约旦妇女盆腔器官脱垂和生活质量的预测因素:一项病例对照研究。

IF 2.6 4区 医学 Q2 OBSTETRICS & GYNECOLOGY
International Journal of Women's Health Pub Date : 2025-07-24 eCollection Date: 2025-01-01 DOI:10.2147/IJWH.S519065
Ayman Qatawneh, Shrouq Qudah, Dania Alkouz, Abdulla Kadah, Baha'a Abu Salma, Waed Al-Alawneh, Sara Alhabosh, Majed Salahaldeen, Balqees Aref Banihamad, Bara'a Amer Aldmour, Noor Alkouz, Abdulrahman Alqatawneh, Nadia Muhaidat, Fida Thekrallah, Mohammad Abufaraj
{"title":"约旦妇女盆腔器官脱垂和生活质量的预测因素:一项病例对照研究。","authors":"Ayman Qatawneh, Shrouq Qudah, Dania Alkouz, Abdulla Kadah, Baha'a Abu Salma, Waed Al-Alawneh, Sara Alhabosh, Majed Salahaldeen, Balqees Aref Banihamad, Bara'a Amer Aldmour, Noor Alkouz, Abdulrahman Alqatawneh, Nadia Muhaidat, Fida Thekrallah, Mohammad Abufaraj","doi":"10.2147/IJWH.S519065","DOIUrl":null,"url":null,"abstract":"<p><strong>Background: </strong>Pelvic organ prolapse (POP) is a common gynecological problem. Several risk factors have been identified to contribute to the main pathophysiological mechanism of prolapse development. However, the POP data in the Eastern Mediterranean region, including Jordan, are limited, and the risk factors associated with POP were mainly obesity and high number of vaginal deliveries. Since Jordan has a high prevalence of obesity, parity, and type 2 diabetes, the present study aimed primarily to identify the modifiable and non-modifiable factors associated with POP in Jordanian women, and secondly, to evaluate the impact of POP stages on their quality of life.</p><p><strong>Methods: </strong>This study was an age-matched case-control study conducted at the gynecology outpatient clinics at Jordan University Hospital from March 1, 2022, to December 15, 2022. The POP quantification system was used as a standardized method to identify the cases and controls. Sociodemographic, obstetrics, and gynecological characteristics were obtained and correlated with POP. Multivariable logistic regression was performed to determine the independent predictive factors of prolapse occurrence. The Prolapse Quality of Life questionnaire was employed to assess the impact of prolapse across the stages of prolapse.</p><p><strong>Results: </strong>One hundred fifty cases and 150 controls were enrolled in this study, with a median age of 44.5 years. Cystocele and rectocele were the most identified types of prolapse. Nearly 65% of women reported that they had an episiotomy during their deliveries, and 14% reported that there was a family history of prolapse. Multivariable logistic regression revealed that obesity (AOR = 2.31, 95% CI 1.07-5.84, p = 0.03), episiotomy (AOR = 2.88, 95% CI 1.41-5.89, p = 0.004) and family history of prolapse (AOR = 3.45, 95% CI 1.3-9.2, p = 0.013) were associated with POP. Impairment in the quality of life was significantly higher across prolapse severity stages.</p><p><strong>Conclusion: </strong>In Jordan, obesity, episiotomy, and a family history were associated with POP. Quality of life for women with POP was notably impaired as the severity of the prolapse increased.</p>","PeriodicalId":14356,"journal":{"name":"International Journal of Women's Health","volume":"17 ","pages":"2299-2311"},"PeriodicalIF":2.6000,"publicationDate":"2025-07-24","publicationTypes":"Journal Article","fieldsOfStudy":null,"isOpenAccess":false,"openAccessPdf":"https://www.ncbi.nlm.nih.gov/pmc/articles/PMC12302980/pdf/","citationCount":"0","resultStr":"{\"title\":\"Predictive Factors of Pelvic Organ Prolapse and the Quality of Life Among Jordanian Women: A Case-Control Study.\",\"authors\":\"Ayman Qatawneh, Shrouq Qudah, Dania Alkouz, Abdulla Kadah, Baha'a Abu Salma, Waed Al-Alawneh, Sara Alhabosh, Majed Salahaldeen, Balqees Aref Banihamad, Bara'a Amer Aldmour, Noor Alkouz, Abdulrahman Alqatawneh, Nadia Muhaidat, Fida Thekrallah, Mohammad Abufaraj\",\"doi\":\"10.2147/IJWH.S519065\",\"DOIUrl\":null,\"url\":null,\"abstract\":\"<p><strong>Background: </strong>Pelvic organ prolapse (POP) is a common gynecological problem. Several risk factors have been identified to contribute to the main pathophysiological mechanism of prolapse development. However, the POP data in the Eastern Mediterranean region, including Jordan, are limited, and the risk factors associated with POP were mainly obesity and high number of vaginal deliveries. Since Jordan has a high prevalence of obesity, parity, and type 2 diabetes, the present study aimed primarily to identify the modifiable and non-modifiable factors associated with POP in Jordanian women, and secondly, to evaluate the impact of POP stages on their quality of life.</p><p><strong>Methods: </strong>This study was an age-matched case-control study conducted at the gynecology outpatient clinics at Jordan University Hospital from March 1, 2022, to December 15, 2022. The POP quantification system was used as a standardized method to identify the cases and controls. Sociodemographic, obstetrics, and gynecological characteristics were obtained and correlated with POP. Multivariable logistic regression was performed to determine the independent predictive factors of prolapse occurrence. The Prolapse Quality of Life questionnaire was employed to assess the impact of prolapse across the stages of prolapse.</p><p><strong>Results: </strong>One hundred fifty cases and 150 controls were enrolled in this study, with a median age of 44.5 years. Cystocele and rectocele were the most identified types of prolapse. Nearly 65% of women reported that they had an episiotomy during their deliveries, and 14% reported that there was a family history of prolapse. Multivariable logistic regression revealed that obesity (AOR = 2.31, 95% CI 1.07-5.84, p = 0.03), episiotomy (AOR = 2.88, 95% CI 1.41-5.89, p = 0.004) and family history of prolapse (AOR = 3.45, 95% CI 1.3-9.2, p = 0.013) were associated with POP. Impairment in the quality of life was significantly higher across prolapse severity stages.</p><p><strong>Conclusion: </strong>In Jordan, obesity, episiotomy, and a family history were associated with POP. Quality of life for women with POP was notably impaired as the severity of the prolapse increased.</p>\",\"PeriodicalId\":14356,\"journal\":{\"name\":\"International Journal of Women's Health\",\"volume\":\"17 \",\"pages\":\"2299-2311\"},\"PeriodicalIF\":2.6000,\"publicationDate\":\"2025-07-24\",\"publicationTypes\":\"Journal Article\",\"fieldsOfStudy\":null,\"isOpenAccess\":false,\"openAccessPdf\":\"https://www.ncbi.nlm.nih.gov/pmc/articles/PMC12302980/pdf/\",\"citationCount\":\"0\",\"resultStr\":null,\"platform\":\"Semanticscholar\",\"paperid\":null,\"PeriodicalName\":\"International Journal of Women's Health\",\"FirstCategoryId\":\"3\",\"ListUrlMain\":\"https://doi.org/10.2147/IJWH.S519065\",\"RegionNum\":4,\"RegionCategory\":\"医学\",\"ArticlePicture\":[],\"TitleCN\":null,\"AbstractTextCN\":null,\"PMCID\":null,\"EPubDate\":\"2025/1/1 0:00:00\",\"PubModel\":\"eCollection\",\"JCR\":\"Q2\",\"JCRName\":\"OBSTETRICS & GYNECOLOGY\",\"Score\":null,\"Total\":0}","platform":"Semanticscholar","paperid":null,"PeriodicalName":"International Journal of Women's Health","FirstCategoryId":"3","ListUrlMain":"https://doi.org/10.2147/IJWH.S519065","RegionNum":4,"RegionCategory":"医学","ArticlePicture":[],"TitleCN":null,"AbstractTextCN":null,"PMCID":null,"EPubDate":"2025/1/1 0:00:00","PubModel":"eCollection","JCR":"Q2","JCRName":"OBSTETRICS & GYNECOLOGY","Score":null,"Total":0}
引用次数: 0

