吩噻嗪类药物的治疗机制:癌症治疗和抗生素耐药性进展综述。

IF 1.8 4区 医学 Q3 PHARMACOLOGY & PHARMACY
Iranian Journal of Pharmaceutical Research Pub Date : 2025-02-08 eCollection Date: 2025-01-01 DOI:10.5812/ijpr-157923
Xuewei Zou, Bai Xie
{"title":"吩噻嗪类药物的治疗机制:癌症治疗和抗生素耐药性进展综述。","authors":"Xuewei Zou, Bai Xie","doi":"10.5812/ijpr-157923","DOIUrl":null,"url":null,"abstract":"<p><strong>Context: </strong>Cancer and antibiotic resistance are critical global health challenges. Phenothiazines, initially developed as antipsychotics, have demonstrated diverse biological activities, including antitumor, antibacterial, and antioxidant effects. Advances in phenothiazine synthesis have produced derivatives with broader therapeutic potential by modulating receptors, ion channels, and inducing lysosomal cell death. This review explores the therapeutic potential of phenothiazines in oncology and infectious disease management, focusing on their mechanisms of action and future clinical applications.</p><p><strong>Evidence acquisition: </strong>This narrative review synthesizes insights from relevant preclinical studies on phenothiazines' applications in oncology and infectious diseases. Mechanistic pathways and experimental outcomes were analyzed to highlight therapeutic potentials and limitations.</p><p><strong>Results: </strong>Phenothiazines demonstrate significant potential in oncology by inhibiting tumor growth via apoptosis induction, pathway modulation (e.g., PDK1/Akt, MAPK/ERK1/2, and Akt/mTOR), angiogenesis suppression through vascular endothelial growth factor (VEGF) production inhibition, and enhancing the effectiveness of monoclonal antibody therapies. They disrupt key cancer-promoting pathways and induce lysosomal cell death. Beyond oncology, phenothiazines exhibit antibacterial activity, targeting efflux pumps (Eps) and restoring antibiotic susceptibility in multidrug-resistant (MDR) pathogens. These multifaceted actions position phenothiazines as promising agents for combination therapies in cancer treatment and antibiotic-resistant infections.</p><p><strong>Conclusions: </strong>Phenothiazines hold promise as adjuvants in cancer and antibiotic resistance management. Further research should focus on optimizing their pharmacological profiles, elucidating molecular mechanisms, and validating their efficacy through clinical trials.</p>","PeriodicalId":14595,"journal":{"name":"Iranian Journal of Pharmaceutical Research","volume":"24 1","pages":"e157923"},"PeriodicalIF":1.8000,"publicationDate":"2025-02-08","publicationTypes":"Journal Article","fieldsOfStudy":null,"isOpenAccess":false,"openAccessPdf":"https://www.ncbi.nlm.nih.gov/pmc/articles/PMC12297022/pdf/","citationCount":"0","resultStr":"{\"title\":\"Therapeutic Mechanisms of Phenothiazine Drugs: A Mini-Review of Advances in Cancer Treatment and Antibiotic Resistance.\",\"authors\":\"Xuewei Zou, Bai Xie\",\"doi\":\"10.5812/ijpr-157923\",\"DOIUrl\":null,\"url\":null,\"abstract\":\"<p><strong>Context: </strong>Cancer and antibiotic resistance are critical global health challenges. Phenothiazines, initially developed as antipsychotics, have demonstrated diverse biological activities, including antitumor, antibacterial, and antioxidant effects. Advances in phenothiazine synthesis have produced derivatives with broader therapeutic potential by modulating receptors, ion channels, and inducing lysosomal cell death. This review explores the therapeutic potential of phenothiazines in oncology and infectious disease management, focusing on their mechanisms of action and future clinical applications.</p><p><strong>Evidence acquisition: </strong>This narrative review synthesizes insights from relevant preclinical studies on phenothiazines' applications in oncology and infectious diseases. Mechanistic pathways and experimental outcomes were analyzed to highlight therapeutic potentials and limitations.</p><p><strong>Results: </strong>Phenothiazines demonstrate significant potential in oncology by inhibiting tumor growth via apoptosis induction, pathway modulation (e.g., PDK1/Akt, MAPK/ERK1/2, and Akt/mTOR), angiogenesis suppression through vascular endothelial growth factor (VEGF) production inhibition, and enhancing the effectiveness of monoclonal antibody therapies. They disrupt key cancer-promoting pathways and induce lysosomal cell death. Beyond oncology, phenothiazines exhibit antibacterial activity, targeting efflux pumps (Eps) and restoring antibiotic susceptibility in multidrug-resistant (MDR) pathogens. These multifaceted actions position phenothiazines as promising agents for combination therapies in cancer treatment and antibiotic-resistant infections.</p><p><strong>Conclusions: </strong>Phenothiazines hold promise as adjuvants in cancer and antibiotic resistance management. Further research should focus on optimizing their pharmacological profiles, elucidating molecular mechanisms, and validating their efficacy through clinical trials.</p>\",\"PeriodicalId\":14595,\"journal\":{\"name\":\"Iranian Journal of Pharmaceutical Research\",\"volume\":\"24 1\",\"pages\":\"e157923\"},\"PeriodicalIF\":1.8000,\"publicationDate\":\"2025-02-08\",\"publicationTypes\":\"Journal Article\",\"fieldsOfStudy\":null,\"isOpenAccess\":false,\"openAccessPdf\":\"https://www.ncbi.nlm.nih.gov/pmc/articles/PMC12297022/pdf/\",\"citationCount\":\"0\",\"resultStr\":null,\"platform\":\"Semanticscholar\",\"paperid\":null,\"PeriodicalName\":\"Iranian Journal of Pharmaceutical Research\",\"FirstCategoryId\":\"3\",\"ListUrlMain\":\"https://doi.org/10.5812/ijpr-157923\",\"RegionNum\":4,\"RegionCategory\":\"医学\",\"ArticlePicture\":[],\"TitleCN\":null,\"AbstractTextCN\":null,\"PMCID\":null,\"EPubDate\":\"2025/1/1 0:00:00\",\"PubModel\":\"eCollection\",\"JCR\":\"Q3\",\"JCRName\":\"PHARMACOLOGY & PHARMACY\",\"Score\":null,\"Total\":0}","platform":"Semanticscholar","paperid":null,"PeriodicalName":"Iranian Journal of Pharmaceutical Research","FirstCategoryId":"3","ListUrlMain":"https://doi.org/10.5812/ijpr-157923","RegionNum":4,"RegionCategory":"医学","ArticlePicture":[],"TitleCN":null,"AbstractTextCN":null,"PMCID":null,"EPubDate":"2025/1/1 0:00:00","PubModel":"eCollection","JCR":"Q3","JCRName":"PHARMACOLOGY & PHARMACY","Score":null,"Total":0}
引用次数: 0

