与中国透析患者SF-6D v2效用评分相关的社会人口学特征:分位数回归的贡献

IF 3.4 2区 医学 Q1 HEALTH CARE SCIENCES & SERVICES
Ye Zhang, Li Yang, Zeyuan Chen
{"title":"与中国透析患者SF-6D v2效用评分相关的社会人口学特征:分位数回归的贡献","authors":"Ye Zhang, Li Yang, Zeyuan Chen","doi":"10.1186/s12955-025-02401-y","DOIUrl":null,"url":null,"abstract":"<p><strong>Background: </strong>Generic preference-based instruments, such as the Short Form 6-Dimensions (SF-6D) and EuroQol 5-Dimensions (EQ-5D), can generate utility scores that facilitate the estimation of health-related quality of life (HRQoL) which is commonly used in cost-utility analysis. This study investigated the associations between utility scores and potential socio-demographic factors in Chinese patients with dialysis using quantile regression.</p><p><strong>Methods: </strong>Patients were recruited in a multicenter survey conducted between November 2023 and January 2024 for dialysis patients in China. Patient responses to the SF-6D version 2 (SF-6Dv2) instruments were used to calculate utility scores. The relationships between utility scores and potential socio-demographic factors were examined using both ordinary least squares (OLS) and quantile regression models. The Wald test was employed to test the differences in coefficients across quantiles in quantile regression. Model performance was assessed using 5-fold cross-validation.</p><p><strong>Results: </strong>A total of 378 patients were included. Age, education level, having a loan due to illness, currently working, monthly income > 8000 RMB and number of comorbidities were associated with utility scores. The quantile regression coefficients and Wald test suggested that the size of the associations between the utility scores and factors varied along with the utility score distribution. Quantile regression yielded more accurate fitted and predicted values compared to OLS regression.</p><p><strong>Conclusion: </strong>Quantile regression offers a valuable complement in analyzing factors associated with utility scores among Chinese dialysis patients. For policymakers, differentiated nonclinical strategies may be needed to improve HRQoL across varying health states within this population.</p>","PeriodicalId":12980,"journal":{"name":"Health and Quality of Life Outcomes","volume":"23 1","pages":"76"},"PeriodicalIF":3.4000,"publicationDate":"2025-07-28","publicationTypes":"Journal Article","fieldsOfStudy":null,"isOpenAccess":false,"openAccessPdf":"https://www.ncbi.nlm.nih.gov/pmc/articles/PMC12305961/pdf/","citationCount":"0","resultStr":"{\"title\":\"Socio-demographic characteristics associated with SF-6D v2 utility scores in patients undergoing dialysis in China: contributions of the quantile regression.\",\"authors\":\"Ye Zhang, Li Yang, Zeyuan Chen\",\"doi\":\"10.1186/s12955-025-02401-y\",\"DOIUrl\":null,\"url\":null,\"abstract\":\"<p><strong>Background: </strong>Generic preference-based instruments, such as the Short Form 6-Dimensions (SF-6D) and EuroQol 5-Dimensions (EQ-5D), can generate utility scores that facilitate the estimation of health-related quality of life (HRQoL) which is commonly used in cost-utility analysis. This study investigated the associations between utility scores and potential socio-demographic factors in Chinese patients with dialysis using quantile regression.</p><p><strong>Methods: </strong>Patients were recruited in a multicenter survey conducted between November 2023 and January 2024 for dialysis patients in China. Patient responses to the SF-6D version 2 (SF-6Dv2) instruments were used to calculate utility scores. The relationships between utility scores and potential socio-demographic factors were examined using both ordinary least squares (OLS) and quantile regression models. The Wald test was employed to test the differences in coefficients across quantiles in quantile regression. Model performance was assessed using 5-fold cross-validation.</p><p><strong>Results: </strong>A total of 378 patients were included. Age, education level, having a loan due to illness, currently working, monthly income > 8000 RMB and number of comorbidities were associated with utility scores. The quantile regression coefficients and Wald test suggested that the size of the associations between the utility scores and factors varied along with the utility score distribution. Quantile regression yielded more accurate fitted and predicted values compared to OLS regression.</p><p><strong>Conclusion: </strong>Quantile regression offers a valuable complement in analyzing factors associated with utility scores among Chinese dialysis patients. For policymakers, differentiated nonclinical strategies may be needed to improve HRQoL across varying health states within this population.</p>\",\"PeriodicalId\":12980,\"journal\":{\"name\":\"Health and Quality of Life Outcomes\",\"volume\":\"23 1\",\"pages\":\"76\"},\"PeriodicalIF\":3.4000,\"publicationDate\":\"2025-07-28\",\"publicationTypes\":\"Journal Article\",\"fieldsOfStudy\":null,\"isOpenAccess\":false,\"openAccessPdf\":\"https://www.ncbi.nlm.nih.gov/pmc/articles/PMC12305961/pdf/\",\"citationCount\":\"0\",\"resultStr\":null,\"platform\":\"Semanticscholar\",\"paperid\":null,\"PeriodicalName\":\"Health and Quality of Life Outcomes\",\"FirstCategoryId\":\"3\",\"ListUrlMain\":\"https://doi.org/10.1186/s12955-025-02401-y\",\"RegionNum\":2,\"RegionCategory\":\"医学\",\"ArticlePicture\":[],\"TitleCN\":null,\"AbstractTextCN\":null,\"PMCID\":null,\"EPubDate\":\"\",\"PubModel\":\"\",\"JCR\":\"Q1\",\"JCRName\":\"HEALTH CARE SCIENCES & SERVICES\",\"Score\":null,\"Total\":0}","platform":"Semanticscholar","paperid":null,"PeriodicalName":"Health and Quality of Life Outcomes","FirstCategoryId":"3","ListUrlMain":"https://doi.org/10.1186/s12955-025-02401-y","RegionNum":2,"RegionCategory":"医学","ArticlePicture":[],"TitleCN":null,"AbstractTextCN":null,"PMCID":null,"EPubDate":"","PubModel":"","JCR":"Q1","JCRName":"HEALTH CARE SCIENCES & SERVICES","Score":null,"Total":0}
引用次数: 0

