HR+/HER2-乳腺癌患者绝经期组织病理学特征与复发评分的相关性:一项回顾性研究

Q3 Medicine
Exploration of targeted anti-tumor therapy Pub Date : 2025-07-18 eCollection Date: 2025-01-01 DOI:10.37349/etat.2025.1002331
Federica Martorana, Sabrina Nucera, Gianmarco Motta, Maria Vita Sanò, Carlo Carnaghi, Marialuisa Puglisi, Claudia Gelsomino, Giuseppe Corsaro, Chiara Conti, Lucia Motta, Giuliana Pavone, Stefano Marletta, Giada Maria Vecchio, Gaetano Magro, Giuseppe Catanuto, Gaetano Castiglione, Francesco Caruso, Antonio Rizzo, Michele Caruso, Paolo Vigneri
{"title":"HR+/HER2-乳腺癌患者绝经期组织病理学特征与复发评分的相关性:一项回顾性研究","authors":"Federica Martorana, Sabrina Nucera, Gianmarco Motta, Maria Vita Sanò, Carlo Carnaghi, Marialuisa Puglisi, Claudia Gelsomino, Giuseppe Corsaro, Chiara Conti, Lucia Motta, Giuliana Pavone, Stefano Marletta, Giada Maria Vecchio, Gaetano Magro, Giuseppe Catanuto, Gaetano Castiglione, Francesco Caruso, Antonio Rizzo, Michele Caruso, Paolo Vigneri","doi":"10.37349/etat.2025.1002331","DOIUrl":null,"url":null,"abstract":"<p><strong>Aim: </strong>Clinico-pathological features have traditionally guided prognosis and adjuvant therapy for breast cancer (BC) patients. In the past decade, genomic tests such as Oncotype DX entered clinical practice to refine risk stratification and predict chemotherapy benefit for hormone-receptor positive (HR+)/human epidermal growth factor-receptor 2 negative (HER2-) BC patients after surgery. This is a retrospective analysis to investigate the correlation between histopathological parameters and recurrence score (RS), accounting for menopausal status.</p><p><strong>Methods: </strong>Data on HR+/HER2- early BC patients who underwent Oncotype DX were collected using an institutional database. Clinico-pathological characteristics were retrieved. Linear regression was used with RS as a continuous outcome, while logistic regression was performed for pre- and post-menopausal patients, dichotomizing RS at thresholds of 16 and 25, respectively.</p><p><strong>Results: </strong>A total of 180 women were included (35% pre-menopausal, 65% post-menopausal). Median age was 57.5 years. Most patients had pT1, pN0, G2 BC, with median estrogen receptor (ER) expression of 95% and a median Ki67 of 25%. Median RS was 16 [interquartile range (IQR) 12-22] in the overall cohort, 15 in pre-menopausal, and 17 in post-menopausal women. In the entire cohort, RS significantly correlated with G3 (<i>P</i> = 0.01), Ki67% (<i>P</i> < 0.0001), ER% (<i>P</i> = 0.03), and progesterone receptor (PgR)% (<i>P</i> < 0.0001). In pre-menopausal patients, only Ki67% (<i>P</i> = 0.02), ER% (<i>P</i> = 0.01), and PgR% (<i>P</i> < 0.0001) showed significant correlations, while in post-menopausal patients, G3 (<i>P</i> = 0.03), Ki67% (<i>P</i> = 0.001), and PgR% (<i>P</i> < 0.0001) achieved statistical significance. Logistic regression analysis showed that in pre-menopausal patients, PgR% predicted RS > 16 [odds ratio (OR) 0.95, <i>P</i> = 0.001]. In post-menopausal women, Ki67% (OR 1.08, <i>P</i> = 0.031) and PgR% (OR 0.95, <i>P</i> < 0.0001) predicted RS > 25.</p><p><strong>Conclusions: </strong>In this patient cohort, classical clinico-pathological features showed varying correlations with RS, depending on menopausal status. These findings highlight the complexity of risk stratification, suggesting that further research is needed to better understand the factors influencing RS and its clinical utility.</p>","PeriodicalId":73002,"journal":{"name":"Exploration of targeted anti-tumor therapy","volume":"6 ","pages":"1002331"},"PeriodicalIF":0.0000,"publicationDate":"2025-07-18","publicationTypes":"Journal Article","fieldsOfStudy":null,"isOpenAccess":false,"openAccessPdf":"https://www.ncbi.nlm.nih.gov/pmc/articles/PMC12290898/pdf/","citationCount":"0","resultStr":"{\"title\":\"Correlation between histopathological features and recurrence score according to menopausal status in HR+/HER2- breast cancer patients: a retrospective study.