评价2-硝基咪唑对刚地弓形虫的治疗效果:BALB/c小鼠的体外和体内研究

IF 1.8 4区 医学 Q3 PHARMACOLOGY & PHARMACY
Iranian Journal of Pharmaceutical Research Pub Date : 2025-02-24 eCollection Date: 2025-01-01 DOI:10.5812/ijpr-157086
Elaheh Ghiasipour, Javid Sadraei, Fatemeh Ghaffarifar
{"title":"评价2-硝基咪唑对刚地弓形虫的治疗效果:BALB/c小鼠的体外和体内研究","authors":"Elaheh Ghiasipour, Javid Sadraei, Fatemeh Ghaffarifar","doi":"10.5812/ijpr-157086","DOIUrl":null,"url":null,"abstract":"<p><strong>Background: </strong>Toxoplasmosis, caused by the protozoan parasite <i>Toxoplasma gondii</i>, remains a significant health concern due to its widespread prevalence and severe impact on immunocompromised individuals. Current treatments are limited, necessitating the exploration of new therapeutic agents.</p><p><strong>Objectives: </strong>This study aimed to evaluate the efficacy and safety of 2-nitroimidazole as a potential treatment for toxoplasmosis in BALB/c mice, comparing its effects with the standard treatment, sulfadiazine.</p><p><strong>Methods: </strong>In vitro assays were conducted to determine the half-maximal inhibitory concentration (IC50) of 2-nitroimidazole and sulfadiazine against <i>T. gondii</i> tachyzoites. The MTT assay was used to assess the cytotoxicity of 2-nitroimidazole on macrophages. In vivo experiments involved treating BALB/c mice infected with <i>T. gondii</i> with either 2-nitroimidazole or sulfadiazine, monitoring survival rates and therapeutic outcomes.</p><p><strong>Results: </strong>In vitro results revealed IC50 values of 5.43 μM for 2-nitroimidazole and 2.99 μM for sulfadiazine, indicating potent anti-tachyzoite activity. The MTT assay showed that 2-nitroimidazole had low cytotoxicity, with significant cell viability even at higher concentrations. Based on the MTT assay findings, 40 μM of 2-nitroimidazole showed the highest level of toxicity towards macrophages. Furthermore, flow cytometry analysis revealed that this compound induced apoptosis in approximately 58.9% of tachyzoites. In vivo, all mice in the control group died by the eighth day. Treatment with sulfadiazine resulted in two mice surviving until the 14th day, while 2-nitroimidazole treatment saw one mouse surviving to the same day. These findings suggest that 2-nitroimidazole has comparable efficacy to sulfadiazine with potentially fewer side effects.</p><p><strong>Conclusions: </strong>The study demonstrates that 2-nitroimidazole is a promising candidate for the treatment of toxoplasmosis, exhibiting strong anti-parasitic activity and low cytotoxicity. Further research is warranted to optimize dosing regimens and explore combination therapies to enhance its therapeutic potential.</p>","PeriodicalId":14595,"journal":{"name":"Iranian Journal of Pharmaceutical Research","volume":"24 1","pages":"e157086"},"PeriodicalIF":1.8000,"publicationDate":"2025-02-24","publicationTypes":"Journal Article","fieldsOfStudy":null,"isOpenAccess":false,"openAccessPdf":"https://www.ncbi.nlm.nih.gov/pmc/articles/PMC12296688/pdf/","citationCount":"0","resultStr":"{\"title\":\"Evaluating The Therapeutic Effect of 2-Nitroimidazole on <i>Toxoplasma gondii</i>: An In vitro and In vivo Study Using BALB/c Mice.\",\"authors\":\"Elaheh Ghiasipour, Javid Sadraei, Fatemeh Ghaffarifar\",\"doi\":\"10.5812/ijpr-157086\",\"DOIUrl\":null,\"url\":null,\"abstract\":\"<p><strong>Background: </strong>Toxoplasmosis, caused by the protozoan parasite <i>Toxoplasma gondii</i>, remains a significant health concern due to its widespread prevalence and severe impact on immunocompromised individuals. Current treatments are limited, necessitating the exploration of new therapeutic agents.