摘要

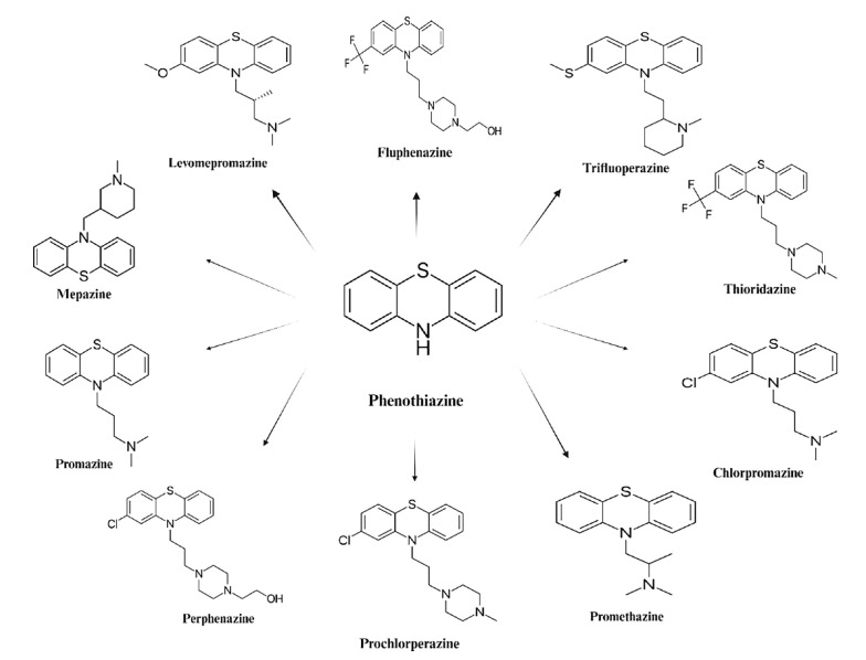
背景:癌症和抗生素耐药性是重大的全球卫生挑战。吩噻嗪最初是作为抗精神病药物开发的,已经证明了多种生物活性,包括抗肿瘤、抗菌和抗氧化作用。吩噻嗪合成技术的进步,通过调节受体、离子通道和诱导溶酶体细胞死亡,产生了具有更广泛治疗潜力的衍生物。本文综述了吩噻嗪类药物在肿瘤和感染性疾病治疗中的治疗潜力,重点介绍了其作用机制和未来的临床应用。证据获取:这篇叙述性综述综合了有关吩噻嗪类药物在肿瘤学和传染病中的应用的临床前研究的见解。机制途径和实验结果分析,以突出治疗潜力和局限性。结果:吩噻嗪类药物通过诱导细胞凋亡、通路调节(如PDK1/Akt、MAPK/ERK1/2和Akt/mTOR)、抑制血管内皮生长因子(VEGF)生成抑制血管生成以及增强单克隆抗体治疗的有效性来抑制肿瘤生长,在肿瘤学中显示出显著的潜力。它们破坏关键的促癌途径并诱导溶酶体细胞死亡。除肿瘤学外,吩噻嗪类药物还具有抗菌活性,可靶向外排泵(Eps)并恢复多药耐药(MDR)病原体的抗生素敏感性。这些多方面的作用使吩噻嗪成为癌症治疗和抗生素耐药感染联合治疗的有希望的药物。结论:吩噻嗪类药物有望成为癌症和抗生素耐药管理的佐剂。进一步的研究应侧重于优化其药理特征,阐明分子机制,并通过临床试验验证其疗效。
本文章由计算机程序翻译,如有差异,请以英文原文为准。

