KELIM指数对当前治疗方式下卵巢癌无进展生存期的预测价值

IF 2.6 4区 医学 Q2 OBSTETRICS & GYNECOLOGY
International Journal of Women's Health Pub Date : 2025-07-23 eCollection Date: 2025-01-01 DOI:10.2147/IJWH.S533323
Jiajin Lv, Yunyi Xu, Chunyan Zeng, Fengyan Huang, Suping Tao
{"title":"KELIM指数对当前治疗方式下卵巢癌无进展生存期的预测价值","authors":"Jiajin Lv, Yunyi Xu, Chunyan Zeng, Fengyan Huang, Suping Tao","doi":"10.2147/IJWH.S533323","DOIUrl":null,"url":null,"abstract":"<p><strong>Background: </strong>The KELIM index, a dynamic biomarker derived from CA125 kinetics, has shown prognostic value in ovarian cancer. However, its predictive role under contemporary treatment paradigms incorporating bevacizumab and PARP inhibitors remains underexplored.</p><p><strong>Objective: </strong>To evaluate the predictive value of the KELIM index for progression-free survival (PFS) in ovarian cancer patients treated with current therapeutic modalities.</p><p><strong>Methods: </strong>A total of 52 patients with ovarian cancer who underwent surgical treatment in the Affiliated Hospital of Jiaxing University from January 1, 2020 to September 30, 2023 were retrospectively analyzed. Clinicopathological data, treatment details (including bevacizumab/PARPi use), and serial CA125 values were collected. The KELIM index was calculated using the online biomarker kinetics tool (https://www.biomarker-kinetics.org/CA125). Cox regression and Kaplan-Meier analyses assessed prognostic factors.</p><p><strong>Results: </strong>The mean age of the 52 patients was 55.17±13.57 years, and the mean body mass index (BMI) was 22.95±3.62kg/m<sup>2</sup>. There were 35 cases (67.3%) in the KELIM index ≥1 group and 17 cases (32.7%) in the KELIM index < 1 group. Multivariate analysis identified KELIM index (HR=0.25, 95% CI 0.077-0.818, P<0.05) and treatment approach (direct surgery vs NACT+IDS) as independent PFS predictors. Patients with KELIM<1 had a median PFS of 38.3 months, while those with KELIM≥1 did not reach median PFS (P<0.05).</p><p><strong>Conclusion: </strong>The KELIM index is expected to be another high quality index for predicting OC under the current treatment model, potentially guiding personalized treatment intensification.</p>","PeriodicalId":14356,"journal":{"name":"International Journal of Women's Health","volume":"17 ","pages":"2291-2297"},"PeriodicalIF":2.6000,"publicationDate":"2025-07-23","publicationTypes":"Journal Article","fieldsOfStudy":null,"isOpenAccess":false,"openAccessPdf":"https://www.ncbi.nlm.nih.gov/pmc/articles/PMC12301136/pdf/","citationCount":"0","resultStr":"{\"title\":\"Predictive Value of the KELIM Index for Progression-Free Survival in Ovarian Cancer Under Current Treatment Modalities.\",\"authors\":\"Jiajin Lv, Yunyi Xu, Chunyan Zeng, Fengyan Huang, Suping Tao\",\"doi\":\"10.2147/IJWH.S533323\",\"DOIUrl\":null,\"url\":null,\"abstract\":\"<p><strong>Background: </strong>The KELIM index, a dynamic biomarker derived from CA125 kinetics, has shown prognostic value in ovarian cancer. However, its predictive role under contemporary treatment paradigms incorporating bevacizumab and PARP inhibitors remains underexplored.</p><p><strong>Objective: </strong>To evaluate the predictive value of the KELIM index for progression-free survival (PFS) in ovarian cancer patients treated with current therapeutic modalities.</p><p><strong>Methods: </strong>A total of 52 patients with ovarian cancer who underwent surgical treatment in the Affiliated Hospital of Jiaxing University from January 1, 2020 to September 30, 2023 were retrospectively analyzed. Clinicopathological data, treatment details (including bevacizumab/PARPi use), and serial CA125 values were collected. The KELIM index was calculated using the online biomarker kinetics tool (https://www.biomarker-kinetics.org/CA125). Cox regression and Kaplan-Meier analyses assessed prognostic factors.</p><p><strong>Results: </strong>The mean age of the 52 patients was 55.17±13.57 years, and the mean body mass index (BMI) was 22.95±3.62kg/m<sup>2</sup>. There were 35 cases (67.3%) in the KELIM index ≥1 group and 17 cases (32.7%) in the KELIM index < 1 group. Multivariate analysis identified KELIM index (HR=0.25, 95% CI 0.077-0.818, P<0.05) and treatment approach (direct surgery vs NACT+IDS) as independent PFS predictors. Patients with KELIM<1 had a median PFS of 38.3 months, while those with KELIM≥1 did not reach median PFS (P<0.05).</p><p><strong>Conclusion: </strong>The KELIM index is expected to be another high quality index for predicting OC under the current treatment model, potentially guiding personalized treatment intensification.</p>\",\"PeriodicalId\":14356,\"journal\":{\"name\":\"International Journal of Women's Health\",\"volume\":\"17 \",\"pages\":\"2291-2297\"},\"PeriodicalIF\":2.6000,\"publicationDate\":\"2025-07-23\",\"publicationTypes\":\"Journal Article\",\"fieldsOfStudy\":null,\"isOpenAccess\":false,\"openAccessPdf\":\"https://www.ncbi.nlm.nih.gov/pmc/articles/PMC12301136/pdf/\",\"citationCount\":\"0\",\"resultStr\":null,\"platform\":\"Semanticscholar\",\"paperid\":null,\"PeriodicalName\":\"International Journal of Women's Health\",\"FirstCategoryId\":\"3\",\"ListUrlMain\":\"https://doi.org/10.2147/IJWH.S533323\",\"RegionNum\":4,\"RegionCategory\":\"医学\",\"ArticlePicture\":[],\"TitleCN\":null,\"AbstractTextCN\":null,\"PMCID\":null,\"EPubDate\":\"2025/1/1 0:00:00\",\"PubModel\":\"eCollection\",\"JCR\":\"Q2\",\"JCRName\":\"OBSTETRICS & GYNECOLOGY\",\"Score\":null,\"Total\":0}","platform":"Semanticscholar","paperid":null,"PeriodicalName":"International Journal of Women's Health","FirstCategoryId":"3","ListUrlMain":"https://doi.org/10.2147/IJWH.S533323","RegionNum":4,"RegionCategory":"医学","ArticlePicture":[],"TitleCN":null,"AbstractTextCN":null,"PMCID":null,"EPubDate":"2025/1/1 0:00:00","PubModel":"eCollection","JCR":"Q2","JCRName":"OBSTETRICS & GYNECOLOGY","Score":null,"Total":0}
引用次数: 0

