评估奶酪对2型糖尿病及其并发症的保护作用:一项孟德尔随机研究。

IF 2.3 4区 医学 Q3 ENDOCRINOLOGY & METABOLISM
International Journal of Endocrinology Pub Date : 2025-07-18 eCollection Date: 2025-01-01 DOI:10.1155/ije/8880270
Shuwei Weng, Xin Guo, Chen Ding, Die Hu, Daoquan Peng
{"title":"评估奶酪对2型糖尿病及其并发症的保护作用:一项孟德尔随机研究。","authors":"Shuwei Weng, Xin Guo, Chen Ding, Die Hu, Daoquan Peng","doi":"10.1155/ije/8880270","DOIUrl":null,"url":null,"abstract":"<p><p><b>Background:</b> Type 2 diabetes mellitus (T2DM) is a major global health issue, with significant complications impacting patients' quality of life, including neuropathy, ophthalmic issues, nephropathy, and peripheral vascular complications. Although dietary factors influence T2DM risk, the specific impact of cheese consumption remains unclear. This study uses a two-sample Mendelian randomization (MR) approach to investigate the causal relationship between cheese intake and T2DM, along with specific complications, including ophthalmic and peripheral vascular issues. <b>Methods:</b> Using summary-level data from large-scale genome-wide association studies, we applied a two-sample MR approach. Genetic variants associated with cheese consumption were selected as instrumental variables, following criteria for genome-wide significance, linkage disequilibrium checks, and exclusion of pleiotropic effects. Robustness was assessed through various MR methods, including inverse variance weighted (IVW) and MR-Egger. <b>Results:</b> The MR analysis found that increased cheese consumption was significantly associated with a reduced risk of T2DM (OR = 0.639, 95% CI: 0.482-0.847, and <i>p</i> value = 0.002) and its ophthalmic complications (OR = 0.386, 95% CI: 0.196-0.759, and <i>p</i> value = 0.015). No significant associations were found with other complications, including neuropathy, nephropathy, and peripheral vascular complications. Sensitivity analyses confirmed minimal heterogeneity and pleiotropy, supporting the reliability of these findings. <b>Conclusion:</b> This study suggests a protective role of cheese intake in reducing T2DM risk and its ophthalmic complications, potentially informing dietary recommendations for T2DM management.</p>","PeriodicalId":13966,"journal":{"name":"International Journal of Endocrinology","volume":"2025 ","pages":"8880270"},"PeriodicalIF":2.3000,"publicationDate":"2025-07-18","publicationTypes":"Journal Article","fieldsOfStudy":null,"isOpenAccess":false,"openAccessPdf":"https://www.ncbi.nlm.nih.gov/pmc/articles/PMC12297135/pdf/","citationCount":"0","resultStr":"{\"title\":\"Assessing the Protective Role of Cheese Consumption Against Type 2 Diabetes and Its Complications: A Mendelian Randomization Study.\",\"authors\":\"Shuwei Weng, Xin Guo, Chen Ding, Die Hu, Daoquan Peng\",\"doi\":\"10.1155/ije/8880270\",\"DOIUrl\":null,\"url\":null,\"abstract\":\"<p><p><b>Background:</b> Type 2 diabetes mellitus (T2DM) is a major global health issue, with significant complications impacting patients' quality of life, including neuropathy, ophthalmic issues, nephropathy, and peripheral vascular complications. Although dietary factors influence T2DM risk, the specific impact of cheese consumption remains unclear. This study uses a two-sample Mendelian randomization (MR) approach to investigate the causal relationship between cheese intake and T2DM, along with specific complications, including ophthalmic and peripheral vascular issues. <b>Methods:</b> Using summary-level data from large-scale genome-wide association studies, we applied a two-sample MR approach. Genetic variants associated with cheese consumption were selected as instrumental variables, following criteria for genome-wide significance, linkage disequilibrium checks, and exclusion of pleiotropic effects. Robustness was assessed through various MR methods, including inverse variance weighted (IVW) and MR-Egger. <b>Results:</b> The MR analysis found that increased cheese consumption was significantly associated with a reduced risk of T2DM (OR = 0.639, 95% CI: 0.482-0.847, and <i>p</i> value = 0.002) and its ophthalmic complications (OR = 0.386, 95% CI: 0.196-0.759, and <i>p</i> value = 0.015). No significant associations were found with other complications, including neuropathy, nephropathy, and peripheral vascular complications. Sensitivity analyses confirmed minimal heterogeneity and pleiotropy, supporting the reliability of these findings. <b>Conclusion:</b> This study suggests a protective role of cheese intake in reducing T2DM risk and its ophthalmic complications, potentially informing dietary recommendations for T2DM management.</p>\",\"PeriodicalId\":13966,\"journal\":{\"name\":\"International Journal of Endocrinology\",\"volume\":\"2025 \",\"pages\":\"8880270\"},\"PeriodicalIF\":2.3000,\"publicationDate\":\"2025-07-18\",\"publicationTypes\":\"Journal Article\",\"fieldsOfStudy\":null,\"isOpenAccess\":false,\"openAccessPdf\":\"https://www.ncbi.nlm.nih.gov/pmc/articles/PMC12297135/pdf/\",\"citationCount\":\"0\",\"resultStr\":null,\"platform\":\"Semanticscholar\",\"paperid\":null,\"PeriodicalName\":\"International Journal of Endocrinology\",\"FirstCategoryId\":\"3\",\"ListUrlMain\":\"https://doi.org/10.1155/ije/8880270\",\"RegionNum\":4,\"RegionCategory\":\"医学\",\"ArticlePicture\":[],\"TitleCN\":null,\"AbstractTextCN\":null,\"PMCID\":null,\"EPubDate\":\"2025/1/1 0:00:00\",\"PubModel\":\"eCollection\",\"JCR\":\"Q3\",\"JCRName\":\"ENDOCRINOLOGY & METABOLISM\",\"Score\":null,\"Total\":0}","platform":"Semanticscholar","paperid":null,"PeriodicalName":"International Journal of Endocrinology","FirstCategoryId":"3","ListUrlMain":"https://doi.org/10.1155/ije/8880270","RegionNum":4,"RegionCategory":"医学","ArticlePicture":[],"TitleCN":null,"AbstractTextCN":null,"PMCID":null,"EPubDate":"2025/1/1 0:00:00","PubModel":"eCollection","JCR":"Q3","JCRName":"ENDOCRINOLOGY & METABOLISM","Score":null,"Total":0}
引用次数: 0