</p><p><strong>Objectives: </strong>This study aimed to evaluate the efficacy and safety of 2-nitroimidazole as a potential treatment for toxoplasmosis in BALB/c mice, comparing its effects with the standard treatment, sulfadiazine.</p><p><strong>Methods: </strong>In vitro assays were conducted to determine the half-maximal inhibitory concentration (IC50) of 2-nitroimidazole and sulfadiazine against <i>T. gondii</i> tachyzoites. The MTT assay was used to assess the cytotoxicity of 2-nitroimidazole on macrophages. In vivo experiments involved treating BALB/c mice infected with <i>T. gondii</i> with either 2-nitroimidazole or sulfadiazine, monitoring survival rates and therapeutic outcomes.</p><p><strong>Results: </strong>In vitro results revealed IC50 values of 5.43 μM for 2-nitroimidazole and 2.99 μM for sulfadiazine, indicating potent anti-tachyzoite activity. The MTT assay showed that 2-nitroimidazole had low cytotoxicity, with significant cell viability even at higher concentrations. Based on the MTT assay findings, 40 μM of 2-nitroimidazole showed the highest level of toxicity towards macrophages. Furthermore, flow cytometry analysis revealed that this compound induced apoptosis in approximately 58.9% of tachyzoites. In vivo, all mice in the control group died by the eighth day. Treatment with sulfadiazine resulted in two mice surviving until the 14th day, while 2-nitroimidazole treatment saw one mouse surviving to the same day. These findings suggest that 2-nitroimidazole has comparable efficacy to sulfadiazine with potentially fewer side effects.</p><p><strong>Conclusions: </strong>The study demonstrates that 2-nitroimidazole is a promising candidate for the treatment of toxoplasmosis, exhibiting strong anti-parasitic activity and low cytotoxicity. Further research is warranted to optimize dosing regimens and explore combination therapies to enhance its therapeutic potential.</p>\",\"PeriodicalId\":14595,\"journal\":{\"name\":\"Iranian Journal of Pharmaceutical Research\",\"volume\":\"24 1\",\"pages\":\"e157086\"},\"PeriodicalIF\":1.8000,\"publicationDate\":\"2025-02-24\",\"publicationTypes\":\"Journal Article\",\"fieldsOfStudy\":null,\"isOpenAccess\":false,\"openAccessPdf\":\"https://www.ncbi.nlm.nih.gov/pmc/articles/PMC12296688/pdf/\",\"citationCount\":\"0\",\"resultStr\":null,\"platform\":\"Semanticscholar\",\"paperid\":null,\"PeriodicalName\":\"Iranian Journal of Pharmaceutical Research\",\"FirstCategoryId\":\"3\",\"ListUrlMain\":\"https://doi.org/10.5812/ijpr-157086\",\"RegionNum\":4,\"RegionCategory\":\"医学\",\"ArticlePicture\":[],\"TitleCN\":null,\"AbstractTextCN\":null,\"PMCID\":null,\"EPubDate\":\"2025/1/1 0:00:00\",\"PubModel\":\"eCollection\",\"JCR\":\"Q3\",\"JCRName\":\"PHARMACOLOGY & PHARMACY\",\"Score\":null,\"Total\":0}","platform":"Semanticscholar","paperid":null,"PeriodicalName":"Iranian Journal of Pharmaceutical Research","FirstCategoryId":"3","ListUrlMain":"https://doi.org/10.5812/ijpr-157086","RegionNum":4,"RegionCategory":"医学","ArticlePicture":[],"TitleCN":null,"AbstractTextCN":null,"PMCID":null,"EPubDate":"2025/1/1 0:00:00","PubModel":"eCollection","JCR":"Q3","JCRName":"PHARMACOLOGY & PHARMACY","Score":null,"Total":0}
引用次数: 0

