伊朗妇女坚持调整相对地中海和MIND饮食与慢性偏头痛的关系

IF 2.4 4区 医学 Q2 MEDICINE, GENERAL & INTERNAL
Samaneh Hajjarzadeh, Farnush Bakhshimoghaddam, Zeinab Nikniaz, Reza Mahdavi, Davood Shalilahmadi, Majid Karandish, Maryam Behrooz
{"title":"伊朗妇女坚持调整相对地中海和MIND饮食与慢性偏头痛的关系","authors":"Samaneh Hajjarzadeh,&nbsp;Farnush Bakhshimoghaddam,&nbsp;Zeinab Nikniaz,&nbsp;Reza Mahdavi,&nbsp;Davood Shalilahmadi,&nbsp;Majid Karandish,&nbsp;Maryam Behrooz","doi":"10.1155/ijcp/3569792","DOIUrl":null,"url":null,"abstract":"<div>\n <p><b>Objective:</b> Migraine is a chronic neurological condition affected by multiple factors. There is increasing evidence that healthy diets may be related to migraine management. The present study investigated the association between adherence to the adjusted relative Mediterranean diet (arMED) and the Mediterranean–DASH Intervention for Neurodegenerative Delay (MIND) diet and the risk of chronic migraine (CM) in Iranian women.</p>\n <p><b>Methods:</b> In this study, 285 women with migraine participated. The women were categorized into the CM and episodic migraine (EM) based on their attack frequency per month. Adherence to the Mediterranean and MIND diets was assessed based on last year’s dietary intakes collected using a semiquantitative food frequency questionnaire (FFQ). The odds ratio (OR) (95% confidence interval (CI) for CM across the arMED and MIND scores tertiles was assessed through logistic regression.</p>\n <p><b>Results:</b> About 40.7% of the studied sufferers experienced CM. Women with CM had significantly higher fat (<i>p</i> 0.004) and lower fiber (<i>p</i> 0.03) intakes than women with EM. There was a significant negative association between CM and the arMED score ((OR (95% CI)<sub>crude</sub>: 0.91 (0.82–0.99); <i>p</i> value: 0.047)) and (OR (95% CI)<sub>adjusted</sub>: 0.88 (0.80–0.98); <i>p</i> value: 0.018)) and MIND score ((OR (95% CI)<sub>crude</sub>: 0.90 (0.85–0.97); <i>p</i> value: 0.007)) and ((OR (95% CI)<sub>adjusted</sub>: 0.91 (0.85–0.98); <i>p</i> value: 0.03)).</p>\n <p><b>Conclusion:</b> Women who adhered more closely to the Mediterranean and MIND diets had lower chances of experiencing CM.</p>\n </div>","PeriodicalId":13782,"journal":{"name":"International Journal of Clinical Practice","volume":"2025 1","pages":""},"PeriodicalIF":2.4000,"publicationDate":"2025-07-30","publicationTypes":"Journal Article","fieldsOfStudy":null,"isOpenAccess":false,"openAccessPdf":"https://onlinelibrary.wiley.com/doi/epdf/10.1155/ijcp/3569792","citationCount":"0","resultStr":"{\"title\":\"Association of Adherence to the Adjusted Relative Mediterranean and MIND Diet With Chronic Migraine in Iranian Women\",\"authors\":\"Samaneh Hajjarzadeh,&nbsp;Farnush Bakhshimoghaddam,&nbsp;Zeinab Nikniaz,&nbsp;Reza Mahdavi,&nbsp;Davood Shalilahmadi,&nbsp;Majid Karandish,&nbsp;Maryam Behrooz\",\"doi\":\"10.1155/ijcp/3569792\",\"DOIUrl\":null,\"url\":null,\"abstract\":\"<div>\\n <p><b>Objective:</b> Migraine is a chronic neurological condition affected by multiple factors. There is increasing evidence that healthy diets may be related to migraine management. The present study investigated the association between adherence to the adjusted relative Mediterranean diet (arMED) and the Mediterranean–DASH Intervention for Neurodegenerative Delay (MIND) diet and the risk of chronic migraine (CM) in Iranian women.</p>\\n <p><b>Methods:</b> In this study, 285 women with migraine participated. The women were categorized into the CM and episodic migraine (EM) based on their attack frequency per month. Adherence to the Mediterranean and MIND diets was assessed based on last year’s dietary intakes collected using a semiquantitative food frequency questionnaire (FFQ). The odds ratio (OR) (95% confidence interval (CI) for CM across the arMED and MIND scores tertiles was assessed through logistic regression.</p>\\n <p><b>Results:</b> About 40.7% of the studied sufferers experienced CM. Women with CM had significantly higher fat (<i>p</i> 0.004) and lower fiber (<i>p</i> 0.03) intakes than women with EM. There was a significant negative association between CM and the arMED score ((OR (95% CI)<sub>crude</sub>: 0.91 (0.82–0.99); <i>p</i> value: 0.047)) and (OR (95% CI)<sub>adjusted</sub>: 0.88 (0.80–0.98); <i>p</i> value: 0.018)) and MIND score ((OR (95% CI)<sub>crude</sub>: 0.90 (0.85–0.97); <i>p</i> value: 0.007)) and ((OR (95% CI)<sub>adjusted</sub>: 0.91 (0.85–0.98); <i>p</i> value: 0.03)).</p>\\n <p><b>Conclusion:</b> Women who adhered more closely to the Mediterranean and MIND diets had lower chances of experiencing CM.</p>\\n </div>\",\"PeriodicalId\":13782,\"journal\":{\"name\":\"International Journal of Clinical Practice\",\"volume\":\"2025 1\",\"pages\":\"\"},\"PeriodicalIF\":2.4000,\"publicationDate\":\"2025-07-30\",\"publicationTypes\":\"Journal Article\",\"fieldsOfStudy\":null,\"isOpenAccess\":false,\"openAccessPdf\":\"https://onlinelibrary.wiley.com/doi/epdf/10.1155/ijcp/3569792\",\"citationCount\":\"0\",\"resultStr\":null,\"platform\":\"Semanticscholar\",\"paperid\":null,\"PeriodicalName\":\"International Journal of Clinical Practice\",\"FirstCategoryId\":\"3\",\"ListUrlMain\":\"https://onlinelibrary.wiley.com/doi/10.1155/ijcp/3569792\",\"RegionNum\":4,\"RegionCategory\":\"医学\",\"ArticlePicture\":[],\"TitleCN\":null,\"AbstractTextCN\":null,\"PMCID\":null,\"EPubDate\":\"\",\"PubModel\":\"\",\"JCR\":\"Q2\",\"JCRName\":\"MEDICINE, GENERAL & INTERNAL\",\"Score\":null,\"Total\":0}","platform":"Semanticscholar","paperid":null,"PeriodicalName":"International Journal of Clinical Practice","FirstCategoryId":"3","ListUrlMain":"https://onlinelibrary.wiley.com/doi/10.1155/ijcp/3569792","RegionNum":4,"RegionCategory":"医学","ArticlePicture":[],"TitleCN":null,"AbstractTextCN":null,"PMCID":null,"EPubDate":"","PubModel":"","JCR":"Q2","JCRName":"MEDICINE, GENERAL & INTERNAL","Score":null,"Total":0}
引用次数: 0

