既往心血管手术后全弓置换术的早期和晚期结果:10年经验。

0 CARDIAC & CARDIOVASCULAR SYSTEMS
Ruojin Zhao, Weijing Wang, Yanxiang Liu, Yaojun Dun, Bowen Zhang, Luchen Wang, Sangyu Zhou, Xiaogang Sun
{"title":"既往心血管手术后全弓置换术的早期和晚期结果:10年经验。","authors":"Ruojin Zhao, Weijing Wang, Yanxiang Liu, Yaojun Dun, Bowen Zhang, Luchen Wang, Sangyu Zhou, Xiaogang Sun","doi":"10.1093/icvts/ivaf179","DOIUrl":null,"url":null,"abstract":"<p><strong>Objectives: </strong>To evaluate the early and late outcomes of the redo procedure for total arch replacement following previous cardiovascular surgery.</p><p><strong>Methods: </strong>Between January 2013 and November 2023, 117 patients underwent total aortic arch replacement after previous cardiovascular surgery in our centre. Surgical indication, perioperative data, postoperative complications, and late outcomes were retrospectively analysed.</p><p><strong>Results: </strong>The mean age of patients was 46.8 ± 13.0 years, and 32 were female (27.4%). Indications for redo procedure included aortic arch aneurysm (11, 9.4%), aneurysmal expansion of a chronic dissection (35, 29.9%), staged surgery in plan (3, 2.6%), aortitis (2, 1.7%), and iatrogenic reasons (16, 13.7%). In-hospital mortality was 6.8% with 13.7% major adverse events. Patients who received bilateral cerebral perfusion had significantly higher intraoperative temperatures [nasopharyngeal: 23.4°C (20.4°C-25.0°C) vs 26.8°C (25.0°C-27.5°C), P < .001; bladder: 25.5 ± 3.2°C vs 28.8 ± 1.8°C, P < .001] and required fewer platelet transfusions [median units: 1.0 (1.0-2.0) vs 1.00 (1.0-1.0), P = .003], with no significant differences in postoperative neurological deficits. Overall survival of the patients was 90.1% [95% confidence interval (CI): 84.2%-96.5%], 86.9% (95% CI: 79.8%-94.6%), and 80.0% (95% CI: 70.5%-90.8%) at 1, 3, and 5 years, respectively. During follow-up, 14 patients received aortic-related reintervention. The cumulative incidence of reintervention was 17.20% (95% CI: 7.22%-26.11%) at 5 years.</p><p><strong>Conclusions: </strong>Although redo total arch replacement is technically challenging, acceptable early and late results can be obtained through tailored surgical planning and end-organ protection.</p>","PeriodicalId":73406,"journal":{"name":"Interdisciplinary cardiovascular and thoracic surgery","volume":" ","pages":""},"PeriodicalIF":0.0000,"publicationDate":"2025-08-05","publicationTypes":"Journal Article","fieldsOfStudy":null,"isOpenAccess":false,"openAccessPdf":"https://www.ncbi.nlm.nih.gov/pmc/articles/PMC12342358/pdf/","citationCount":"0","resultStr":"{\"title\":\"Early and Late Outcomes of Redo Procedure for Total Arch Replacement After Previous Cardiovascular Surgery: 10-Year Experience.\",\"authors\":\"Ruojin Zhao, Weijing Wang, Yanxiang Liu, Yaojun Dun, Bowen Zhang, Luchen Wang, Sangyu Zhou, Xiaogang Sun\",\"doi\":\"10.1093/icvts/ivaf179\",\"DOIUrl\":null,\"url\":null,\"abstract\":\"<p><strong>Objectives: </strong>To evaluate the early and late outcomes of the redo procedure for total arch replacement following previous cardiovascular surgery.