摘要

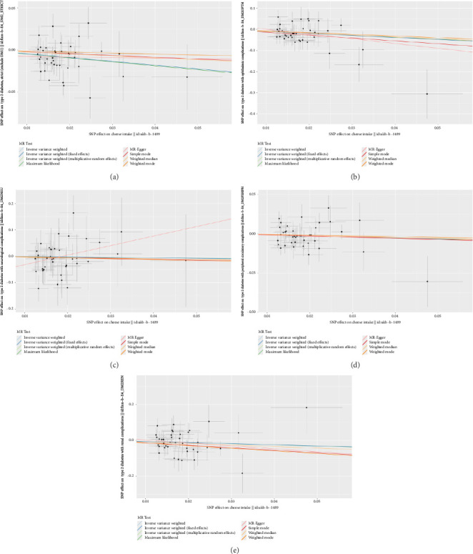
背景:2型糖尿病(T2DM)是一个主要的全球健康问题,其并发症影响患者的生活质量,包括神经病变、眼科问题、肾病和周围血管并发症。虽然饮食因素会影响2型糖尿病风险,但奶酪消费的具体影响尚不清楚。本研究采用双样本孟德尔随机化(MR)方法调查奶酪摄入量与2型糖尿病之间的因果关系,以及特定并发症,包括眼科和周围血管问题。方法:利用大规模全基因组关联研究的汇总数据,我们采用了双样本MR方法。选择与奶酪消费相关的遗传变异作为工具变量,遵循全基因组显著性、连锁不平衡检查和排除多效效应的标准。通过各种MR方法评估稳健性,包括逆方差加权(IVW)和MR- egger。结果:磁共振分析发现,增加奶酪摄入量与T2DM (OR = 0.639, 95% CI: 0.482-0.847, p值= 0.002)及其眼科并发症的风险降低显著相关(OR = 0.386, 95% CI: 0.196-0.759, p值= 0.015)。与其他并发症,包括神经病变、肾病和周围血管并发症无显著相关性。敏感性分析证实了最小的异质性和多效性,支持了这些发现的可靠性。结论:本研究提示奶酪摄入在降低T2DM风险及其眼科并发症方面具有保护作用,可能为T2DM管理的饮食建议提供信息。
本文章由计算机程序翻译,如有差异,请以英文原文为准。