\",\"authors\":\"Federica Martorana, Sabrina Nucera, Gianmarco Motta, Maria Vita Sanò, Carlo Carnaghi, Marialuisa Puglisi, Claudia Gelsomino, Giuseppe Corsaro, Chiara Conti, Lucia Motta, Giuliana Pavone, Stefano Marletta, Giada Maria Vecchio, Gaetano Magro, Giuseppe Catanuto, Gaetano Castiglione, Francesco Caruso, Antonio Rizzo, Michele Caruso, Paolo Vigneri\",\"doi\":\"10.37349/etat.2025.1002331\",\"DOIUrl\":null,\"url\":null,\"abstract\":\"<p><strong>Aim: </strong>Clinico-pathological features have traditionally guided prognosis and adjuvant therapy for breast cancer (BC) patients. In the past decade, genomic tests such as Oncotype DX entered clinical practice to refine risk stratification and predict chemotherapy benefit for hormone-receptor positive (HR+)/human epidermal growth factor-receptor 2 negative (HER2-) BC patients after surgery. This is a retrospective analysis to investigate the correlation between histopathological parameters and recurrence score (RS), accounting for menopausal status.</p><p><strong>Methods: </strong>Data on HR+/HER2- early BC patients who underwent Oncotype DX were collected using an institutional database. Clinico-pathological characteristics were retrieved. Linear regression was used with RS as a continuous outcome, while logistic regression was performed for pre- and post-menopausal patients, dichotomizing RS at thresholds of 16 and 25, respectively.</p><p><strong>Results: </strong>A total of 180 women were included (35% pre-menopausal, 65% post-menopausal). Median age was 57.5 years. Most patients had pT1, pN0, G2 BC, with median estrogen receptor (ER) expression of 95% and a median Ki67 of 25%. Median RS was 16 [interquartile range (IQR) 12-22] in the overall cohort, 15 in pre-menopausal, and 17 in post-menopausal women. In the entire cohort, RS significantly correlated with G3 (<i>P</i> = 0.01), Ki67% (<i>P</i> < 0.0001), ER% (<i>P</i> = 0.03), and progesterone receptor (PgR)% (<i>P</i> < 0.0001). In pre-menopausal patients, only Ki67% (<i>P</i> = 0.02), ER% (<i>P</i> = 0.01), and PgR% (<i>P</i> < 0.0001) showed significant correlations, while in post-menopausal patients, G3 (<i>P</i> = 0.03), Ki67% (<i>P</i> = 0.001), and PgR% (<i>P</i> < 0.0001) achieved statistical significance. Logistic regression analysis showed that in pre-menopausal patients, PgR% predicted RS > 16 [odds ratio (OR) 0.95, <i>P</i> = 0.001]. In post-menopausal women, Ki67% (OR 1.08, <i>P</i> = 0.031) and PgR% (OR 0.95, <i>P</i> < 0.0001) predicted RS > 25.</p><p><strong>Conclusions: </strong>In this patient cohort, classical clinico-pathological features showed varying correlations with RS, depending on menopausal status. These findings highlight the complexity of risk stratification, suggesting that further research is needed to better understand the factors influencing RS and its clinical utility.</p>\",\"PeriodicalId\":73002,\"journal\":{\"name\":\"Exploration of targeted anti-tumor therapy\",\"volume\":\"6 \",\"pages\":\"1002331\"},\"PeriodicalIF\":0.0000,\"publicationDate\":\"2025-07-18\",\"publicationTypes\":\"Journal Article\",\"fieldsOfStudy\":null,\"isOpenAccess\":false,\"openAccessPdf\":\"https://www.ncbi.nlm.nih.gov/pmc/articles/PMC12290898/pdf/\",\"citationCount\":\"0\",\"resultStr\":null,\"platform\":\"Semanticscholar\",\"paperid\":null,\"PeriodicalName\":\"Exploration of targeted anti-tumor therapy\",\"FirstCategoryId\":\"1085\",\"ListUrlMain\":\"https://doi.org/10.37349/etat.2025.1002331\",\"RegionNum\":0,\"RegionCategory\":null,\"ArticlePicture\":[],\"TitleCN\":null,\"AbstractTextCN\":null,\"PMCID\":null,\"EPubDate\":\"2025/1/1 0:00:00\",\"PubModel\":\"eCollection\",\"JCR\":\"Q3\",\"JCRName\":\"Medicine\",\"Score\":null,\"Total\":0}","platform":"Semanticscholar","paperid":null,"PeriodicalName":"Exploration of targeted anti-tumor therapy","FirstCategoryId":"1085","ListUrlMain":"https://doi.org/10.37349/etat.2025.1002331","RegionNum":0,"RegionCategory":null,"ArticlePicture":[],"TitleCN":null,"AbstractTextCN":null,"PMCID":null,"EPubDate":"2025/1/1 0:00:00","PubModel":"eCollection","JCR":"Q3","JCRName":"Medicine","Score":null,"Total":0}
引用次数: 0

