2型糖尿病口服糖耐量试验中葡萄糖反应曲线形状与大血管并发症的关系

IF 3.9 3区 医学 Q2 ENDOCRINOLOGY & METABOLISM
Rong Ouyang, Han Zhang, Xiaoqin Zhao, Renyue Hu, Yi Sun, Wei Chen, Chen Qian, Yunjuan Gu, Xinlei Wang
{"title":"2型糖尿病口服糖耐量试验中葡萄糖反应曲线形状与大血管并发症的关系","authors":"Rong Ouyang, Han Zhang, Xiaoqin Zhao, Renyue Hu, Yi Sun, Wei Chen, Chen Qian, Yunjuan Gu, Xinlei Wang","doi":"10.1186/s13098-025-01867-6","DOIUrl":null,"url":null,"abstract":"<p><strong>Introduction: </strong>This study evaluated the predictive value of glucose response curve shape during the oral glucose tolerance test (OGTT) for macrovascular complications in patients with type 2 diabetes mellitus (T2DM).</p><p><strong>Research design and methods: </strong>A retrospective observational analysis was conducted involving 75 subjects with normal glucose tolerance (NGT) and 496 patients with T2DM, all of whom underwent a 3-hour OGTT, along with insulin and C-peptide release tests. Multivariate linear regression models assessed the cross-sectional associations between glucose response curve shapes and common carotid artery (CCA) diameter and intima-media thickness (IMT) in T2DM patients. Risk factors for carotid atherosclerosis analyzed using multivariate logistic regression.</p><p><strong>Results: </strong>Among patients with type 2 diabetes who underwent OGTT, the group with monophasic curves (n = 282) showed higher blood glucose levels, increased insulin resistance, and poorer pancreatic β-cell function compared to the multiphasic curve group (n = 214). Larger CCA diameters were independently associated with monophasic curves compared to multiphasic curves (regression coefficient: 0.134 [0.016, 0.252], P = 0.026). Increased IMT was independently associated with monophasic curves compared to multiphase curves (regression coefficient: 0.038 [0.001, 0.075], P = 0.045). Independent risk factors for carotid atherosclerosis in T2DM patients included monophasic curve (odds ratio [OR] 2.014, 95% confidence interval [CI] 1.300-3.121, P = 0.002), age (OR 1.040, 95% CI 1.020-1.059, P < 0.001), male sex (OR 2.107, 95% CI 1.364-3.256, P = 0.001), and duration of diabetes (OR 1.043, 95% CI 1.009-1.078, P = 0.012).</p><p><strong>Conclusion: </strong>The shape of the glucose response curve during OGTT was significantly linked to the risk of macrovascular complications in T2DM patients. Those with monophasic glucose curves were at an elevated risk of developing such complications.</p>","PeriodicalId":11106,"journal":{"name":"Diabetology & Metabolic Syndrome","volume":"17 1","pages":"294"},"PeriodicalIF":3.9000,"publicationDate":"2025-07-28","publicationTypes":"Journal Article","fieldsOfStudy":null,"isOpenAccess":false,"openAccessPdf":"https://www.ncbi.nlm.nih.gov/pmc/articles/PMC12302459/pdf/","citationCount":"0","resultStr":"{\"title\":\"Relationship between glucose response curve shape during the oral glucose tolerance test and macrovascular complications in type 2 diabetes mellitus.\",\"authors\":\"Rong Ouyang, Han Zhang, Xiaoqin Zhao, Renyue Hu, Yi Sun, Wei Chen, Chen Qian, Yunjuan Gu, Xinlei Wang\",\"doi\":\"10.1186/s13098-025-01867-6\",\"DOIUrl\":null,\"url\":null,\"abstract\":\"<p><strong>Introduction: </strong>This study evaluated the predictive value of glucose response curve shape during the oral glucose tolerance test (OGTT) for macrovascular complications in patients with type 2 diabetes mellitus (T2DM).</p><p><strong>Research design and methods: </strong>A retrospective observational analysis was conducted involving 75 subjects with normal glucose tolerance (NGT) and 496 patients with T2DM, all of whom underwent a 3-hour OGTT, along with insulin and C-peptide release tests. Multivariate linear regression models assessed the cross-sectional associations between glucose response curve shapes and common carotid artery (CCA) diameter and intima-media thickness (IMT) in T2DM patients. Risk factors for carotid atherosclerosis analyzed using multivariate logistic regression.</p><p><strong>Results: </strong>Among patients with type 2 diabetes who underwent OGTT, the group with monophasic curves (n = 282) showed higher blood glucose levels, increased insulin resistance, and poorer pancreatic β-cell function compared to the multiphasic curve group (n = 214). Larger CCA diameters were independently associated with monophasic curves compared to multiphasic curves (regression coefficient: 0.134 [0.016, 0.252], P = 0.026). Increased IMT was independently associated with monophasic curves compared to multiphase curves (regression coefficient: 0.038 [0.001, 0.075], P = 0.045). Independent risk factors for carotid atherosclerosis in T2DM patients included monophasic curve (odds ratio [OR] 2.014, 95% confidence interval [CI] 1.300-3.121, P = 0.002), age (OR 1.040, 95% CI 1.020-1.059, P < 0.001), male sex (OR 2.107, 95% CI 1.364-3.256, P = 0.001), and duration of diabetes (OR 1.043, 95% CI 1.009-1.078, P = 0.012).</p><p><strong>Conclusion: </strong>The shape of the glucose response curve during OGTT was significantly linked to the risk of macrovascular complications in T2DM patients. Those with monophasic glucose curves were at an elevated risk of developing such complications.</p>\",\"PeriodicalId\":11106,\"journal\":{\"name\":\"Diabetology & Metabolic Syndrome\",\"volume\":\"17 1\",\"pages\":\"294\"},\"PeriodicalIF\":3.9000,\"publicationDate\":\"2025-07-28\",\"publicationTypes\":\"Journal Article\",\"fieldsOfStudy\":null,\"isOpenAccess\":false,\"openAccessPdf\":\"https://www.ncbi.nlm.nih.gov/pmc/articles/PMC12302459/pdf/\",\"citationCount\":\"0\",\"resultStr\":null,\"platform\":\"Semanticscholar\",\"paperid\":null,\"PeriodicalName\":\"Diabetology & Metabolic Syndrome\",\"FirstCategoryId\":\"3\",\"ListUrlMain\":\"https://doi.org/10.1186/s13098-025-01867-6\",\"RegionNum\":3,\"RegionCategory\":\"医学\",\"ArticlePicture\":[],\"TitleCN\":null,\"AbstractTextCN\":null,\"PMCID\":null,\"EPubDate\":\"\",\"PubModel\":\"\",\"JCR\":\"Q2\",\"JCRName\":\"ENDOCRINOLOGY & METABOLISM\",\"Score\":null,\"Total\":0}","platform":"Semanticscholar","paperid":null,"PeriodicalName":"Diabetology & Metabolic Syndrome","FirstCategoryId":"3","ListUrlMain":"https://doi.org/10.1186/s13098-025-01867-6","RegionNum":3,"RegionCategory":"医学","ArticlePicture":[],"TitleCN":null,"AbstractTextCN":null,"PMCID":null,"EPubDate":"","PubModel":"","JCR":"Q2","JCRName":"ENDOCRINOLOGY & METABOLISM","Score":null,"Total":0}
引用次数: 0