Therapeutic Mechanisms of Phenothiazine Drugs: A Mini-Review of Advances in Cancer Treatment and Antibiotic Resistance.

Therapeutic Mechanisms of Phenothiazine Drugs: A Mini-Review of Advances in Cancer Treatment and Antibiotic Resistance.

Therapeutic Mechanisms of Phenothiazine Drugs: A Mini-Review of Advances in Cancer Treatment and Antibiotic Resistance.

Context: Cancer and antibiotic resistance are critical global health challenges. Phenothiazines, initially developed as antipsychotics, have demonstrated diverse biological activities, including antitumor, antibacterial, and antioxidant effects. Advances in phenothiazine synthesis have produced derivatives with broader therapeutic potential by modulating receptors, ion channels, and inducing lysosomal cell death. This review explores the therapeutic potential of phenothiazines in oncology and infectious disease management, focusing on their mechanisms of action and future clinical applications.

Evidence acquisition: This narrative review synthesizes insights from relevant preclinical studies on phenothiazines' applications in oncology and infectious diseases. Mechanistic pathways and experimental outcomes were analyzed to highlight therapeutic potentials and limitations.

Results: Phenothiazines demonstrate significant potential in oncology by inhibiting tumor growth via apoptosis induction, pathway modulation (e.g., PDK1/Akt, MAPK/ERK1/2, and Akt/mTOR), angiogenesis suppression through vascular endothelial growth factor (VEGF) production inhibition, and enhancing the effectiveness of monoclonal antibody therapies. They disrupt key cancer-promoting pathways and induce lysosomal cell death. Beyond oncology, phenothiazines exhibit antibacterial activity, targeting efflux pumps (Eps) and restoring antibiotic susceptibility in multidrug-resistant (MDR) pathogens. These multifaceted actions position phenothiazines as promising agents for combination therapies in cancer treatment and antibiotic-resistant infections.

Conclusions: Phenothiazines hold promise as adjuvants in cancer and antibiotic resistance management. Further research should focus on optimizing their pharmacological profiles, elucidating molecular mechanisms, and validating their efficacy through clinical trials.

求助全文
通过发布文献求助,成功后即可免费获取论文全文。 去求助
来源期刊
CiteScore
3.40
自引率
6.20%
发文量
52
审稿时长
2 months
期刊介绍: The Iranian Journal of Pharmaceutical Research (IJPR) is a peer-reviewed multi-disciplinary pharmaceutical publication, scheduled to appear quarterly and serve as a means for scientific information exchange in the international pharmaceutical forum. Specific scientific topics of interest to the journal include, but are not limited to: pharmaceutics, industrial pharmacy, pharmacognosy, toxicology, medicinal chemistry, novel analytical methods for drug characterization, computational and modeling approaches to drug design, bio-medical experience, clinical investigation, rational drug prescribing, pharmacoeconomics, biotechnology, nanotechnology, biopharmaceutics and physical pharmacy.
×
引用
GB/T 7714-2015
复制
MLA
复制
APA
复制
导出至
BibTeX EndNote RefMan NoteFirst NoteExpress
×
提示
您的信息不完整,为了账户安全,请先补充。
现在去补充
×
提示
您因"违规操作"
具体请查看互助需知
我知道了
×
提示
确定
请完成安全验证×
copy
已复制链接
快去分享给好友吧!
我知道了
右上角分享
点击右上角分享
0
联系我们:info@booksci.cn Book学术提供免费学术资源搜索服务,方便国内外学者检索中英文文献。致力于提供最便捷和优质的服务体验。 Copyright © 2023 布克学术 All rights reserved.
京ICP备2023020795号-1
ghs 京公网安备 11010802042870号
Book学术文献互助
Book学术文献互助群
群 号:604180095
Book学术官方微信