爱的能力限制和性欲亢进与精神病和偏执观念的关系。

IF 2 3区 医学 Q1 MEDICINE, GENERAL & INTERNAL
Sexual Medicine Pub Date : 2025-07-25 eCollection Date: 2025-06-01 DOI:10.1093/sexmed/qfaf050
Giulia Origlia, Davide Doroldi, Gabriele Lo Buglio, Tommaso Boldrini, Antonio Del Casale, Grazia Spitoni, Erika Limoncin, Giacomo Ciocca
{"title":"爱的能力限制和性欲亢进与精神病和偏执观念的关系。","authors":"Giulia Origlia, Davide Doroldi, Gabriele Lo Buglio, Tommaso Boldrini, Antonio Del Casale, Grazia Spitoni, Erika Limoncin, Giacomo Ciocca","doi":"10.1093/sexmed/qfaf050","DOIUrl":null,"url":null,"abstract":"<p><strong>Background: </strong>Limitation to the Capacity to Love (CTL) and problematic sexuality could be considered as indicators of psychopathological suffering.</p><p><strong>Aim: </strong>We aimed to investigate the relationship between problematic sexuality, specifically hypersexuality, and the symptom dimensions of psychoticism and paranoid ideation, with a focus on the role of the CTL, in a non-clinical sample.</p><p><strong>Methods: </strong>Through an online platform, we recruited a convenience sample of 521 subjects (390 females and 131 males; age span: 18-50).</p><p><strong>Outcomes: </strong>Recruited subjects completed a psychometric protocol that included completion of the following measurement tools: (1) the Capacity to Love Inventory, (2) the Hypersexual Behavior Inventory, (3) the Brief Symptom Inventory.</p><p><strong>Results: </strong>Results indicated a significant inverse correlation between CTL and both paranoid ideation and psychoticism, with hypersexuality positively correlated with these symptoms. Linear regression analysis revealed that CTL acts as a protective factor, while hypersexuality is a predictive factor for both psychoticism and paranoid ideation.</p><p><strong>Clinical implications: </strong>The study highlights the importance of evaluating sexual behavior and subclinical symptomatology in non-clinical populations, and it underscores the potential role of CTL as an indicator of relational functioning.</p><p><strong>Strengths and limitations: </strong>The strength of this research lies undoubtedly in its innovative inclusion of the construct of CTL in studying the relationship between sexuality, paranoid ideation, and psychoticism.However, the research design reveals a gender imbalance that may limit the significance of the findings. Moreover, the study was conducted on a sample primarily composed of students and individuals from Italian cultural backgrounds, which should be considered when generalizing the results.</p><p><strong>Conclusion: </strong>The relationship between the limitation of the CTL, hypersexuality and paranoid ideation and psychoticism (assessed with the SCL-90) sheds light on the importance of integrating the assessment of a central aspect of human life, that is, the CTL, with problematic sexuality and psychopathological symptoms, in the clinical practice of prevention of sexual and psychological problems.</p>","PeriodicalId":21782,"journal":{"name":"Sexual Medicine","volume":"13 3","pages":"qfaf050"},"PeriodicalIF":2.0000,"publicationDate":"2025-07-25","publicationTypes":"Journal Article","fieldsOfStudy":null,"isOpenAccess":false,"openAccessPdf":"https://www.ncbi.nlm.nih.gov/pmc/articles/PMC12291535/pdf/","citationCount":"0","resultStr":"{\"title\":\"Limitation to the capacity to love and hypersexual behavior in their relationship with psychoticism and paranoid ideation.\",\"authors\":\"Giulia Origlia, Davide Doroldi, Gabriele Lo Buglio, Tommaso Boldrini, Antonio Del Casale, Grazia Spitoni, Erika Limoncin, Giacomo Ciocca\",\"doi\":\"10.1093/sexmed/qfaf050\",\"DOIUrl\":null,\"url\":null,\"abstract\":\"<p><strong>Background: </strong>Limitation to the Capacity to Love (CTL) and problematic sexuality could be considered as indicators of psychopathological suffering.</p><p><strong>Aim: </strong>We aimed to investigate the relationship between problematic sexuality, specifically hypersexuality, and the symptom dimensions of psychoticism and paranoid ideation, with a focus on the role of the CTL, in a non-clinical sample.</p><p><strong>Methods: </strong>Through an online platform, we recruited a convenience sample of 521 subjects (390 females and 131 males; age span: 18-50).</p><p><strong>Outcomes: </strong>Recruited subjects completed a psychometric protocol that included completion of the following measurement tools: (1) the Capacity to Love Inventory, (2) the Hypersexual Behavior Inventory, (3) the Brief Symptom Inventory.</p><p><strong>Results: </strong>Results indicated a significant inverse correlation between CTL and both paranoid ideation and psychoticism, with hypersexuality positively correlated with these symptoms. Linear regression analysis revealed that CTL acts as a protective factor, while hypersexuality is a predictive factor for both psychoticism and paranoid ideation.</p><p><strong>Clinical implications: </strong>The study highlights the importance of evaluating sexual behavior and subclinical symptomatology in non-clinical populations, and it underscores the potential role of CTL as an indicator of relational functioning.</p><p><strong>Strengths and limitations: </strong>The strength of this research lies undoubtedly in its innovative inclusion of the construct of CTL in studying the relationship between sexuality, paranoid ideation, and psychoticism.However, the research design reveals a gender imbalance that may limit the significance of the findings. Moreover, the study was conducted on a sample primarily composed of students and individuals from Italian cultural backgrounds, which should be considered when generalizing the results.</p><p><strong>Conclusion: </strong>The relationship between the limitation of the CTL, hypersexuality and paranoid ideation and psychoticism (assessed with the SCL-90) sheds light on the importance of integrating the assessment of a central aspect of human life, that is, the CTL, with problematic sexuality and psychopathological symptoms, in the clinical practice of prevention of sexual and psychological problems.</p>\",\"PeriodicalId\":21782,\"journal\":{\"name\":\"Sexual Medicine\",\"volume\":\"13 3\",\"pages\":\"qfaf050\"},\"PeriodicalIF\":2.0000,\"publicationDate\":\"2025-07-25\",\"publicationTypes\":\"Journal Article\",\"fieldsOfStudy\":null,\"isOpenAccess\":false,\"openAccessPdf\":\"https://www.ncbi.nlm.nih.gov/pmc/articles/PMC12291535/pdf/\",\"citationCount\":\"0\",\"resultStr\":null,\"platform\":\"Semanticscholar\",\"paperid\":null,\"PeriodicalName\":\"Sexual Medicine\",\"FirstCategoryId\":\"3\",\"ListUrlMain\":\"https://doi.org/10.1093/sexmed/qfaf050\",\"RegionNum\":3,\"RegionCategory\":\"医学\",\"ArticlePicture\":[],\"TitleCN\":null,\"AbstractTextCN\":null,\"PMCID\":null,\"EPubDate\":\"2025/6/1 0:00:00\",\"PubModel\":\"eCollection\",\"JCR\":\"Q1\",\"JCRName\":\"MEDICINE, GENERAL & INTERNAL\",\"Score\":null,\"Total\":0}","platform":"Semanticscholar","paperid":null,"PeriodicalName":"Sexual Medicine","FirstCategoryId":"3","ListUrlMain":"https://doi.org/10.1093/sexmed/qfaf050","RegionNum":3,"RegionCategory":"医学","ArticlePicture":[],"TitleCN":null,"AbstractTextCN":null,"PMCID":null,"EPubDate":"2025/6/1 0:00:00","PubModel":"eCollection","JCR":"Q1","JCRName":"MEDICINE, GENERAL & INTERNAL","Score":null,"Total":0}
引用次数: 0

