急性感染患者住院死亡率的早期预测:急性严重感染评分(ASIs)的发展

IF 5.3 3区 医学 Q1 INFECTIOUS DISEASES
Infectious Diseases and Therapy Pub Date : 2025-09-01 Epub Date: 2025-07-26 DOI:10.1007/s40121-025-01200-8
Alessio Comitangelo, Alfredo Vozza, Giovanna Ditaranto, Giuseppe Re, Ada Berloco, Erasmo Porfido, Carlo Custodero, Domenico Comitangelo, Sara Madaghiele, Andrea Portacci, Cosimo Tortorella, Giuseppina Piazzolla
{"title":"急性感染患者住院死亡率的早期预测:急性严重感染评分(ASIs)的发展","authors":"Alessio Comitangelo, Alfredo Vozza, Giovanna Ditaranto, Giuseppe Re, Ada Berloco, Erasmo Porfido, Carlo Custodero, Domenico Comitangelo, Sara Madaghiele, Andrea Portacci, Cosimo Tortorella, Giuseppina Piazzolla","doi":"10.1007/s40121-025-01200-8","DOIUrl":null,"url":null,"abstract":"<p><strong>Introduction: </strong>Early prognostic stratification in patients hospitalized for acute infections is a major clinical challenge. Existing tools, such as the Sequential Organ Failure Assessment (SOFA) score and Charlson Comorbidity Index (CCI), were not specifically developed for this purpose.</p><p><strong>Objectives: </strong>We aimed to design a novel multidimensional prognostic score, the Acute Severity Infection score (ASIs), to predict in-hospital mortality using routinely available clinical data.</p><p><strong>Methods: </strong>This retrospective cohort study included 149 adults admitted with acute infections to an internal medicine unit between January 2023 and December 2024. In-hospital all-cause mortality was the primary outcome. Demographic, clinical and laboratory variables obtained within 12 h of admission were analyzed. Variables significantly associated with mortality in both univariate and multivariate regression were incorporated into the ASIs, which ranges from 0 to 7 points. Its performance was compared to SOFA and CCI using ROC curve and Cox regression models.</p><p><strong>Results: </strong>In-hospital mortality occurred in 25.5% of patients. Five variables were independently associated with mortality: lactate ≥ 2.2 mmol/l, frailty composite (confined to bed status, long-term oxygen therapy or advanced malignancy), hemodynamic instability or need for non-invasive ventilation, age ≥ 79.5 years and symptom onset ≥ 3.5 days before admission. ASIs showed the highest discriminative ability (AUC = 0.883) compared to SOFA (AUC = 0.612) and CCI (AUC = 0.742). In multivariate models including all three scores, only ASIs retained independent prognostic significance.</p><p><strong>Conclusions: </strong>The ASIs is a simple tool for early prognostic stratification of patients hospitalized with acute infections. It outperforms existing scores and may enhance clinical decision-making in real-world medical settings.</p>","PeriodicalId":13592,"journal":{"name":"Infectious Diseases and Therapy","volume":" ","pages":"2053-2070"},"PeriodicalIF":5.3000,"publicationDate":"2025-09-01","publicationTypes":"Journal Article","fieldsOfStudy":null,"isOpenAccess":false,"openAccessPdf":"https://www.ncbi.nlm.nih.gov/pmc/articles/PMC12426296/pdf/","citationCount":"0","resultStr":"{\"title\":\"Early Prediction of In-Hospital Mortality in Patients with Acute Infections: Development of the Acute Severity Infection Score (ASIs).\",\"authors\":\"Alessio Comitangelo, Alfredo Vozza, Giovanna Ditaranto, Giuseppe Re, Ada Berloco, Erasmo Porfido, Carlo Custodero, Domenico Comitangelo, Sara Madaghiele, Andrea Portacci, Cosimo Tortorella, Giuseppina Piazzolla\",\"doi\":\"10.1007/s40121-025-01200-8\",\"DOIUrl\":null,\"url\":null,\"abstract\":\"<p><strong>Introduction: </strong>Early prognostic stratification in patients hospitalized for acute infections is a major clinical challenge. Existing tools, such as the Sequential Organ Failure Assessment (SOFA) score and Charlson Comorbidity Index (CCI), were not specifically developed for this purpose.</p><p><strong>Objectives: </strong>We aimed to design a novel multidimensional prognostic score, the Acute Severity Infection score (ASIs), to predict in-hospital mortality using routinely available clinical data.</p><p><strong>Methods: </strong>This retrospective cohort study included 149 adults admitted with acute infections to an internal medicine unit between January 2023 and December 2024. In-hospital all-cause mortality was the primary outcome. Demographic, clinical and laboratory variables obtained within 12 h of admission were analyzed. Variables significantly associated with mortality in both univariate and multivariate regression were incorporated into the ASIs, which ranges from 0 to 7 points. Its performance was compared to SOFA and CCI using ROC curve and Cox regression models.</p><p><strong>Results: </strong>In-hospital mortality occurred in 25.5% of patients. Five variables were independently associated with mortality: lactate ≥ 2.2 mmol/l, frailty composite (confined to bed status, long-term oxygen therapy or advanced malignancy), hemodynamic instability or need for non-invasive ventilation, age ≥ 79.5 years and symptom onset ≥ 3.5 days before admission. ASIs showed the highest discriminative ability (AUC = 0.883) compared to SOFA (AUC = 0.612) and CCI (AUC = 0.742). In multivariate models including all three scores, only ASIs retained independent prognostic significance.</p><p><strong>Conclusions: </strong>The ASIs is a simple tool for early prognostic stratification of patients hospitalized with acute infections. It outperforms existing scores and may enhance clinical decision-making in real-world medical settings.</p>\",\"PeriodicalId\":13592,\"journal\":{\"name\":\"Infectious Diseases and Therapy\",\"volume\":\" \",\"pages\":\"2053-2070\"},\"PeriodicalIF\":5.3000,\"publicationDate\":\"2025-09-01\",\"publicationTypes\":\"Journal Article\",\"fieldsOfStudy\":null,\"isOpenAccess\":false,\"openAccessPdf\":\"https://www.ncbi.nlm.nih.gov/pmc/articles/PMC12426296/pdf/\",\"citationCount\":\"0\",\"resultStr\":null,\"platform\":\"Semanticscholar\",\"paperid\":null,\"PeriodicalName\":\"Infectious Diseases and Therapy\",\"FirstCategoryId\":\"3\",\"ListUrlMain\":\"https://doi.org/10.1007/s40121-025-01200-8\",\"RegionNum\":3,\"RegionCategory\":\"医学\",\"ArticlePicture\":[],\"TitleCN\":null,\"AbstractTextCN\":null,\"PMCID\":null,\"EPubDate\":\"2025/7/26 0:00:00\",\"PubModel\":\"Epub\",\"JCR\":\"Q1\",\"JCRName\":\"INFECTIOUS DISEASES\",\"Score\":null,\"Total\":0}","platform":"Semanticscholar","paperid":null,"PeriodicalName":"Infectious Diseases and Therapy","FirstCategoryId":"3","ListUrlMain":"https://doi.org/10.1007/s40121-025-01200-8","RegionNum":3,"RegionCategory":"医学","ArticlePicture":[],"TitleCN":null,"AbstractTextCN":null,"PMCID":null,"EPubDate":"2025/7/26 0:00:00","PubModel":"Epub","JCR":"Q1","JCRName":"INFECTIOUS DISEASES","Score":null,"Total":0}
引用次数: 0

