混合金属暴露致C57BL/6小鼠神经行为和多巴胺能功能障碍

IF 1.8 4区 医学 Q3 PHARMACOLOGY & PHARMACY
Iranian Journal of Pharmaceutical Research Pub Date : 2025-03-02 eCollection Date: 2025-01-01 DOI:10.5812/ijpr-158559
Daeun Lee, Haesoo Kim, Sarita Pyatha, Kisok Kim
{"title":"混合金属暴露致C57BL/6小鼠神经行为和多巴胺能功能障碍","authors":"Daeun Lee, Haesoo Kim, Sarita Pyatha, Kisok Kim","doi":"10.5812/ijpr-158559","DOIUrl":null,"url":null,"abstract":"<p><strong>Background: </strong>Aluminum (Al), lead (Pb), and mercury (Hg) are major environmental pollutants, and a large population may be simultaneously exposed to these metals. However, studies on the potential neurobehavioral effects of mixed exposure to Al, Pb, and Hg are lacking.</p><p><strong>Objectives: </strong>This study aimed to evaluate neurobehavioral changes in mice following combined exposure to Al, Pb, and Hg and to investigate the effects of this exposure on dopaminergic neurotransmission within the striatum.</p><p><strong>Methods: </strong>In this study, C57BL/6 mice (n = 10 per group) were assigned to control and metal-treated groups. Changes in motor coordination and locomotor activity that occurred when mice were simultaneously exposed to these metals via drinking water for 28 days were measured using the rotarod and open field tests. In addition, dopamine content and key factors involved in dopaminergic neurotransmission in the striatum were evaluated using real-time PCR and Western blot analysis.</p><p><strong>Results: </strong>The mixed metal exposure decreased motor function and significantly reduced the content of dopamine in the striatum of the experimental mice (P < 0.001). Expression of tyrosine hydroxylase, vesicular monoamine transporter 2, and dopamine receptor D1, which are involved in dopaminergic neurotransmission in the striatum, was significantly decreased (P < 0.01), whereas expression of the dopamine transporter was significantly increased (P < 0.05). Dopamine receptor D2 expression was not significantly changed by the mixed metal exposure.</p><p><strong>Conclusions: </strong>These results suggest that mixed exposure to Al, Pb, and Hg inhibits normal dopaminergic neurotransmission, resulting in neurobehavioral disorders.</p>","PeriodicalId":14595,"journal":{"name":"Iranian Journal of Pharmaceutical Research","volume":"24 1","pages":"e158559"},"PeriodicalIF":1.8000,"publicationDate":"2025-03-02","publicationTypes":"Journal Article","fieldsOfStudy":null,"isOpenAccess":false,"openAccessPdf":"https://www.ncbi.nlm.nih.gov/pmc/articles/PMC12297027/pdf/","citationCount":"0","resultStr":"{\"title\":\"Neurobehavioral and Dopaminergic Dysfunctions Induced by Mixed Metal Exposure in C57BL/6 Mice.\",\"authors\":\"Daeun Lee, Haesoo Kim, Sarita Pyatha, Kisok Kim\",\"doi\":\"10.5812/ijpr-158559\",\"DOIUrl\":null,\"url\":null,\"abstract\":\"<p><strong>Background: </strong>Aluminum (Al), lead (Pb), and mercury (Hg) are major environmental pollutants, and a large population may be simultaneously exposed to these metals. However, studies on the potential neurobehavioral effects of mixed exposure to Al, Pb, and Hg are lacking.