摘要

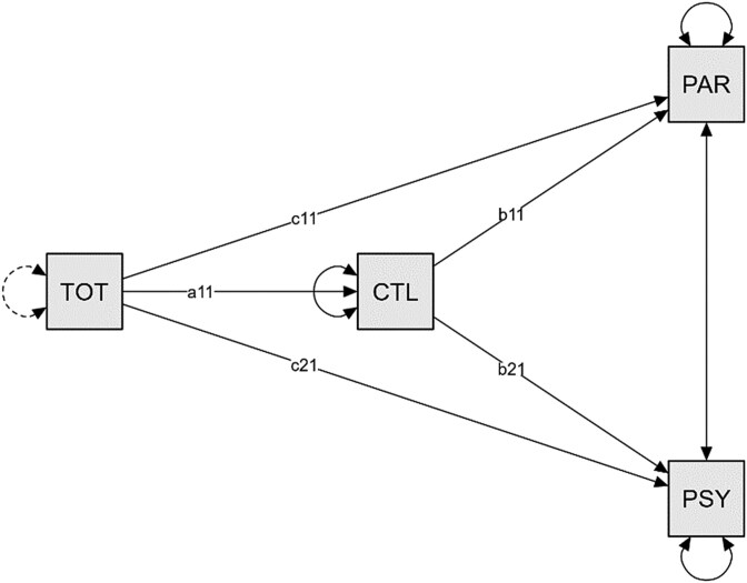
背景:爱的能力限制(CTL)和性问题可以被认为是精神病理痛苦的指标。目的:我们旨在调查问题性行为,特别是性欲亢进,与精神病和偏执观念的症状维度之间的关系,重点关注CTL在非临床样本中的作用。方法:通过网络平台,我们招募了521名受试者(女性390人,男性131人;年龄:18-50岁。结果:招募的受试者完成了一项心理测量方案,包括完成以下测量工具:(1)爱的能力量表,(2)性欲亢进行为量表,(3)简短症状量表。结果:CTL与偏执妄想和精神病呈显著负相关,而性欲亢进与偏执妄想和精神病呈显著正相关。线性回归分析显示,CTL是保护因子,而性欲亢进是精神病和偏执妄想的预测因子。临床意义:该研究强调了在非临床人群中评估性行为和亚临床症状的重要性,并强调了CTL作为关系功能指标的潜在作用。优势与局限:本研究的优势无疑在于其创新性地纳入了CTL的结构来研究性、偏执观念和精神病之间的关系。然而,研究设计揭示了性别失衡,这可能会限制研究结果的意义。此外,该研究的样本主要由来自意大利文化背景的学生和个人组成,在推广结果时应考虑到这一点。结论:CTL的局限性、性欲亢进、偏执观念和精神病(用SCL-90评估)之间的关系揭示了将人类生活的一个核心方面,即CTL、性问题和精神病理症状的评估整合在性和心理问题预防的临床实践中的重要性。
本文章由计算机程序翻译,如有差异,请以英文原文为准。