摘要

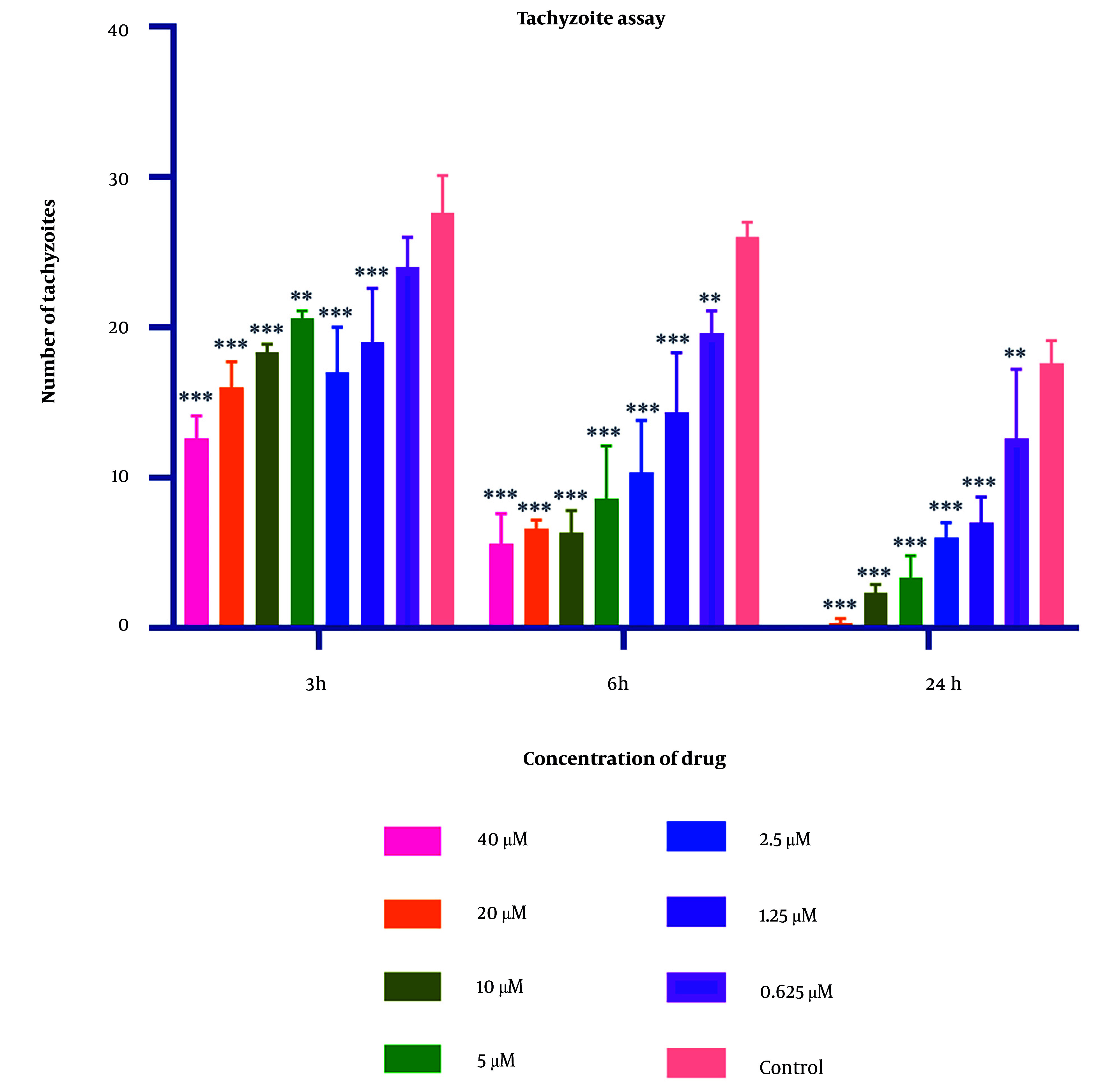
背景:由弓形虫原虫引起的弓形虫病,由于其广泛流行和对免疫功能低下个体的严重影响,仍然是一个重大的健康问题。目前的治疗方法是有限的,需要探索新的治疗药物。目的:本研究旨在评价2-硝基咪唑治疗BALB/c小鼠弓形虫病的有效性和安全性,并将其与标准治疗磺胺嘧啶的效果进行比较。方法:采用体外法测定2-硝基咪唑和磺胺嘧啶对刚地弓形虫速殖子的半最大抑制浓度(IC50)。采用MTT法评价2-硝基咪唑对巨噬细胞的细胞毒性。体内实验包括用2-硝基咪唑或磺胺嘧啶治疗感染弓形虫的BALB/c小鼠,监测存活率和治疗结果。结果:2-硝基咪唑的IC50为5.43 μM,磺胺嘧啶的IC50为2.99 μM,具有较强的抗速殖子活性。MTT试验表明,2-硝基咪唑具有较低的细胞毒性,即使在较高浓度下也具有显著的细胞活力。MTT实验结果显示,40 μM的2-硝基咪唑对巨噬细胞的毒性最高。此外,流式细胞术分析显示,该化合物诱导约58.9%的速殖子凋亡。在体内,对照组小鼠在第8天全部死亡。磺胺嘧啶治疗导致两只小鼠存活到第14天,而2-硝基咪唑治疗只有一只小鼠存活到同一天。这些发现表明,2-硝基咪唑的疗效与磺胺嘧啶相当,副作用可能更少。结论:2-硝基咪唑具有较强的抗寄生虫活性和较低的细胞毒性,是治疗弓形虫病的理想药物。需要进一步研究以优化给药方案并探索联合治疗以增强其治疗潜力。
本文章由计算机程序翻译,如有差异,请以英文原文为准。

Evaluating The Therapeutic Effect of 2-Nitroimidazole on <i>Toxoplasma gondii</i>: An In vitro and In vivo Study Using BALB/c Mice.