</p><p><strong>Methods: </strong>Between January 2013 and November 2023, 117 patients underwent total aortic arch replacement after previous cardiovascular surgery in our centre. Surgical indication, perioperative data, postoperative complications, and late outcomes were retrospectively analysed.</p><p><strong>Results: </strong>The mean age of patients was 46.8 ± 13.0 years, and 32 were female (27.4%). Indications for redo procedure included aortic arch aneurysm (11, 9.4%), aneurysmal expansion of a chronic dissection (35, 29.9%), staged surgery in plan (3, 2.6%), aortitis (2, 1.7%), and iatrogenic reasons (16, 13.7%). In-hospital mortality was 6.8% with 13.7% major adverse events. Patients who received bilateral cerebral perfusion had significantly higher intraoperative temperatures [nasopharyngeal: 23.4°C (20.4°C-25.0°C) vs 26.8°C (25.0°C-27.5°C), P < .001; bladder: 25.5 ± 3.2°C vs 28.8 ± 1.8°C, P < .001] and required fewer platelet transfusions [median units: 1.0 (1.0-2.0) vs 1.00 (1.0-1.0), P = .003], with no significant differences in postoperative neurological deficits. Overall survival of the patients was 90.1% [95% confidence interval (CI): 84.2%-96.5%], 86.9% (95% CI: 79.8%-94.6%), and 80.0% (95% CI: 70.5%-90.8%) at 1, 3, and 5 years, respectively. During follow-up, 14 patients received aortic-related reintervention. The cumulative incidence of reintervention was 17.20% (95% CI: 7.22%-26.11%) at 5 years.</p><p><strong>Conclusions: </strong>Although redo total arch replacement is technically challenging, acceptable early and late results can be obtained through tailored surgical planning and end-organ protection.</p>\",\"PeriodicalId\":73406,\"journal\":{\"name\":\"Interdisciplinary cardiovascular and thoracic surgery\",\"volume\":\" \",\"pages\":\"\"},\"PeriodicalIF\":0.0000,\"publicationDate\":\"2025-08-05\",\"publicationTypes\":\"Journal Article\",\"fieldsOfStudy\":null,\"isOpenAccess\":false,\"openAccessPdf\":\"https://www.ncbi.nlm.nih.gov/pmc/articles/PMC12342358/pdf/\",\"citationCount\":\"0\",\"resultStr\":null,\"platform\":\"Semanticscholar\",\"paperid\":null,\"PeriodicalName\":\"Interdisciplinary cardiovascular and thoracic surgery\",\"FirstCategoryId\":\"1085\",\"ListUrlMain\":\"https://doi.org/10.1093/icvts/ivaf179\",\"RegionNum\":0,\"RegionCategory\":null,\"ArticlePicture\":[],\"TitleCN\":null,\"AbstractTextCN\":null,\"PMCID\":null,\"EPubDate\":\"\",\"PubModel\":\"\",\"JCR\":\"0\",\"JCRName\":\"CARDIAC & CARDIOVASCULAR SYSTEMS\",\"Score\":null,\"Total\":0}","platform":"Semanticscholar","paperid":null,"PeriodicalName":"Interdisciplinary cardiovascular and thoracic surgery","FirstCategoryId":"1085","ListUrlMain":"https://doi.org/10.1093/icvts/ivaf179","RegionNum":0,"RegionCategory":null,"ArticlePicture":[],"TitleCN":null,"AbstractTextCN":null,"PMCID":null,"EPubDate":"","PubModel":"","JCR":"0","JCRName":"CARDIAC & CARDIOVASCULAR SYSTEMS","Score":null,"Total":0}
引用次数: 0