摘要

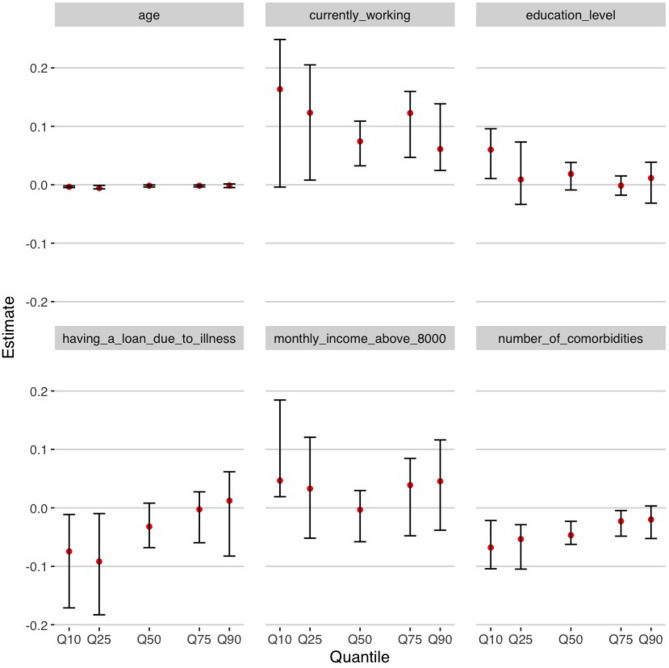
背景:基于偏好的通用工具,如SF-6D和EQ-5D,可以生成效用评分,促进健康相关生活质量(HRQoL)的估计,这通常用于成本-效用分析。本研究采用分位数回归法调查了中国透析患者效用评分与潜在社会人口因素之间的关系。方法:在2023年11月至2024年1月期间对中国透析患者进行多中心调查。使用患者对SF-6D版本2 (SF-6Dv2)仪器的反应来计算效用评分。使用普通最小二乘(OLS)和分位数回归模型检验了效用得分与潜在社会人口因素之间的关系。采用Wald检验检验分位数回归中各分位数系数的差异。采用5倍交叉验证评估模型性能。结果:共纳入378例患者。年龄、受教育程度、因病贷款、目前在职、月收入80 ~ 8000元、合并症数量与效用得分相关。分位数回归系数和Wald检验表明,效用得分与因素之间的关联程度随效用得分分布而变化。与OLS回归相比,分位数回归产生了更准确的拟合和预测值。结论:分位数回归为分析中国透析患者效用评分相关因素提供了有价值的补充。对于政策制定者来说,可能需要不同的非临床策略来改善这一人群中不同健康状态的HRQoL。
本文章由计算机程序翻译,如有差异,请以英文原文为准。