摘要

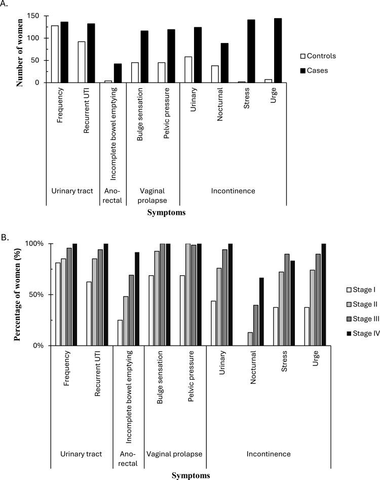
背景:盆腔器官脱垂是一种常见的妇科疾病。已经确定了几个危险因素有助于脱垂发展的主要病理生理机制。然而,包括约旦在内的东地中海区域的POP数据有限,与POP相关的风险因素主要是肥胖和阴道分娩次数多。由于约旦的肥胖、胎次和2型糖尿病患病率很高,本研究的主要目的是确定与约旦妇女POP相关的可改变和不可改变的因素,其次,评估POP阶段对她们生活质量的影响。方法:本研究是一项年龄匹配的病例对照研究,于2022年3月1日至2022年12月15日在约旦大学医院妇科门诊进行。采用POP定量系统作为鉴定病例和对照的标准化方法。获得社会人口学、产科和妇科特征并与POP相关。采用多变量logistic回归确定脱垂发生的独立预测因素。采用脱垂生活质量问卷评估脱垂在各个阶段的影响。结果:150例病例和150例对照纳入本研究,中位年龄为44.5岁。膀胱膨出和直肠膨出是最常见的脱垂类型。近65%的妇女报告说她们在分娩时进行了外阴切开术,14%的妇女报告有脱垂的家族史。多变量logistic回归分析显示,肥胖(AOR = 2.31, 95% CI 1.07 ~ 5.84, p = 0.03)、会阴切开术(AOR = 2.88, 95% CI 1.41 ~ 5.89, p = 0.004)和脱垂家族史(AOR = 3.45, 95% CI 1.3 ~ 9.2, p = 0.013)与POP相关。在脱垂严重程度阶段,生活质量的损害明显更高。结论:在约旦,肥胖、外阴切开术和家族史与POP有关。随着脱垂严重程度的增加,患POP的妇女的生活质量明显受损。
本文章由计算机程序翻译,如有差异,请以英文原文为准。