</p><p><strong>Objectives: </strong>This study aimed to evaluate neurobehavioral changes in mice following combined exposure to Al, Pb, and Hg and to investigate the effects of this exposure on dopaminergic neurotransmission within the striatum.</p><p><strong>Methods: </strong>In this study, C57BL/6 mice (n = 10 per group) were assigned to control and metal-treated groups. Changes in motor coordination and locomotor activity that occurred when mice were simultaneously exposed to these metals via drinking water for 28 days were measured using the rotarod and open field tests. In addition, dopamine content and key factors involved in dopaminergic neurotransmission in the striatum were evaluated using real-time PCR and Western blot analysis.</p><p><strong>Results: </strong>The mixed metal exposure decreased motor function and significantly reduced the content of dopamine in the striatum of the experimental mice (P < 0.001). Expression of tyrosine hydroxylase, vesicular monoamine transporter 2, and dopamine receptor D1, which are involved in dopaminergic neurotransmission in the striatum, was significantly decreased (P < 0.01), whereas expression of the dopamine transporter was significantly increased (P < 0.05). Dopamine receptor D2 expression was not significantly changed by the mixed metal exposure.</p><p><strong>Conclusions: </strong>These results suggest that mixed exposure to Al, Pb, and Hg inhibits normal dopaminergic neurotransmission, resulting in neurobehavioral disorders.</p>\",\"PeriodicalId\":14595,\"journal\":{\"name\":\"Iranian Journal of Pharmaceutical Research\",\"volume\":\"24 1\",\"pages\":\"e158559\"},\"PeriodicalIF\":1.8000,\"publicationDate\":\"2025-03-02\",\"publicationTypes\":\"Journal Article\",\"fieldsOfStudy\":null,\"isOpenAccess\":false,\"openAccessPdf\":\"https://www.ncbi.nlm.nih.gov/pmc/articles/PMC12297027/pdf/\",\"citationCount\":\"0\",\"resultStr\":null,\"platform\":\"Semanticscholar\",\"paperid\":null,\"PeriodicalName\":\"Iranian Journal of Pharmaceutical Research\",\"FirstCategoryId\":\"3\",\"ListUrlMain\":\"https://doi.org/10.5812/ijpr-158559\",\"RegionNum\":4,\"RegionCategory\":\"医学\",\"ArticlePicture\":[],\"TitleCN\":null,\"AbstractTextCN\":null,\"PMCID\":null,\"EPubDate\":\"2025/1/1 0:00:00\",\"PubModel\":\"eCollection\",\"JCR\":\"Q3\",\"JCRName\":\"PHARMACOLOGY & PHARMACY\",\"Score\":null,\"Total\":0}","platform":"Semanticscholar","paperid":null,"PeriodicalName":"Iranian Journal of Pharmaceutical Research","FirstCategoryId":"3","ListUrlMain":"https://doi.org/10.5812/ijpr-158559","RegionNum":4,"RegionCategory":"医学","ArticlePicture":[],"TitleCN":null,"AbstractTextCN":null,"PMCID":null,"EPubDate":"2025/1/1 0:00:00","PubModel":"eCollection","JCR":"Q3","JCRName":"PHARMACOLOGY & PHARMACY","Score":null,"Total":0}
引用次数: 0

