太空飞行四年后骨微结构和密度的恢复:两个案例研究。

IF 4.1 1区 物理与天体物理 Q1 MULTIDISCIPLINARY SCIENCES
Bryn E Matheson, Matthias Walle, Anna-Maria Liphardt, Paul A Hulme, Martina Heer, Sara R Zwart, Jean D Sibonga, Scott M Smith, Leigh Gabel, Steven K Boyd
{"title":"太空飞行四年后骨微结构和密度的恢复:两个案例研究。","authors":"Bryn E Matheson, Matthias Walle, Anna-Maria Liphardt, Paul A Hulme, Martina Heer, Sara R Zwart, Jean D Sibonga, Scott M Smith, Leigh Gabel, Steven K Boyd","doi":"10.1038/s41526-025-00511-x","DOIUrl":null,"url":null,"abstract":"<p><p>Spaceflight is known to negatively impact bone health, but the duration of these effects remains unclear. These two case studies investigated bone microarchitecture, density, and remodelling up to 4 years after long-duration spaceflight, aiming to inform countermeasure development and guide future research efforts. High-resolution peripheral quantitative computed tomography (HR-pQCT) and dual X-ray absorptiometry (DXA) scans were conducted on two crew members at pre-flight and up to 48-months post-spaceflight. Both crew members exhibited significant bone loss in the tibia at return from spaceflight, while only one crew member showed losses in the radius. After 4 years of recovery, one crew member achieved full recovery, while the second experienced persistent trabecular deficits that were compensated by significant cortical thickening. These results provide insight into the need for tailored countermeasures and prolonged monitoring to optimize skeletal health for future long-duration space missions, with implications for bone health research on mechanical unloading and reloading.</p>","PeriodicalId":54263,"journal":{"name":"npj Microgravity","volume":"11 1","pages":"47"},"PeriodicalIF":4.1000,"publicationDate":"2025-07-28","publicationTypes":"Journal Article","fieldsOfStudy":null,"isOpenAccess":false,"openAccessPdf":"https://www.ncbi.nlm.nih.gov/pmc/articles/PMC12304210/pdf/","citationCount":"0","resultStr":"{\"title\":\"Recovery of bone microarchitecture and density four years after spaceflight: two case studies.\",\"authors\":\"Bryn E Matheson, Matthias Walle, Anna-Maria Liphardt, Paul A Hulme, Martina Heer, Sara R Zwart, Jean D Sibonga, Scott M Smith, Leigh Gabel, Steven K Boyd\",\"doi\":\"10.1038/s41526-025-00511-x\",\"DOIUrl\":null,\"url\":null,\"abstract\":\"<p><p>Spaceflight is known to negatively impact bone health, but the duration of these effects remains unclear. These two case studies investigated bone microarchitecture, density, and remodelling up to 4 years after long-duration spaceflight, aiming to inform countermeasure development and guide future research efforts. High-resolution peripheral quantitative computed tomography (HR-pQCT) and dual X-ray absorptiometry (DXA) scans were conducted on two crew members at pre-flight and up to 48-months post-spaceflight. Both crew members exhibited significant bone loss in the tibia at return from spaceflight, while only one crew member showed losses in the radius. After 4 years of recovery, one crew member achieved full recovery, while the second experienced persistent trabecular deficits that were compensated by significant cortical thickening. These results provide insight into the need for tailored countermeasures and prolonged monitoring to optimize skeletal health for future long-duration space missions, with implications for bone health research on mechanical unloading and reloading.</p>\",\"PeriodicalId\":54263,\"journal\":{\"name\":\"npj Microgravity\",\"volume\":\"11 1\",\"pages\":\"47\"},\"PeriodicalIF\":4.1000,\"publicationDate\":\"2025-07-28\",\"publicationTypes\":\"Journal Article\",\"fieldsOfStudy\":null,\"isOpenAccess\":false,\"openAccessPdf\":\"https://www.ncbi.nlm.nih.gov/pmc/articles/PMC12304210/pdf/\",\"citationCount\":\"0\",\"resultStr\":null,\"platform\":\"Semanticscholar\",\"paperid\":null,\"PeriodicalName\":\"npj Microgravity\",\"FirstCategoryId\":\"1085\",\"ListUrlMain\":\"https://doi.org/10.1038/s41526-025-00511-x\",\"RegionNum\":1,\"RegionCategory\":\"物理与天体物理\",\"ArticlePicture\":[],\"TitleCN\":null,\"AbstractTextCN\":null,\"PMCID\":null,\"EPubDate\":\"\",\"PubModel\":\"\",\"JCR\":\"Q1\",\"JCRName\":\"MULTIDISCIPLINARY SCIENCES\",\"Score\":null,\"Total\":0}","platform":"Semanticscholar","paperid":null,"PeriodicalName":"npj Microgravity","FirstCategoryId":"1085","ListUrlMain":"https://doi.org/10.1038/s41526-025-00511-x","RegionNum":1,"RegionCategory":"物理与天体物理","ArticlePicture":[],"TitleCN":null,"AbstractTextCN":null,"PMCID":null,"EPubDate":"","PubModel":"","JCR":"Q1","JCRName":"MULTIDISCIPLINARY SCIENCES","Score":null,"Total":0}
引用次数: 0