摘要

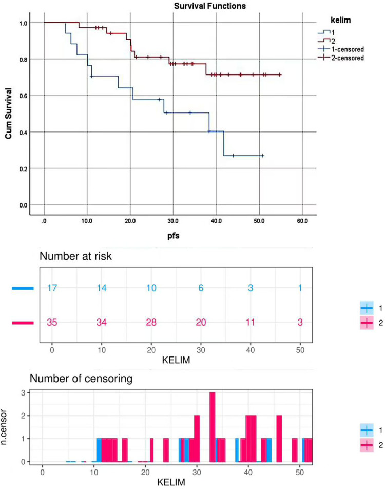
背景:KELIM指数是一种源于CA125动力学的动态生物标志物,已显示出卵巢癌的预后价值。然而,在结合贝伐单抗和PARP抑制剂的当代治疗范式下,其预测作用仍未得到充分探索。目的:评价KELIM指数对当前治疗方式下卵巢癌患者无进展生存期(PFS)的预测价值。方法:对2020年1月1日至2023年9月30日在嘉兴学院附属医院行手术治疗的52例卵巢癌患者进行回顾性分析。收集临床病理资料、治疗细节(包括贝伐单抗/PARPi的使用)和序列CA125值。使用在线生物标志物动力学工具(https://www.biomarker-kinetics.org/CA125)计算KELIM指数。Cox回归和Kaplan-Meier分析评估预后因素。结果:52例患者平均年龄55.17±13.57岁,平均体重指数(BMI)为22.95±3.62kg/m2。KELIM指数≥1组35例(67.3%),KELIM指数< 1组17例(32.7%)。多因素分析确定KELIM指数(HR=0.25, 95% CI 0.077 ~ 0.818, p)。结论:在现有治疗模式下,KELIM指数有望成为预测OC的另一个高质量指标,有可能指导个性化的治疗强化。
本文章由计算机程序翻译,如有差异,请以英文原文为准。

Predictive Value of the KELIM Index for Progression-Free Survival in Ovarian Cancer Under Current Treatment Modalities.