Socio-demographic characteristics associated with SF-6D v2 utility scores in patients undergoing dialysis in China: contributions of the quantile regression.

Socio-demographic characteristics associated with SF-6D v2 utility scores in patients undergoing dialysis in China: contributions of the quantile regression.

Socio-demographic characteristics associated with SF-6D v2 utility scores in patients undergoing dialysis in China: contributions of the quantile regression.

Socio-demographic characteristics associated with SF-6D v2 utility scores in patients undergoing dialysis in China: contributions of the quantile regression.

Background: Generic preference-based instruments, such as the Short Form 6-Dimensions (SF-6D) and EuroQol 5-Dimensions (EQ-5D), can generate utility scores that facilitate the estimation of health-related quality of life (HRQoL) which is commonly used in cost-utility analysis. This study investigated the associations between utility scores and potential socio-demographic factors in Chinese patients with dialysis using quantile regression.

Methods: Patients were recruited in a multicenter survey conducted between November 2023 and January 2024 for dialysis patients in China. Patient responses to the SF-6D version 2 (SF-6Dv2) instruments were used to calculate utility scores. The relationships between utility scores and potential socio-demographic factors were examined using both ordinary least squares (OLS) and quantile regression models. The Wald test was employed to test the differences in coefficients across quantiles in quantile regression. Model performance was assessed using 5-fold cross-validation.

Results: A total of 378 patients were included. Age, education level, having a loan due to illness, currently working, monthly income > 8000 RMB and number of comorbidities were associated with utility scores. The quantile regression coefficients and Wald test suggested that the size of the associations between the utility scores and factors varied along with the utility score distribution. Quantile regression yielded more accurate fitted and predicted values compared to OLS regression.

Conclusion: Quantile regression offers a valuable complement in analyzing factors associated with utility scores among Chinese dialysis patients. For policymakers, differentiated nonclinical strategies may be needed to improve HRQoL across varying health states within this population.

求助全文
通过发布文献求助,成功后即可免费获取论文全文。 去求助
来源期刊
CiteScore
7.30
自引率
2.80%
发文量
154
审稿时长
3-8 weeks
期刊介绍: Health and Quality of Life Outcomes is an open access, peer-reviewed, journal offering high quality articles, rapid publication and wide diffusion in the public domain. Health and Quality of Life Outcomes considers original manuscripts on the Health-Related Quality of Life (HRQOL) assessment for evaluation of medical and psychosocial interventions. It also considers approaches and studies on psychometric properties of HRQOL and patient reported outcome measures, including cultural validation of instruments if they provide information about the impact of interventions. The journal publishes study protocols and reviews summarising the present state of knowledge concerning a particular aspect of HRQOL and patient reported outcome measures. Reviews should generally follow systematic review methodology. Comments on articles and letters to the editor are welcome.
×
引用
GB/T 7714-2015
复制
MLA
复制
APA
复制
导出至
BibTeX EndNote RefMan NoteFirst NoteExpress
×
提示
您的信息不完整,为了账户安全,请先补充。
现在去补充
×
提示
您因"违规操作"
具体请查看互助需知
我知道了
×
提示
确定
请完成安全验证×
copy
已复制链接
快去分享给好友吧!
我知道了
右上角分享
点击右上角分享
0
联系我们:info@booksci.cn Book学术提供免费学术资源搜索服务,方便国内外学者检索中英文文献。致力于提供最便捷和优质的服务体验。 Copyright © 2023 布克学术 All rights reserved.
京ICP备2023020795号-1
ghs 京公网安备 11010802042870号
Book学术文献互助
Book学术文献互助群
群 号:604180095
Book学术官方微信