摘要

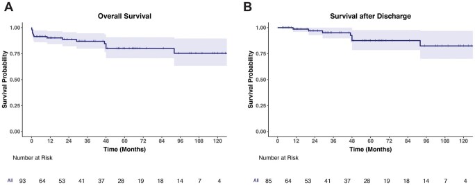
目的:评价既往心血管手术后全弓置换术(TAR)重做手术的早期和晚期结果。方法:2013年1月至2023年11月,117例既往心血管手术患者行全主动脉弓置换术。回顾性分析手术指征、围手术期资料、术后并发症及晚期结局。结果:患者平均年龄46.8±13.0岁,女性32例(27.4%)。重做手术的适应症包括主动脉弓动脉瘤(11.9.4%)、慢性夹层动脉瘤扩张(35.29.9%)、计划分阶段手术(3.2.6%)、主动脉炎(2.1.7%)和医源性原因(16.13.7%)。住院死亡率为6.8%,主要不良事件为13.7%。接受双侧脑灌注的患者术中温度明显高于鼻咽部:23.4°C(20.4°C-25.0°C) vs 26.8°C(25.0°C-27.5°C), P 结论:尽管重做全弓置换术在技术上具有挑战性,但通过量身定制的手术计划和终末器官保护,可以获得可接受的早期和晚期结果。
本文章由计算机程序翻译,如有差异,请以英文原文为准。

Early and Late Outcomes of Redo Procedure for Total Arch Replacement After Previous Cardiovascular Surgery: 10-Year Experience.

Early and Late Outcomes of Redo Procedure for Total Arch Replacement After Previous Cardiovascular Surgery: 10-Year Experience.

Early and Late Outcomes of Redo Procedure for Total Arch Replacement After Previous Cardiovascular Surgery: 10-Year Experience.

Early and Late Outcomes of Redo Procedure for Total Arch Replacement After Previous Cardiovascular Surgery: 10-Year Experience.

Objectives: To evaluate the early and late outcomes of the redo procedure for total arch replacement following previous cardiovascular surgery.

Methods: Between January 2013 and November 2023, 117 patients underwent total aortic arch replacement after previous cardiovascular surgery in our centre. Surgical indication, perioperative data, postoperative complications, and late outcomes were retrospectively analysed.

Results: The mean age of patients was 46.8 ± 13.0 years, and 32 were female (27.4%). Indications for redo procedure included aortic arch aneurysm (11, 9.4%), aneurysmal expansion of a chronic dissection (35, 29.9%), staged surgery in plan (3, 2.6%), aortitis (2, 1.7%), and iatrogenic reasons (16, 13.7%). In-hospital mortality was 6.8% with 13.7% major adverse events. Patients who received bilateral cerebral perfusion had significantly higher intraoperative temperatures [nasopharyngeal: 23.4°C (20.4°C-25.0°C) vs 26.8°C (25.0°C-27.5°C), P < .001; bladder: 25.5 ± 3.2°C vs 28.8 ± 1.8°C, P < .001] and required fewer platelet transfusions [median units: 1.0 (1.0-2.0) vs 1.00 (1.0-1.0), P = .003], with no significant differences in postoperative neurological deficits. Overall survival of the patients was 90.1% [95% confidence interval (CI): 84.2%-96.5%], 86.9% (95% CI: 79.8%-94.6%), and 80.0% (95% CI: 70.5%-90.8%) at 1, 3, and 5 years, respectively. During follow-up, 14 patients received aortic-related reintervention. The cumulative incidence of reintervention was 17.20% (95% CI: 7.22%-26.11%) at 5 years.

Conclusions: Although redo total arch replacement is technically challenging, acceptable early and late results can be obtained through tailored surgical planning and end-organ protection.

求助全文
通过发布文献求助,成功后即可免费获取论文全文。 去求助
来源期刊
自引率
0.00%
发文量
0
×
引用
GB/T 7714-2015
复制
MLA
复制
APA
复制
导出至
BibTeX EndNote RefMan NoteFirst NoteExpress
×
提示
您的信息不完整,为了账户安全,请先补充。
现在去补充
×
提示
您因"违规操作"
具体请查看互助需知
我知道了
×
提示
确定
请完成安全验证×
copy
已复制链接
快去分享给好友吧!
我知道了
右上角分享
点击右上角分享
0
联系我们:info@booksci.cn Book学术提供免费学术资源搜索服务,方便国内外学者检索中英文文献。致力于提供最便捷和优质的服务体验。 Copyright © 2023 布克学术 All rights reserved.
京ICP备2023020795号-1
ghs 京公网安备 11010802042870号
Book学术文献互助
Book学术文献互助群
群 号:604180095
Book学术官方微信