摘要

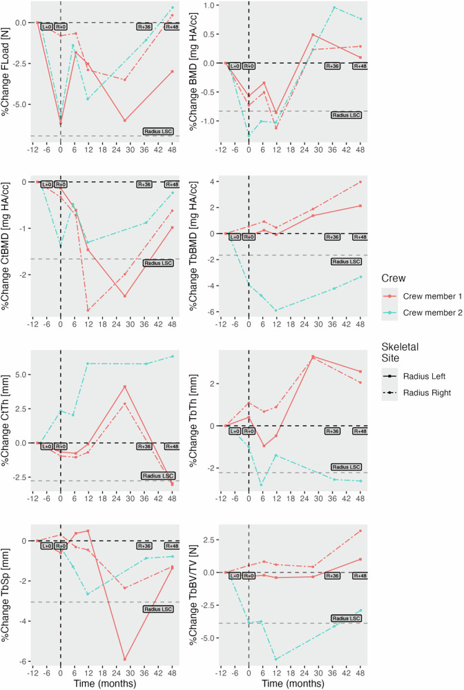
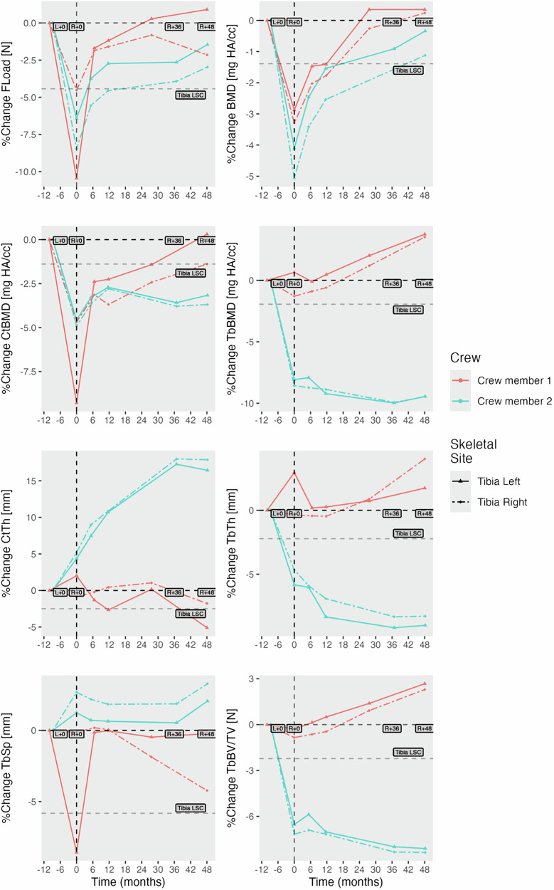
众所周知,太空飞行会对骨骼健康产生负面影响,但这些影响的持续时间尚不清楚。这两个案例研究调查了长时间太空飞行后长达4年的骨微结构、密度和重塑,旨在为对策开发提供信息并指导未来的研究工作。高分辨率外围定量计算机断层扫描(HR-pQCT)和双x射线吸收仪(DXA)扫描在飞行前和飞行后48个月对两名机组人员进行了扫描。两名机组人员在从太空飞行返回时都表现出明显的胫骨骨丢失,而只有一名机组人员表现出桡骨丢失。经过4年的康复,一名机组人员完全康复,而另一名机组人员经历了持续的小梁缺损,并通过显著的皮质增厚得到补偿。这些结果为未来长时间太空任务优化骨骼健康提供了量身定制的对策和长期监测的需求,对机械卸载和再加载的骨骼健康研究具有重要意义。
本文章由计算机程序翻译,如有差异,请以英文原文为准。

Recovery of bone microarchitecture and density four years after spaceflight: two case studies.

Recovery of bone microarchitecture and density four years after spaceflight: two case studies.

Recovery of bone microarchitecture and density four years after spaceflight: two case studies.

Recovery of bone microarchitecture and density four years after spaceflight: two case studies.

Spaceflight is known to negatively impact bone health, but the duration of these effects remains unclear. These two case studies investigated bone microarchitecture, density, and remodelling up to 4 years after long-duration spaceflight, aiming to inform countermeasure development and guide future research efforts. High-resolution peripheral quantitative computed tomography (HR-pQCT) and dual X-ray absorptiometry (DXA) scans were conducted on two crew members at pre-flight and up to 48-months post-spaceflight. Both crew members exhibited significant bone loss in the tibia at return from spaceflight, while only one crew member showed losses in the radius. After 4 years of recovery, one crew member achieved full recovery, while the second experienced persistent trabecular deficits that were compensated by significant cortical thickening. These results provide insight into the need for tailored countermeasures and prolonged monitoring to optimize skeletal health for future long-duration space missions, with implications for bone health research on mechanical unloading and reloading.

求助全文
通过发布文献求助,成功后即可免费获取论文全文。 去求助
来源期刊
npj Microgravity
npj Microgravity Physics and Astronomy-Physics and Astronomy (miscellaneous)
CiteScore
7.30
自引率
7.80%
发文量
50
审稿时长
9 weeks
期刊介绍: A new open access, online-only, multidisciplinary research journal, npj Microgravity is dedicated to publishing the most important scientific advances in the life sciences, physical sciences, and engineering fields that are facilitated by spaceflight and analogue platforms.
×
引用
GB/T 7714-2015
复制
MLA
复制
APA
复制
导出至
BibTeX EndNote RefMan NoteFirst NoteExpress
×
提示
您的信息不完整,为了账户安全,请先补充。
现在去补充
×
提示
您因"违规操作"
具体请查看互助需知
我知道了
×
提示
确定
请完成安全验证×
copy
已复制链接
快去分享给好友吧!
我知道了
右上角分享
点击右上角分享
0
联系我们:info@booksci.cn Book学术提供免费学术资源搜索服务,方便国内外学者检索中英文文献。致力于提供最便捷和优质的服务体验。 Copyright © 2023 布克学术 All rights reserved.
京ICP备2023020795号-1
ghs 京公网安备 11010802042870号
Book学术文献互助
Book学术文献互助群
群 号:604180095
Book学术官方微信