Predictive Value of the KELIM Index for Progression-Free Survival in Ovarian Cancer Under Current Treatment Modalities.

Background: The KELIM index, a dynamic biomarker derived from CA125 kinetics, has shown prognostic value in ovarian cancer. However, its predictive role under contemporary treatment paradigms incorporating bevacizumab and PARP inhibitors remains underexplored.

Objective: To evaluate the predictive value of the KELIM index for progression-free survival (PFS) in ovarian cancer patients treated with current therapeutic modalities.

Methods: A total of 52 patients with ovarian cancer who underwent surgical treatment in the Affiliated Hospital of Jiaxing University from January 1, 2020 to September 30, 2023 were retrospectively analyzed. Clinicopathological data, treatment details (including bevacizumab/PARPi use), and serial CA125 values were collected. The KELIM index was calculated using the online biomarker kinetics tool (https://www.biomarker-kinetics.org/CA125). Cox regression and Kaplan-Meier analyses assessed prognostic factors.

Results: The mean age of the 52 patients was 55.17±13.57 years, and the mean body mass index (BMI) was 22.95±3.62kg/m2. There were 35 cases (67.3%) in the KELIM index ≥1 group and 17 cases (32.7%) in the KELIM index < 1 group. Multivariate analysis identified KELIM index (HR=0.25, 95% CI 0.077-0.818, P<0.05) and treatment approach (direct surgery vs NACT+IDS) as independent PFS predictors. Patients with KELIM<1 had a median PFS of 38.3 months, while those with KELIM≥1 did not reach median PFS (P<0.05).

Conclusion: The KELIM index is expected to be another high quality index for predicting OC under the current treatment model, potentially guiding personalized treatment intensification.

求助全文
通过发布文献求助,成功后即可免费获取论文全文。 去求助
来源期刊
International Journal of Women's Health
International Journal of Women's Health OBSTETRICS & GYNECOLOGY-
CiteScore
3.70
自引率
0.00%
发文量
194
审稿时长
16 weeks
期刊介绍: International Journal of Women''s Health is an international, peer-reviewed, open access, online journal. Publishing original research, reports, editorials, reviews and commentaries on all aspects of women''s healthcare including gynecology, obstetrics, and breast cancer. Subject areas include: Chronic conditions including cancers of various organs specific and not specific to women Migraine, headaches, arthritis, osteoporosis Endocrine and autoimmune syndromes - asthma, multiple sclerosis, lupus, diabetes Sexual and reproductive health including fertility patterns and emerging technologies to address infertility Infectious disease with chronic sequelae including HIV/AIDS, HPV, PID, and other STDs Psychological and psychosocial conditions - depression across the life span, substance abuse, domestic violence Health maintenance among aging females - factors affecting the quality of life including physical, social and mental issues Avenues for health promotion and disease prevention across the life span Male vs female incidence comparisons for conditions that affect both genders.
×
引用
GB/T 7714-2015
复制
MLA
复制
APA
复制
导出至
BibTeX EndNote RefMan NoteFirst NoteExpress
×
提示
您的信息不完整,为了账户安全,请先补充。
现在去补充
×
提示
您因"违规操作"
具体请查看互助需知
我知道了
×
提示
确定
请完成安全验证×
copy
已复制链接
快去分享给好友吧!
我知道了
右上角分享
点击右上角分享
0
联系我们:info@booksci.cn Book学术提供免费学术资源搜索服务,方便国内外学者检索中英文文献。致力于提供最便捷和优质的服务体验。 Copyright © 2023 布克学术 All rights reserved.
京ICP备2023020795号-1
ghs 京公网安备 11010802042870号
Book学术文献互助
Book学术文献互助群
群 号:604180095
Book学术官方微信