摘要

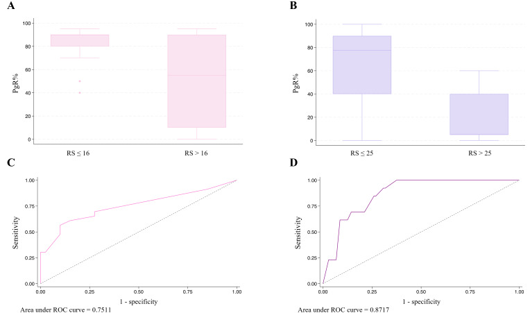
目的:临床病理特征对乳腺癌患者的预后和辅助治疗具有传统的指导意义。在过去的十年中,基因组检测(如Oncotype DX)进入临床实践,用于改进风险分层和预测激素受体阳性(HR+)/人表皮生长因子受体2阴性(HER2-) BC患者术后化疗的获益。这是一项回顾性分析,旨在研究组织病理学参数与复发评分(RS)之间的相关性,并考虑绝经状态。方法:使用机构数据库收集接受Oncotype DX治疗的HR+/HER2-早期BC患者的数据。检索临床病理特征。采用线性回归将RS作为连续结果,而对绝经前和绝经后患者进行logistic回归,分别在阈值为16和25时对RS进行二分类。结果:共纳入180名妇女(绝经前35%,绝经后65%)。中位年龄为57.5岁。大多数患者有pT1, pN0, G2 BC,中位雌激素受体(ER)表达为95%,中位Ki67为25%。在整个队列中,中位RS为16[四分位间距(IQR) 12-22],绝经前妇女为15,绝经后妇女为17。在整个队列中,RS与G3 (P = 0.01)、Ki67% (P < 0.0001)、ER% (P = 0.03)、孕激素受体(PgR)% (P < 0.0001)显著相关。绝经前患者中只有Ki67% (P = 0.02)、ER% (P = 0.01)、PgR% (P < 0.0001)具有显著相关性,绝经后患者中G3 (P = 0.03)、Ki67% (P = 0.001)、PgR% (P < 0.0001)具有统计学意义。Logistic回归分析显示,绝经前患者PgR%预测RS [OR] 0.95, P = 0.001。在绝经后妇女中,Ki67% (OR 1.08, P = 0.031)和PgR% (OR 0.95, P < 0.0001)预测RS bbb25。结论:在该患者队列中,经典临床病理特征与RS表现出不同的相关性,取决于绝经状态。这些发现突出了风险分层的复杂性,表明需要进一步研究以更好地了解影响RS的因素及其临床应用。
本文章由计算机程序翻译,如有差异,请以英文原文为准。

Correlation between histopathological features and recurrence score according to menopausal status in HR+/HER2- breast cancer patients: a retrospective study.