Predictive Factors of Pelvic Organ Prolapse and the Quality of Life Among Jordanian Women: A Case-Control Study.

Predictive Factors of Pelvic Organ Prolapse and the Quality of Life Among Jordanian Women: A Case-Control Study.

Predictive Factors of Pelvic Organ Prolapse and the Quality of Life Among Jordanian Women: A Case-Control Study.

Predictive Factors of Pelvic Organ Prolapse and the Quality of Life Among Jordanian Women: A Case-Control Study.

Background: Pelvic organ prolapse (POP) is a common gynecological problem. Several risk factors have been identified to contribute to the main pathophysiological mechanism of prolapse development. However, the POP data in the Eastern Mediterranean region, including Jordan, are limited, and the risk factors associated with POP were mainly obesity and high number of vaginal deliveries. Since Jordan has a high prevalence of obesity, parity, and type 2 diabetes, the present study aimed primarily to identify the modifiable and non-modifiable factors associated with POP in Jordanian women, and secondly, to evaluate the impact of POP stages on their quality of life.

Methods: This study was an age-matched case-control study conducted at the gynecology outpatient clinics at Jordan University Hospital from March 1, 2022, to December 15, 2022. The POP quantification system was used as a standardized method to identify the cases and controls. Sociodemographic, obstetrics, and gynecological characteristics were obtained and correlated with POP. Multivariable logistic regression was performed to determine the independent predictive factors of prolapse occurrence. The Prolapse Quality of Life questionnaire was employed to assess the impact of prolapse across the stages of prolapse.

Results: One hundred fifty cases and 150 controls were enrolled in this study, with a median age of 44.5 years. Cystocele and rectocele were the most identified types of prolapse. Nearly 65% of women reported that they had an episiotomy during their deliveries, and 14% reported that there was a family history of prolapse. Multivariable logistic regression revealed that obesity (AOR = 2.31, 95% CI 1.07-5.84, p = 0.03), episiotomy (AOR = 2.88, 95% CI 1.41-5.89, p = 0.004) and family history of prolapse (AOR = 3.45, 95% CI 1.3-9.2, p = 0.013) were associated with POP. Impairment in the quality of life was significantly higher across prolapse severity stages.

Conclusion: In Jordan, obesity, episiotomy, and a family history were associated with POP. Quality of life for women with POP was notably impaired as the severity of the prolapse increased.

求助全文
通过发布文献求助,成功后即可免费获取论文全文。 去求助
来源期刊
International Journal of Women's Health
International Journal of Women's Health OBSTETRICS & GYNECOLOGY-
CiteScore
3.70
自引率
0.00%
发文量
194
审稿时长
16 weeks
期刊介绍: International Journal of Women''s Health is an international, peer-reviewed, open access, online journal. Publishing original research, reports, editorials, reviews and commentaries on all aspects of women''s healthcare including gynecology, obstetrics, and breast cancer. Subject areas include: Chronic conditions including cancers of various organs specific and not specific to women Migraine, headaches, arthritis, osteoporosis Endocrine and autoimmune syndromes - asthma, multiple sclerosis, lupus, diabetes Sexual and reproductive health including fertility patterns and emerging technologies to address infertility Infectious disease with chronic sequelae including HIV/AIDS, HPV, PID, and other STDs Psychological and psychosocial conditions - depression across the life span, substance abuse, domestic violence Health maintenance among aging females - factors affecting the quality of life including physical, social and mental issues Avenues for health promotion and disease prevention across the life span Male vs female incidence comparisons for conditions that affect both genders.
×
引用
GB/T 7714-2015
复制
MLA
复制
APA
复制
导出至
BibTeX EndNote RefMan NoteFirst NoteExpress
×
提示
您的信息不完整,为了账户安全,请先补充。
现在去补充
×
提示
您因"违规操作"
具体请查看互助需知
我知道了
×
提示
确定
请完成安全验证×
copy
已复制链接
快去分享给好友吧!
我知道了
右上角分享
点击右上角分享
0
联系我们:info@booksci.cn Book学术提供免费学术资源搜索服务,方便国内外学者检索中英文文献。致力于提供最便捷和优质的服务体验。 Copyright © 2023 布克学术 All rights reserved.
京ICP备2023020795号-1
ghs 京公网安备 11010802042870号
Book学术文献互助
Book学术文献互助群
群 号:604180095
Book学术官方微信