慢性鼻窦炎的外周血代谢特征及其在肥胖与疾病之间的中介作用。

IF 3.9 2区 医学 Q2 BIOCHEMISTRY & MOLECULAR BIOLOGY
Zengxiao Zhang, Shunke Li, Shizhe Zhou, Lin Wang, Xudong Yan, Longgang Yu, Yan Jiang
{"title":"慢性鼻窦炎的外周血代谢特征及其在肥胖与疾病之间的中介作用。","authors":"Zengxiao Zhang, Shunke Li, Shizhe Zhou, Lin Wang, Xudong Yan, Longgang Yu, Yan Jiang","doi":"10.1186/s12944-025-02672-w","DOIUrl":null,"url":null,"abstract":"<p><strong>Background: </strong>Chronic rhinosinusitis (CRS) is increasingly linked to systemic inflammation, however, research on peripheral blood metabolic patterns in CRS patients remains limited. This study aimed to investigate peripheral blood metabolic profiles in eosinophilic CRS and non-eosinophilic CRS, while exploring the mediating role of metabolites in the relationship between body mass index and CRS.</p><p><strong>Methods: </strong>Clinical data were collected from 1,151 CRS patients and 814 healthy controls, classifying patients into eosinophilic CRS and non-eosinophilic CRS groups based on tissue eosinophil counts. Peripheral blood metabolic profiles were compared across different CRS endotypes and between CRS patients and healthy controls. Causal mediation analysis assessed the mediating effects of metabolites on the relationship between body mass index and CRS.</p><p><strong>Results: </strong>CRS patients exhibited distinct metabolic profiles, with dysregulated lipid metabolism characterized by increased triglycerides, free fatty acids, and lipoprotein(a), but patients with eosinophilic CRS had higher triglycerides, while non-eosinophilic CRS had higher free fatty acids. Cystatin-C effectively differentiated CRS endotypes (area under the curve = 0.735). Elevated body mass index was a risk factor for both eosinophilic CRS and non-eosinophilic CRS patients, with peripheral free fatty acids and Cystatin-C mediating this effect.</p><p><strong>Conclusions: </strong>This study reveals distinct metabolic profiles in patients with CRS, supporting its link to systemic inflammation. Promoting healthy dietary habits and weight control is therefore a cornerstone of sustainable, preventive care, offering a practical strategy to improve long-term patient well-being, particularly in refractory cases.</p>","PeriodicalId":18073,"journal":{"name":"Lipids in Health and Disease","volume":"24 1","pages":"251"},"PeriodicalIF":3.9000,"publicationDate":"2025-07-28","publicationTypes":"Journal Article","fieldsOfStudy":null,"isOpenAccess":false,"openAccessPdf":"https://www.ncbi.nlm.nih.gov/pmc/articles/PMC12306000/pdf/","citationCount":"0","resultStr":"{\"title\":\"Peripheral blood metabolic profiles of chronic rhinosinusitis and their mediating role between obesity and disease.\",\"authors\":\"Zengxiao Zhang, Shunke Li, Shizhe Zhou, Lin Wang, Xudong Yan, Longgang Yu, Yan Jiang\",\"doi\":\"10.1186/s12944-025-02672-w\",\"DOIUrl\":null,\"url\":null,\"abstract\":\"<p><strong>Background: </strong>Chronic rhinosinusitis (CRS) is increasingly linked to systemic inflammation, however, research on peripheral blood metabolic patterns in CRS patients remains limited. This study aimed to investigate peripheral blood metabolic profiles in eosinophilic CRS and non-eosinophilic CRS, while exploring the mediating role of metabolites in the relationship between body mass index and CRS.</p><p><strong>Methods: </strong>Clinical data were collected from 1,151 CRS patients and 814 healthy controls, classifying patients into eosinophilic CRS and non-eosinophilic CRS groups based on tissue eosinophil counts. Peripheral blood metabolic profiles were compared across different CRS endotypes and between CRS patients and healthy controls. Causal mediation analysis assessed the mediating effects of metabolites on the relationship between body mass index and CRS.</p><p><strong>Results: </strong>CRS patients exhibited distinct metabolic profiles, with dysregulated lipid metabolism characterized by increased triglycerides, free fatty acids, and lipoprotein(a), but patients with eosinophilic CRS had higher triglycerides, while non-eosinophilic CRS had higher free fatty acids. Cystatin-C effectively differentiated CRS endotypes (area under the curve = 0.735). Elevated body mass index was a risk factor for both eosinophilic CRS and non-eosinophilic CRS patients, with peripheral free fatty acids and Cystatin-C mediating this effect.</p><p><strong>Conclusions: </strong>This study reveals distinct metabolic profiles in patients with CRS, supporting its link to systemic inflammation. Promoting healthy dietary habits and weight control is therefore a cornerstone of sustainable, preventive care, offering a practical strategy to improve long-term patient well-being, particularly in refractory cases.</p>\",\"PeriodicalId\":18073,\"journal\":{\"name\":\"Lipids in Health and Disease\",\"volume\":\"24 1\",\"pages\":\"251\"},\"PeriodicalIF\":3.9000,\"publicationDate\":\"2025-07-28\",\"publicationTypes\":\"Journal Article\",\"fieldsOfStudy\":null,\"isOpenAccess\":false,\"openAccessPdf\":\"https://www.ncbi.nlm.nih.gov/pmc/articles/PMC12306000/pdf/\",\"citationCount\":\"0\",\"resultStr\":null,\"platform\":\"Semanticscholar\",\"paperid\":null,\"PeriodicalName\":\"Lipids in Health and Disease\",\"FirstCategoryId\":\"3\",\"ListUrlMain\":\"https://doi.org/10.1186/s12944-025-02672-w\",\"RegionNum\":2,\"RegionCategory\":\"医学\",\"ArticlePicture\":[],\"TitleCN\":null,\"AbstractTextCN\":null,\"PMCID\":null,\"EPubDate\":\"\",\"PubModel\":\"\",\"JCR\":\"Q2\",\"JCRName\":\"BIOCHEMISTRY & MOLECULAR BIOLOGY\",\"Score\":null,\"Total\":0}","platform":"Semanticscholar","paperid":null,"PeriodicalName":"Lipids in Health and Disease","FirstCategoryId":"3","ListUrlMain":"https://doi.org/10.1186/s12944-025-02672-w","RegionNum":2,"RegionCategory":"医学","ArticlePicture":[],"TitleCN":null,"AbstractTextCN":null,"PMCID":null,"EPubDate":"","PubModel":"","JCR":"Q2","JCRName":"BIOCHEMISTRY & MOLECULAR BIOLOGY","Score":null,"Total":0}
引用次数: 0