摘要

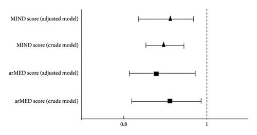
目的:偏头痛是一种受多种因素影响的慢性神经系统疾病。越来越多的证据表明,健康的饮食可能与偏头痛的管理有关。本研究调查了伊朗妇女坚持调整相对地中海饮食(arMED)和地中海- dash干预神经退行性延迟(MIND)饮食与慢性偏头痛(CM)风险之间的关系。方法:285名女性偏头痛患者参与了本研究。这些女性根据每月发作的频率分为慢性偏头痛和发作性偏头痛(EM)。根据使用半定量食物频率问卷(FFQ)收集的去年饮食摄入量,对地中海和MIND饮食的依从性进行了评估。通过逻辑回归评估武装和心智评分中CM的比值比(OR)(95%置信区间(CI))。结果:约40.7%的患者发生CM。与EM患者相比,CM患者的脂肪摄入量显著增加(p 0.004),纤维摄入量显著减少(p 0.03)。CM与arMED评分之间存在显著负相关(OR (95% CI)粗值:0.91 (0.82-0.99);p值:0.047)和调整后的OR (95% CI): 0.88 (0.80-0.98);p值:0.018))和MIND评分(OR (95% CI)粗值:0.90 (0.85-0.97);p值:0.007)和(OR (95% CI)调整后:0.91 (0.85-0.98);P值:0.03))。结论:坚持地中海饮食和MIND饮食的女性患CM的几率较低。
本文章由计算机程序翻译,如有差异,请以英文原文为准。