Limitation to the capacity to love and hypersexual behavior in their relationship with psychoticism and paranoid ideation.

Limitation to the capacity to love and hypersexual behavior in their relationship with psychoticism and paranoid ideation.

Background: Limitation to the Capacity to Love (CTL) and problematic sexuality could be considered as indicators of psychopathological suffering.

Aim: We aimed to investigate the relationship between problematic sexuality, specifically hypersexuality, and the symptom dimensions of psychoticism and paranoid ideation, with a focus on the role of the CTL, in a non-clinical sample.

Methods: Through an online platform, we recruited a convenience sample of 521 subjects (390 females and 131 males; age span: 18-50).

Outcomes: Recruited subjects completed a psychometric protocol that included completion of the following measurement tools: (1) the Capacity to Love Inventory, (2) the Hypersexual Behavior Inventory, (3) the Brief Symptom Inventory.

Results: Results indicated a significant inverse correlation between CTL and both paranoid ideation and psychoticism, with hypersexuality positively correlated with these symptoms. Linear regression analysis revealed that CTL acts as a protective factor, while hypersexuality is a predictive factor for both psychoticism and paranoid ideation.

Clinical implications: The study highlights the importance of evaluating sexual behavior and subclinical symptomatology in non-clinical populations, and it underscores the potential role of CTL as an indicator of relational functioning.

Strengths and limitations: The strength of this research lies undoubtedly in its innovative inclusion of the construct of CTL in studying the relationship between sexuality, paranoid ideation, and psychoticism.However, the research design reveals a gender imbalance that may limit the significance of the findings. Moreover, the study was conducted on a sample primarily composed of students and individuals from Italian cultural backgrounds, which should be considered when generalizing the results.

Conclusion: The relationship between the limitation of the CTL, hypersexuality and paranoid ideation and psychoticism (assessed with the SCL-90) sheds light on the importance of integrating the assessment of a central aspect of human life, that is, the CTL, with problematic sexuality and psychopathological symptoms, in the clinical practice of prevention of sexual and psychological problems.

求助全文
通过发布文献求助,成功后即可免费获取论文全文。 去求助
来源期刊
Sexual Medicine
Sexual Medicine MEDICINE, GENERAL & INTERNAL-
CiteScore
5.40
自引率
0.00%
发文量
103
审稿时长
22 weeks
期刊介绍: Sexual Medicine is an official publication of the International Society for Sexual Medicine, and serves the field as the peer-reviewed, open access journal for rapid dissemination of multidisciplinary clinical and basic research in all areas of global sexual medicine, and particularly acts as a venue for topics of regional or sub-specialty interest. The journal is focused on issues in clinical medicine and epidemiology but also publishes basic science papers with particular relevance to specific populations. Sexual Medicine offers clinicians and researchers a rapid route to publication and the opportunity to publish in a broadly distributed and highly visible global forum. The journal publishes high quality articles from all over the world and actively seeks submissions from countries with expanding sexual medicine communities. Sexual Medicine relies on the same expert panel of editors and reviewers as The Journal of Sexual Medicine and Sexual Medicine Reviews.
×
引用
GB/T 7714-2015
复制
MLA
复制
APA
复制
导出至
BibTeX EndNote RefMan NoteFirst NoteExpress
×
提示
您的信息不完整,为了账户安全,请先补充。
现在去补充
×
提示
您因"违规操作"
具体请查看互助需知
我知道了
×
提示
确定
请完成安全验证×
copy
已复制链接
快去分享给好友吧!
我知道了
右上角分享
点击右上角分享
0
联系我们:info@booksci.cn Book学术提供免费学术资源搜索服务,方便国内外学者检索中英文文献。致力于提供最便捷和优质的服务体验。 Copyright © 2023 布克学术 All rights reserved.
京ICP备2023020795号-1
ghs 京公网安备 11010802042870号
Book学术文献互助
Book学术文献互助群
群 号:604180095
Book学术官方微信