摘要

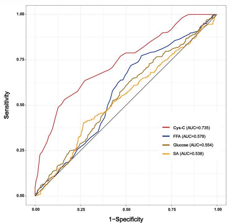
背景:慢性鼻窦炎(CRS)越来越多地与全身性炎症相关,然而,对CRS患者外周血代谢模式的研究仍然有限。本研究旨在研究嗜酸性粒细胞CRS和非嗜酸性粒细胞CRS的外周血代谢谱,同时探讨代谢产物在体重指数与CRS关系中的中介作用。方法:收集1151例CRS患者和814例健康对照者的临床资料,根据组织嗜酸性粒细胞计数将患者分为嗜酸性CRS组和非嗜酸性CRS组。外周血代谢谱在不同的CRS内型之间以及CRS患者和健康对照之间进行比较。因果中介分析评估代谢物对体重指数与CRS关系的中介作用。结果:CRS患者表现出不同的代谢特征,以甘油三酯、游离脂肪酸和脂蛋白(a)升高为特征的脂质代谢失调,但嗜酸性CRS患者的甘油三酯较高,而非嗜酸性CRS患者的游离脂肪酸较高。Cystatin-C能有效分化CRS内型(曲线下面积= 0.735)。无论是嗜酸性粒细胞CRS患者还是非嗜酸性粒细胞CRS患者,体重指数升高都是一个危险因素,外周游离脂肪酸和胱抑素c介导了这一作用。结论:这项研究揭示了CRS患者不同的代谢谱,支持其与全身性炎症的联系。因此,促进健康饮食习惯和控制体重是可持续预防保健的基石,提供了一种切实可行的战略,以改善患者的长期福祉,特别是在难治性病例中。
本文章由计算机程序翻译,如有差异,请以英文原文为准。

Peripheral blood metabolic profiles of chronic rhinosinusitis and their mediating role between obesity and disease.