摘要

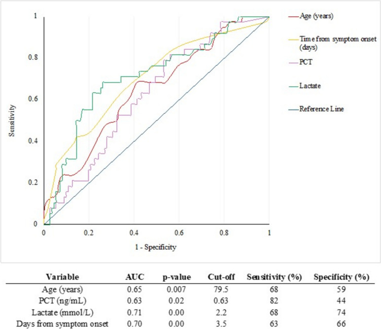
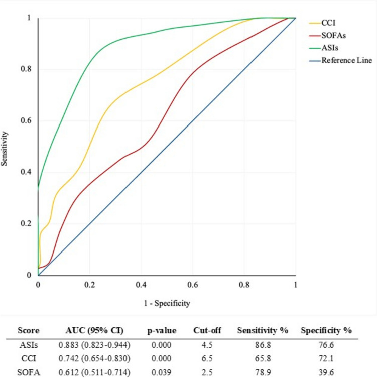
急性感染住院患者的早期预后分层是一个主要的临床挑战。现有的工具,如顺序器官衰竭评估(SOFA)评分和Charlson合并症指数(CCI),并不是专门为此目的而开发的。目的:我们旨在设计一种新的多维预后评分,即急性严重感染评分(ASIs),利用常规临床数据预测院内死亡率。方法:这项回顾性队列研究包括149名在2023年1月至2024年12月期间因急性感染入住内科的成年人。院内全因死亡率是主要结局。对入院12小时内获得的人口学、临床和实验室变量进行分析。在单变量和多变量回归中与死亡率显著相关的变量被纳入ASIs,其范围从0到7分。采用ROC曲线和Cox回归模型将其性能与SOFA和CCI进行比较。结果:住院死亡率为25.5%。5个变量与死亡率独立相关:乳酸≥2.2 mmol/l,虚弱复合(局限于卧床状态,长期氧治疗或晚期恶性肿瘤),血流动力学不稳定或需要无创通气,年龄≥79.5岁,入院前症状发作≥3.5天。与SOFA (AUC = 0.612)和CCI (AUC = 0.742)相比,ASIs的鉴别能力最高(AUC = 0.883)。在包括所有三个评分的多变量模型中,只有ASIs保留了独立的预后意义。结论:ASIs是急性感染住院患者早期预后分层的简单工具。它超越了现有的分数,并可能提高现实世界医疗环境中的临床决策。
本文章由计算机程序翻译,如有差异,请以英文原文为准。

