90 normoglycemic and normotolerant offspring, 31 offspring with impaired fasting glucose (IFG), and 29 offspring with impaired glucose tolerance (IGT)), and 40 age-and sex-matched healthy control individuals. The control subjects were among individuals with no family history of diabetes.</p>\\n </section>\\n \\n <section>\\n \\n <h3> Results</h3>\\n \\n <p>All three groups with diabetic parents, that is, norm-offspring, IFG, and IGT groups, had higher serum levels of Ox-LDL, ICAM-1, and 8-hydroxy-2′-deoxyguanosine (8-OHdG) than the controls. In the whole population, ICAM-1 correlated with Ox-LDL, fasting plasma glucose (FPG) and 8-OHdG, and Ox-LDL correlated with LDL/HDL, fasting plasma glucose, TyG index, and 8-OHdG after adjustment for age, sex, and BMI.</p>\\n </section>\\n \\n <section>\\n \\n <h3> Conclusion</h3>\\n \\n <p>This study shows that subclinical atherosclerosis and oxidative DNA damage are present in normotolerant normoglycemic offspring of type 2 diabetic parents, and they progress with impaired fasting glucose and/or impaired glucose tolerance. Also, our results indicate that a marker of subclinical atherosclerosis, ICAM-1, was directly correlated with the DNA damage marker, 8-OHdG.</p>\\n </section>\\n </div>\",\"PeriodicalId\":189,\"journal\":{\"name\":\"Journal of Diabetes\",\"volume\":\"17 8\",\"pages\":\"\"},\"PeriodicalIF\":3.7000,\"publicationDate\":\"2025-07-30\",\"publicationTypes\":\"Journal Article\",\"fieldsOfStudy\":null,\"isOpenAccess\":false,\"openAccessPdf\":\"https://onlinelibrary.wiley.com/doi/epdf/10.1111/1753-0407.70133\",\"citationCount\":\"0\",\"resultStr\":null,\"platform\":\"Semanticscholar\",\"paperid\":null,\"PeriodicalName\":\"Journal of Diabetes\",\"FirstCategoryId\":\"3\",\"ListUrlMain\":\"https://onlinelibrary.wiley.com/doi/10.1111/1753-0407.70133\",\"RegionNum\":2,\"RegionCategory\":\"医学\",\"ArticlePicture\":[],\"TitleCN\":null,\"AbstractTextCN\":null,\"PMCID\":null,\"EPubDate\":\"\",\"PubModel\":\"\",\"JCR\":\"Q2\",\"JCRName\":\"ENDOCRINOLOGY & METABOLISM\",\"Score\":null,\"Total\":0}","platform":"Semanticscholar","paperid":null,"PeriodicalName":"Journal of Diabetes","FirstCategoryId":"3","ListUrlMain":"https://onlinelibrary.wiley.com/doi/10.1111/1753-0407.70133","RegionNum":2,"RegionCategory":"医学","ArticlePicture":[],"TitleCN":null,"AbstractTextCN":null,"PMCID":null,"EPubDate":"","PubModel":"","JCR":"Q2","JCRName":"ENDOCRINOLOGY & METABOLISM","Score":null,"Total":0}
引用次数: 0

摘要

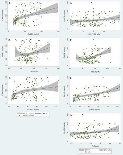
已有研究表明,2型糖尿病父母的后代患糖尿病和动脉粥样硬化的风险较高,但确切的机制尚不清楚。在本研究中,研究了氧化应激与亚临床动脉粥样硬化血清标志物之间的可能联系。方法比较150例糖尿病亲本后代(90例血糖正常和耐受正常后代,31例空腹血糖受损后代,31例血糖正常和耐受正常后代)LDL/HDL比值、甘油三酯-葡萄糖指数(TyG)、血浆致动脉粥样硬化指数(AIP)、单点胰岛素敏感性估计因子(SPISE)指数、氧化LDL (Ox-LDL)、细胞间粘附分子(ICAM-1和e-选择素)以及氧化DNA损伤标志物的变化。29名糖耐量(IGT)受损的后代,以及40名年龄和性别匹配的健康对照个体。对照组为无糖尿病家族史的个体。结果3组糖尿病患儿血清Ox-LDL、ICAM-1和8-羟基-2′-脱氧鸟苷(8-OHdG)水平均高于对照组,即正常子代组、IFG组和IGT组。在整个人群中,ICAM-1与Ox-LDL、空腹血糖(FPG)和8-OHdG相关,Ox-LDL与LDL/HDL、空腹血糖、TyG指数和8-OHdG相关,在调整年龄、性别和BMI后。结论本研究表明,在2型糖尿病父母的正常耐受正常血糖的后代中存在亚临床动脉粥样硬化和氧化DNA损伤,并随着空腹血糖和/或糖耐量受损而进展。此外,我们的研究结果表明,亚临床动脉粥样硬化的标志物ICAM-1与DNA损伤标志物8-OHdG直接相关。
本文章由计算机程序翻译,如有差异,请以英文原文为准。