Assessing the Protective Role of Cheese Consumption Against Type 2 Diabetes and Its Complications: A Mendelian Randomization Study.

Assessing the Protective Role of Cheese Consumption Against Type 2 Diabetes and Its Complications: A Mendelian Randomization Study.

Assessing the Protective Role of Cheese Consumption Against Type 2 Diabetes and Its Complications: A Mendelian Randomization Study.

Assessing the Protective Role of Cheese Consumption Against Type 2 Diabetes and Its Complications: A Mendelian Randomization Study.

Background: Type 2 diabetes mellitus (T2DM) is a major global health issue, with significant complications impacting patients' quality of life, including neuropathy, ophthalmic issues, nephropathy, and peripheral vascular complications. Although dietary factors influence T2DM risk, the specific impact of cheese consumption remains unclear. This study uses a two-sample Mendelian randomization (MR) approach to investigate the causal relationship between cheese intake and T2DM, along with specific complications, including ophthalmic and peripheral vascular issues. Methods: Using summary-level data from large-scale genome-wide association studies, we applied a two-sample MR approach. Genetic variants associated with cheese consumption were selected as instrumental variables, following criteria for genome-wide significance, linkage disequilibrium checks, and exclusion of pleiotropic effects. Robustness was assessed through various MR methods, including inverse variance weighted (IVW) and MR-Egger. Results: The MR analysis found that increased cheese consumption was significantly associated with a reduced risk of T2DM (OR = 0.639, 95% CI: 0.482-0.847, and p value = 0.002) and its ophthalmic complications (OR = 0.386, 95% CI: 0.196-0.759, and p value = 0.015). No significant associations were found with other complications, including neuropathy, nephropathy, and peripheral vascular complications. Sensitivity analyses confirmed minimal heterogeneity and pleiotropy, supporting the reliability of these findings. Conclusion: This study suggests a protective role of cheese intake in reducing T2DM risk and its ophthalmic complications, potentially informing dietary recommendations for T2DM management.

求助全文
通过发布文献求助,成功后即可免费获取论文全文。 去求助
来源期刊
International Journal of Endocrinology
International Journal of Endocrinology ENDOCRINOLOGY & METABOLISM-
CiteScore
5.20
自引率
0.00%
发文量
147
审稿时长
1 months
期刊介绍: International Journal of Endocrinology is a peer-reviewed, Open Access journal that provides a forum for scientists and clinicians working in basic and translational research. The journal publishes original research articles, review articles, and clinical studies that provide insights into the endocrine system and its associated diseases at a genomic, molecular, biochemical and cellular level.
×
引用
GB/T 7714-2015
复制
MLA
复制
APA
复制
导出至
BibTeX EndNote RefMan NoteFirst NoteExpress
×
提示
您的信息不完整,为了账户安全,请先补充。
现在去补充
×
提示
您因"违规操作"
具体请查看互助需知
我知道了
×
提示
确定
请完成安全验证×
copy
已复制链接
快去分享给好友吧!
我知道了
右上角分享
点击右上角分享
0
联系我们:info@booksci.cn Book学术提供免费学术资源搜索服务,方便国内外学者检索中英文文献。致力于提供最便捷和优质的服务体验。 Copyright © 2023 布克学术 All rights reserved.
京ICP备2023020795号-1
ghs 京公网安备 11010802042870号
Book学术文献互助
Book学术文献互助群
群 号:604180095
Book学术官方微信