Early Prediction of In-Hospital Mortality in Patients with Acute Infections: Development of the Acute Severity Infection Score (ASIs).

Early Prediction of In-Hospital Mortality in Patients with Acute Infections: Development of the Acute Severity Infection Score (ASIs).

Early Prediction of In-Hospital Mortality in Patients with Acute Infections: Development of the Acute Severity Infection Score (ASIs).

Early Prediction of In-Hospital Mortality in Patients with Acute Infections: Development of the Acute Severity Infection Score (ASIs).

Introduction: Early prognostic stratification in patients hospitalized for acute infections is a major clinical challenge. Existing tools, such as the Sequential Organ Failure Assessment (SOFA) score and Charlson Comorbidity Index (CCI), were not specifically developed for this purpose.

Objectives: We aimed to design a novel multidimensional prognostic score, the Acute Severity Infection score (ASIs), to predict in-hospital mortality using routinely available clinical data.

Methods: This retrospective cohort study included 149 adults admitted with acute infections to an internal medicine unit between January 2023 and December 2024. In-hospital all-cause mortality was the primary outcome. Demographic, clinical and laboratory variables obtained within 12 h of admission were analyzed. Variables significantly associated with mortality in both univariate and multivariate regression were incorporated into the ASIs, which ranges from 0 to 7 points. Its performance was compared to SOFA and CCI using ROC curve and Cox regression models.

Results: In-hospital mortality occurred in 25.5% of patients. Five variables were independently associated with mortality: lactate ≥ 2.2 mmol/l, frailty composite (confined to bed status, long-term oxygen therapy or advanced malignancy), hemodynamic instability or need for non-invasive ventilation, age ≥ 79.5 years and symptom onset ≥ 3.5 days before admission. ASIs showed the highest discriminative ability (AUC = 0.883) compared to SOFA (AUC = 0.612) and CCI (AUC = 0.742). In multivariate models including all three scores, only ASIs retained independent prognostic significance.

Conclusions: The ASIs is a simple tool for early prognostic stratification of patients hospitalized with acute infections. It outperforms existing scores and may enhance clinical decision-making in real-world medical settings.

求助全文
通过发布文献求助,成功后即可免费获取论文全文。 去求助
来源期刊
Infectious Diseases and Therapy
Infectious Diseases and Therapy Medicine-Microbiology (medical)
CiteScore
8.60
自引率
1.90%
发文量
136
审稿时长
6 weeks
期刊介绍: Infectious Diseases and Therapy is an international, open access, peer-reviewed, rapid publication journal dedicated to the publication of high-quality clinical (all phases), observational, real-world, and health outcomes research around the discovery, development, and use of infectious disease therapies and interventions, including vaccines and devices. Studies relating to diagnostic products and diagnosis, pharmacoeconomics, public health, epidemiology, quality of life, and patient care, management, and education are also encouraged. Areas of focus include, but are not limited to, bacterial and fungal infections, viral infections (including HIV/AIDS and hepatitis), parasitological diseases, tuberculosis and other mycobacterial diseases, vaccinations and other interventions, and drug-resistance, chronic infections, epidemiology and tropical, emergent, pediatric, dermal and sexually-transmitted diseases.
×
引用
GB/T 7714-2015
复制
MLA
复制
APA
复制
导出至
BibTeX EndNote RefMan NoteFirst NoteExpress
×
提示
您的信息不完整,为了账户安全,请先补充。
现在去补充
×
提示
您因"违规操作"
具体请查看互助需知
我知道了
×
提示
确定
请完成安全验证×
copy
已复制链接
快去分享给好友吧!
我知道了
右上角分享
点击右上角分享
0
联系我们:info@booksci.cn Book学术提供免费学术资源搜索服务,方便国内外学者检索中英文文献。致力于提供最便捷和优质的服务体验。 Copyright © 2023 布克学术 All rights reserved.
京ICP备2023020795号-1
ghs 京公网安备 11010802042870号
Book学术文献互助
Book学术文献互助群
群 号:604180095
Book学术官方微信