Association of Adherence to the Adjusted Relative Mediterranean and MIND Diet With Chronic Migraine in Iranian Women

Association of Adherence to the Adjusted Relative Mediterranean and MIND Diet With Chronic Migraine in Iranian Women

Objective: Migraine is a chronic neurological condition affected by multiple factors. There is increasing evidence that healthy diets may be related to migraine management. The present study investigated the association between adherence to the adjusted relative Mediterranean diet (arMED) and the Mediterranean–DASH Intervention for Neurodegenerative Delay (MIND) diet and the risk of chronic migraine (CM) in Iranian women.

Methods: In this study, 285 women with migraine participated. The women were categorized into the CM and episodic migraine (EM) based on their attack frequency per month. Adherence to the Mediterranean and MIND diets was assessed based on last year’s dietary intakes collected using a semiquantitative food frequency questionnaire (FFQ). The odds ratio (OR) (95% confidence interval (CI) for CM across the arMED and MIND scores tertiles was assessed through logistic regression.

Results: About 40.7% of the studied sufferers experienced CM. Women with CM had significantly higher fat (p 0.004) and lower fiber (p 0.03) intakes than women with EM. There was a significant negative association between CM and the arMED score ((OR (95% CI)crude: 0.91 (0.82–0.99); p value: 0.047)) and (OR (95% CI)adjusted: 0.88 (0.80–0.98); p value: 0.018)) and MIND score ((OR (95% CI)crude: 0.90 (0.85–0.97); p value: 0.007)) and ((OR (95% CI)adjusted: 0.91 (0.85–0.98); p value: 0.03)).

Conclusion: Women who adhered more closely to the Mediterranean and MIND diets had lower chances of experiencing CM.

求助全文
通过发布文献求助,成功后即可免费获取论文全文。 去求助
来源期刊
CiteScore
5.30
自引率
0.00%
发文量
274
审稿时长
3-8 weeks
期刊介绍: IJCP is a general medical journal. IJCP gives special priority to work that has international appeal. IJCP publishes: Editorials. IJCP Editorials are commissioned. [Peer reviewed at the editor''s discretion] Perspectives. Most IJCP Perspectives are commissioned. Example. [Peer reviewed at the editor''s discretion] Study design and interpretation. Example. [Always peer reviewed] Original data from clinical investigations. In particular: Primary research papers from RCTs, observational studies, epidemiological studies; pre-specified sub-analyses; pooled analyses. [Always peer reviewed] Meta-analyses. [Always peer reviewed] Systematic reviews. From October 2009, special priority will be given to systematic reviews. [Always peer reviewed] Non-systematic/narrative reviews. From October 2009, reviews that are not systematic will be considered only if they include a discrete Methods section that must explicitly describe the authors'' approach. Special priority will, however, be given to systematic reviews. [Always peer reviewed] ''How to…'' papers. Example. [Always peer reviewed] Consensus statements. [Always peer reviewed] Short reports. [Always peer reviewed] Letters. [Peer reviewed at the editor''s discretion] International scope IJCP publishes work from investigators globally. Around 30% of IJCP articles list an author from the UK. Around 30% of IJCP articles list an author from the USA or Canada. Around 45% of IJCP articles list an author from a European country that is not the UK. Around 15% of articles published in IJCP list an author from a country in the Asia-Pacific region.
×
引用
GB/T 7714-2015
复制
MLA
复制
APA
复制
导出至
BibTeX EndNote RefMan NoteFirst NoteExpress
×
提示
您的信息不完整,为了账户安全,请先补充。
现在去补充
×
提示
您因"违规操作"
具体请查看互助需知
我知道了
×
提示
确定
请完成安全验证×
copy
已复制链接
快去分享给好友吧!
我知道了
右上角分享
点击右上角分享
0
联系我们:info@booksci.cn Book学术提供免费学术资源搜索服务,方便国内外学者检索中英文文献。致力于提供最便捷和优质的服务体验。 Copyright © 2023 布克学术 All rights reserved.
京ICP备2023020795号-1
ghs 京公网安备 11010802042870号
Book学术文献互助
Book学术文献互助群
群 号:604180095
Book学术官方微信