Peripheral blood metabolic profiles of chronic rhinosinusitis and their mediating role between obesity and disease.

Peripheral blood metabolic profiles of chronic rhinosinusitis and their mediating role between obesity and disease.

Peripheral blood metabolic profiles of chronic rhinosinusitis and their mediating role between obesity and disease.

Background: Chronic rhinosinusitis (CRS) is increasingly linked to systemic inflammation, however, research on peripheral blood metabolic patterns in CRS patients remains limited. This study aimed to investigate peripheral blood metabolic profiles in eosinophilic CRS and non-eosinophilic CRS, while exploring the mediating role of metabolites in the relationship between body mass index and CRS.

Methods: Clinical data were collected from 1,151 CRS patients and 814 healthy controls, classifying patients into eosinophilic CRS and non-eosinophilic CRS groups based on tissue eosinophil counts. Peripheral blood metabolic profiles were compared across different CRS endotypes and between CRS patients and healthy controls. Causal mediation analysis assessed the mediating effects of metabolites on the relationship between body mass index and CRS.

Results: CRS patients exhibited distinct metabolic profiles, with dysregulated lipid metabolism characterized by increased triglycerides, free fatty acids, and lipoprotein(a), but patients with eosinophilic CRS had higher triglycerides, while non-eosinophilic CRS had higher free fatty acids. Cystatin-C effectively differentiated CRS endotypes (area under the curve = 0.735). Elevated body mass index was a risk factor for both eosinophilic CRS and non-eosinophilic CRS patients, with peripheral free fatty acids and Cystatin-C mediating this effect.

Conclusions: This study reveals distinct metabolic profiles in patients with CRS, supporting its link to systemic inflammation. Promoting healthy dietary habits and weight control is therefore a cornerstone of sustainable, preventive care, offering a practical strategy to improve long-term patient well-being, particularly in refractory cases.

求助全文
通过发布文献求助,成功后即可免费获取论文全文。 去求助
来源期刊
Lipids in Health and Disease
Lipids in Health and Disease 生物-生化与分子生物学
CiteScore
7.70
自引率
2.20%
发文量
122
审稿时长
3-8 weeks
期刊介绍: Lipids in Health and Disease is an open access, peer-reviewed, journal that publishes articles on all aspects of lipids: their biochemistry, pharmacology, toxicology, role in health and disease, and the synthesis of new lipid compounds. Lipids in Health and Disease is aimed at all scientists, health professionals and physicians interested in the area of lipids. Lipids are defined here in their broadest sense, to include: cholesterol, essential fatty acids, saturated fatty acids, phospholipids, inositol lipids, second messenger lipids, enzymes and synthetic machinery that is involved in the metabolism of various lipids in the cells and tissues, and also various aspects of lipid transport, etc. In addition, the journal also publishes research that investigates and defines the role of lipids in various physiological processes, pathology and disease. In particular, the journal aims to bridge the gap between the bench and the clinic by publishing articles that are particularly relevant to human diseases and the role of lipids in the management of various diseases.
×
引用
GB/T 7714-2015
复制
MLA
复制
APA
复制
导出至
BibTeX EndNote RefMan NoteFirst NoteExpress
×
提示
您的信息不完整,为了账户安全,请先补充。
现在去补充
×
提示
您因"违规操作"
具体请查看互助需知
我知道了
×
提示
确定
请完成安全验证×
copy
已复制链接
快去分享给好友吧!
我知道了
右上角分享
点击右上角分享
0
联系我们:info@booksci.cn Book学术提供免费学术资源搜索服务,方便国内外学者检索中英文文献。致力于提供最便捷和优质的服务体验。 Copyright © 2023 布克学术 All rights reserved.
京ICP备2023020795号-1
ghs 京公网安备 11010802042870号
Book学术文献互助
Book学术文献互助群
群 号:604180095
Book学术官方微信