Correlation between histopathological features and recurrence score according to menopausal status in HR+/HER2- breast cancer patients: a retrospective study.

Correlation between histopathological features and recurrence score according to menopausal status in HR+/HER2- breast cancer patients: a retrospective study.

Aim: Clinico-pathological features have traditionally guided prognosis and adjuvant therapy for breast cancer (BC) patients. In the past decade, genomic tests such as Oncotype DX entered clinical practice to refine risk stratification and predict chemotherapy benefit for hormone-receptor positive (HR+)/human epidermal growth factor-receptor 2 negative (HER2-) BC patients after surgery. This is a retrospective analysis to investigate the correlation between histopathological parameters and recurrence score (RS), accounting for menopausal status.

Methods: Data on HR+/HER2- early BC patients who underwent Oncotype DX were collected using an institutional database. Clinico-pathological characteristics were retrieved. Linear regression was used with RS as a continuous outcome, while logistic regression was performed for pre- and post-menopausal patients, dichotomizing RS at thresholds of 16 and 25, respectively.

Results: A total of 180 women were included (35% pre-menopausal, 65% post-menopausal). Median age was 57.5 years. Most patients had pT1, pN0, G2 BC, with median estrogen receptor (ER) expression of 95% and a median Ki67 of 25%. Median RS was 16 [interquartile range (IQR) 12-22] in the overall cohort, 15 in pre-menopausal, and 17 in post-menopausal women. In the entire cohort, RS significantly correlated with G3 (P = 0.01), Ki67% (P < 0.0001), ER% (P = 0.03), and progesterone receptor (PgR)% (P < 0.0001). In pre-menopausal patients, only Ki67% (P = 0.02), ER% (P = 0.01), and PgR% (P < 0.0001) showed significant correlations, while in post-menopausal patients, G3 (P = 0.03), Ki67% (P = 0.001), and PgR% (P < 0.0001) achieved statistical significance. Logistic regression analysis showed that in pre-menopausal patients, PgR% predicted RS > 16 [odds ratio (OR) 0.95, P = 0.001]. In post-menopausal women, Ki67% (OR 1.08, P = 0.031) and PgR% (OR 0.95, P < 0.0001) predicted RS > 25.

Conclusions: In this patient cohort, classical clinico-pathological features showed varying correlations with RS, depending on menopausal status. These findings highlight the complexity of risk stratification, suggesting that further research is needed to better understand the factors influencing RS and its clinical utility.

求助全文
通过发布文献求助,成功后即可免费获取论文全文。 去求助
来源期刊
CiteScore
2.80
自引率
0.00%
发文量
0
审稿时长
13 weeks
×
引用
GB/T 7714-2015
复制
MLA
复制
APA
复制
导出至
BibTeX EndNote RefMan NoteFirst NoteExpress
×
提示
您的信息不完整,为了账户安全,请先补充。
现在去补充
×
提示
您因"违规操作"
具体请查看互助需知
我知道了
×
提示
确定
请完成安全验证×
copy
已复制链接
快去分享给好友吧!
我知道了
右上角分享
点击右上角分享
0
联系我们:info@booksci.cn Book学术提供免费学术资源搜索服务,方便国内外学者检索中英文文献。致力于提供最便捷和优质的服务体验。 Copyright © 2023 布克学术 All rights reserved.
京ICP备2023020795号-1
ghs 京公网安备 11010802042870号
Book学术文献互助
Book学术文献互助群
群 号:604180095
Book学术官方微信