摘要

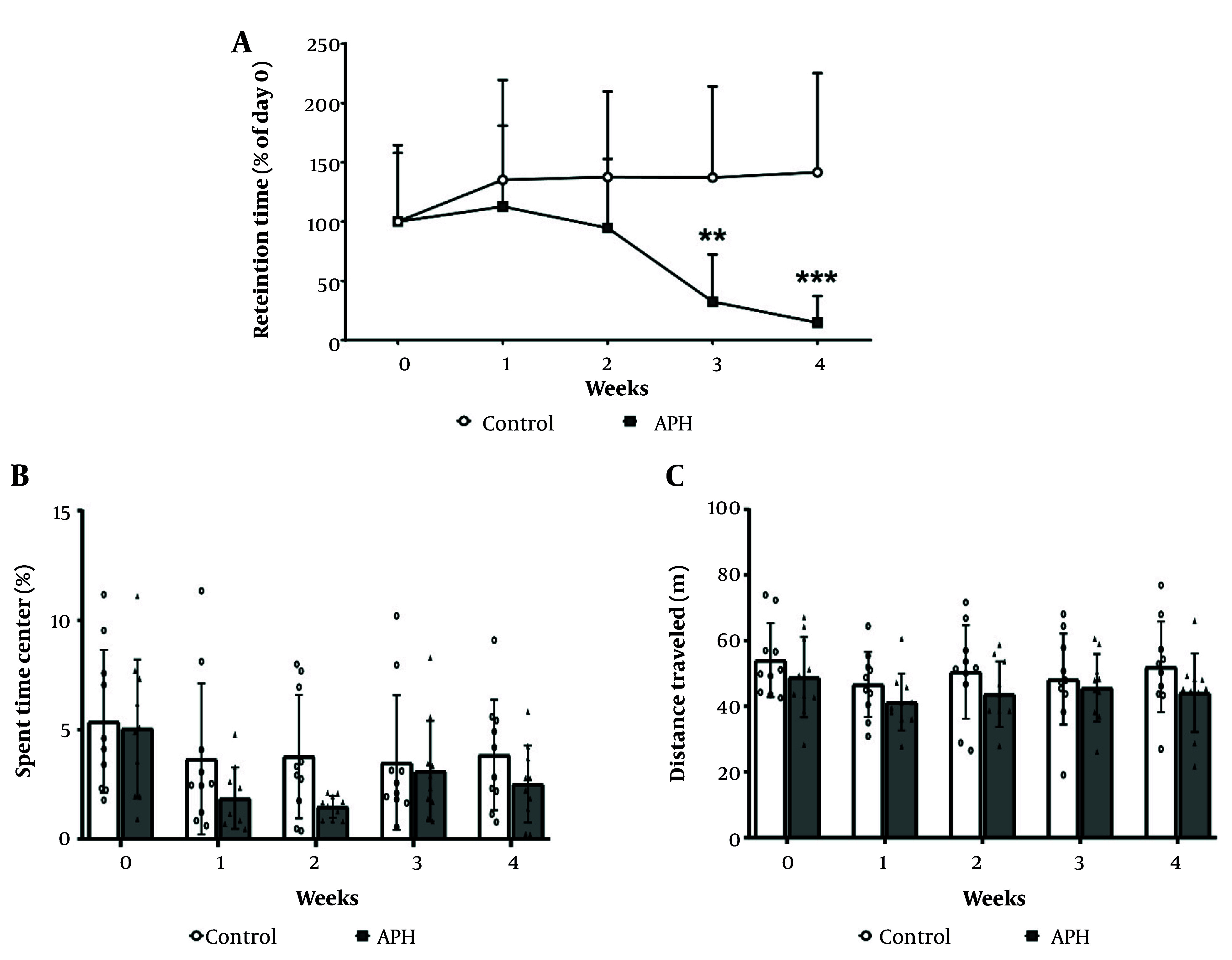
背景:铝(Al)、铅(Pb)和汞(Hg)是主要的环境污染物,大量人群可能同时暴露于这些金属。然而,关于混合暴露于铝、铅和汞的潜在神经行为影响的研究尚缺乏。目的:本研究旨在评估小鼠在铝、铅和汞联合暴露后的神经行为变化,并探讨这种暴露对纹状体内多巴胺能神经传递的影响。方法:将C57BL/6小鼠分为对照组和金属处理组,每组10只。当小鼠通过饮用水同时暴露于这些金属28天时,运动协调和运动活动发生了变化,使用旋转杆和露天场地试验来测量。采用real-time PCR和Western blot分析纹状体多巴胺含量及参与多巴胺能神经传递的关键因素。结果:混合金属暴露降低实验小鼠的运动功能,显著降低纹状体多巴胺含量(P < 0.001)。纹状体中参与多巴胺能神经传递的酪氨酸羟化酶、水疱单胺转运蛋白2和多巴胺受体D1的表达量显著降低(P < 0.01),多巴胺转运蛋白表达量显著升高(P < 0.05)。混合金属暴露对多巴胺受体D2表达无显著影响。结论:这些结果表明,混合暴露于Al、Pb和Hg会抑制正常的多巴胺能神经传递,导致神经行为障碍。
本文章由计算机程序翻译,如有差异,请以英文原文为准。

Neurobehavioral and Dopaminergic Dysfunctions Induced by Mixed Metal Exposure in C57BL/6 Mice.