The Association Between Subclinical Atherosclerosis Serum Markers and Oxidative DNA Damage in Normoglycemic Normotolerant Offspring of Diabetic Parents

The Association Between Subclinical Atherosclerosis Serum Markers and Oxidative DNA Damage in Normoglycemic Normotolerant Offspring of Diabetic Parents

Introduction

It has been shown that offspring of type 2 diabetic parents have a high risk for developing diabetes and atherosclerosis, but the exact mechanism is unclear. In the present study, the possible association between oxidative stress and subclinical atherosclerosis serum markers in this population was investigated.

Method

LDL/HDL ratio, triglyceride-glucose index (TyG), atherogenic index of plasma (AIP), single-point insulin sensitivity estimator (SPISE) index, oxidized LDL (Ox-LDL), intercellular adhesion molecules (ICAM-1 and E-selectin), as well as the marker of oxidative DNA damage were compared among 150 offspring of diabetic parents (90 normoglycemic and normotolerant offspring, 31 offspring with impaired fasting glucose (IFG), and 29 offspring with impaired glucose tolerance (IGT)), and 40 age-and sex-matched healthy control individuals. The control subjects were among individuals with no family history of diabetes.

Results

All three groups with diabetic parents, that is, norm-offspring, IFG, and IGT groups, had higher serum levels of Ox-LDL, ICAM-1, and 8-hydroxy-2′-deoxyguanosine (8-OHdG) than the controls. In the whole population, ICAM-1 correlated with Ox-LDL, fasting plasma glucose (FPG) and 8-OHdG, and Ox-LDL correlated with LDL/HDL, fasting plasma glucose, TyG index, and 8-OHdG after adjustment for age, sex, and BMI.

Conclusion

This study shows that subclinical atherosclerosis and oxidative DNA damage are present in normotolerant normoglycemic offspring of type 2 diabetic parents, and they progress with impaired fasting glucose and/or impaired glucose tolerance. Also, our results indicate that a marker of subclinical atherosclerosis, ICAM-1, was directly correlated with the DNA damage marker, 8-OHdG.

求助全文
通过发布文献求助,成功后即可免费获取论文全文。 去求助
来源期刊
Journal of Diabetes
Journal of Diabetes ENDOCRINOLOGY & METABOLISM-
CiteScore
6.50
自引率
2.20%
发文量
94
审稿时长
>12 weeks
期刊介绍: Journal of Diabetes (JDB) devotes itself to diabetes research, therapeutics, and education. It aims to involve researchers and practitioners in a dialogue between East and West via all aspects of epidemiology, etiology, pathogenesis, management, complications and prevention of diabetes, including the molecular, biochemical, and physiological aspects of diabetes. The Editorial team is international with a unique mix of Asian and Western participation. The Editors welcome submissions in form of original research articles, images, novel case reports and correspondence, and will solicit reviews, point-counterpoint, commentaries, editorials, news highlights, and educational content.
×
引用
GB/T 7714-2015
复制
MLA
复制
APA
复制
导出至
BibTeX EndNote RefMan NoteFirst NoteExpress
×
提示
您的信息不完整,为了账户安全,请先补充。
现在去补充
×
提示
您因"违规操作"
具体请查看互助需知
我知道了
×
提示
确定
请完成安全验证×
copy
已复制链接
快去分享给好友吧!
我知道了
右上角分享
点击右上角分享
0
联系我们:info@booksci.cn Book学术提供免费学术资源搜索服务,方便国内外学者检索中英文文献。致力于提供最便捷和优质的服务体验。 Copyright © 2023 布克学术 All rights reserved.
京ICP备2023020795号-1
ghs 京公网安备 11010802042870号
Book学术文献互助
Book学术文献互助群
群 号:604180095
Book学术官方微信