Evaluating The Therapeutic Effect of 2-Nitroimidazole on <i>Toxoplasma gondii</i>: An In vitro and In vivo Study Using BALB/c Mice.

Evaluating The Therapeutic Effect of 2-Nitroimidazole on <i>Toxoplasma gondii</i>: An In vitro and In vivo Study Using BALB/c Mice.

Evaluating The Therapeutic Effect of 2-Nitroimidazole on Toxoplasma gondii: An In vitro and In vivo Study Using BALB/c Mice.

Background: Toxoplasmosis, caused by the protozoan parasite Toxoplasma gondii, remains a significant health concern due to its widespread prevalence and severe impact on immunocompromised individuals. Current treatments are limited, necessitating the exploration of new therapeutic agents.

Objectives: This study aimed to evaluate the efficacy and safety of 2-nitroimidazole as a potential treatment for toxoplasmosis in BALB/c mice, comparing its effects with the standard treatment, sulfadiazine.

Methods: In vitro assays were conducted to determine the half-maximal inhibitory concentration (IC50) of 2-nitroimidazole and sulfadiazine against T. gondii tachyzoites. The MTT assay was used to assess the cytotoxicity of 2-nitroimidazole on macrophages. In vivo experiments involved treating BALB/c mice infected with T. gondii with either 2-nitroimidazole or sulfadiazine, monitoring survival rates and therapeutic outcomes.

Results: In vitro results revealed IC50 values of 5.43 μM for 2-nitroimidazole and 2.99 μM for sulfadiazine, indicating potent anti-tachyzoite activity. The MTT assay showed that 2-nitroimidazole had low cytotoxicity, with significant cell viability even at higher concentrations. Based on the MTT assay findings, 40 μM of 2-nitroimidazole showed the highest level of toxicity towards macrophages. Furthermore, flow cytometry analysis revealed that this compound induced apoptosis in approximately 58.9% of tachyzoites. In vivo, all mice in the control group died by the eighth day. Treatment with sulfadiazine resulted in two mice surviving until the 14th day, while 2-nitroimidazole treatment saw one mouse surviving to the same day. These findings suggest that 2-nitroimidazole has comparable efficacy to sulfadiazine with potentially fewer side effects.

Conclusions: The study demonstrates that 2-nitroimidazole is a promising candidate for the treatment of toxoplasmosis, exhibiting strong anti-parasitic activity and low cytotoxicity. Further research is warranted to optimize dosing regimens and explore combination therapies to enhance its therapeutic potential.

求助全文
通过发布文献求助,成功后即可免费获取论文全文。 去求助
来源期刊
CiteScore
3.40
自引率
6.20%
发文量
52
审稿时长
2 months
期刊介绍: The Iranian Journal of Pharmaceutical Research (IJPR) is a peer-reviewed multi-disciplinary pharmaceutical publication, scheduled to appear quarterly and serve as a means for scientific information exchange in the international pharmaceutical forum. Specific scientific topics of interest to the journal include, but are not limited to: pharmaceutics, industrial pharmacy, pharmacognosy, toxicology, medicinal chemistry, novel analytical methods for drug characterization, computational and modeling approaches to drug design, bio-medical experience, clinical investigation, rational drug prescribing, pharmacoeconomics, biotechnology, nanotechnology, biopharmaceutics and physical pharmacy.
×
引用
GB/T 7714-2015
复制
MLA
复制
APA
复制
导出至
BibTeX EndNote RefMan NoteFirst NoteExpress
×
提示
您的信息不完整,为了账户安全,请先补充。
现在去补充
×
提示
您因"违规操作"
具体请查看互助需知
我知道了
×
提示
确定
请完成安全验证×
copy
已复制链接
快去分享给好友吧!
我知道了
右上角分享
点击右上角分享
0
联系我们:info@booksci.cn Book学术提供免费学术资源搜索服务,方便国内外学者检索中英文文献。致力于提供最便捷和优质的服务体验。 Copyright © 2023 布克学术 All rights reserved.
京ICP备2023020795号-1
ghs 京公网安备 11010802042870号
Book学术文献互助
Book学术文献互助群
群 号:604180095
Book学术官方微信