Neurobehavioral and Dopaminergic Dysfunctions Induced by Mixed Metal Exposure in C57BL/6 Mice.

Neurobehavioral and Dopaminergic Dysfunctions Induced by Mixed Metal Exposure in C57BL/6 Mice.

Neurobehavioral and Dopaminergic Dysfunctions Induced by Mixed Metal Exposure in C57BL/6 Mice.

Background: Aluminum (Al), lead (Pb), and mercury (Hg) are major environmental pollutants, and a large population may be simultaneously exposed to these metals. However, studies on the potential neurobehavioral effects of mixed exposure to Al, Pb, and Hg are lacking.

Objectives: This study aimed to evaluate neurobehavioral changes in mice following combined exposure to Al, Pb, and Hg and to investigate the effects of this exposure on dopaminergic neurotransmission within the striatum.

Methods: In this study, C57BL/6 mice (n = 10 per group) were assigned to control and metal-treated groups. Changes in motor coordination and locomotor activity that occurred when mice were simultaneously exposed to these metals via drinking water for 28 days were measured using the rotarod and open field tests. In addition, dopamine content and key factors involved in dopaminergic neurotransmission in the striatum were evaluated using real-time PCR and Western blot analysis.

Results: The mixed metal exposure decreased motor function and significantly reduced the content of dopamine in the striatum of the experimental mice (P < 0.001). Expression of tyrosine hydroxylase, vesicular monoamine transporter 2, and dopamine receptor D1, which are involved in dopaminergic neurotransmission in the striatum, was significantly decreased (P < 0.01), whereas expression of the dopamine transporter was significantly increased (P < 0.05). Dopamine receptor D2 expression was not significantly changed by the mixed metal exposure.

Conclusions: These results suggest that mixed exposure to Al, Pb, and Hg inhibits normal dopaminergic neurotransmission, resulting in neurobehavioral disorders.

求助全文
通过发布文献求助,成功后即可免费获取论文全文。 去求助
来源期刊
CiteScore
3.40
自引率
6.20%
发文量
52
审稿时长
2 months
期刊介绍: The Iranian Journal of Pharmaceutical Research (IJPR) is a peer-reviewed multi-disciplinary pharmaceutical publication, scheduled to appear quarterly and serve as a means for scientific information exchange in the international pharmaceutical forum. Specific scientific topics of interest to the journal include, but are not limited to: pharmaceutics, industrial pharmacy, pharmacognosy, toxicology, medicinal chemistry, novel analytical methods for drug characterization, computational and modeling approaches to drug design, bio-medical experience, clinical investigation, rational drug prescribing, pharmacoeconomics, biotechnology, nanotechnology, biopharmaceutics and physical pharmacy.
×
引用
GB/T 7714-2015
复制
MLA
复制
APA
复制
导出至
BibTeX EndNote RefMan NoteFirst NoteExpress
×
提示
您的信息不完整,为了账户安全,请先补充。
现在去补充
×
提示
您因"违规操作"
具体请查看互助需知
我知道了
×
提示
确定
请完成安全验证×
copy
已复制链接
快去分享给好友吧!
我知道了
右上角分享
点击右上角分享
0
联系我们:info@booksci.cn Book学术提供免费学术资源搜索服务,方便国内外学者检索中英文文献。致力于提供最便捷和优质的服务体验。 Copyright © 2023 布克学术 All rights reserved.
京ICP备2023020795号-1
ghs 京公网安备 11010802042870号
Book学术文献互助
Book学术文献互助群
群 号:604180095
Book学术官方微信