摘要

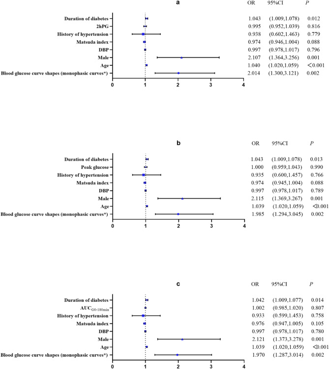
前言:本研究评价口服糖耐量试验(OGTT)中葡萄糖反应曲线形状对2型糖尿病(T2DM)患者大血管并发症的预测价值。研究设计和方法:对75名正常糖耐量(NGT)受试者和496名T2DM患者进行回顾性观察分析,所有患者均接受3小时OGTT,并进行胰岛素和c肽释放试验。多元线性回归模型评估T2DM患者葡萄糖反应曲线形状与颈总动脉(CCA)直径和内膜-中膜厚度(IMT)之间的横断面相关性。应用多因素logistic回归分析颈动脉粥样硬化的危险因素。结果:在接受OGTT治疗的2型糖尿病患者中,与多相曲线组(n = 214)相比,单相曲线组(n = 282)血糖水平较高,胰岛素抵抗增加,胰腺β细胞功能较差。与多相曲线相比,较大的CCA直径与单相曲线独立相关(回归系数:0.134 [0.016,0.252],P = 0.026)。与多相曲线相比,IMT升高与单相曲线独立相关(回归系数:0.038 [0.001,0.075],P = 0.045)。T2DM患者颈动脉粥样硬化的独立危险因素包括单相曲线(优势比[OR] 2.014, 95%可信区间[CI] 1.300 ~ 3.121, P = 0.002)、年龄(OR 1.040, 95% CI 1.020 ~ 1.059, P)。结论:OGTT期间葡萄糖反应曲线的形状与T2DM患者大血管并发症的发生风险显著相关。具有单相血糖曲线的患者发生此类并发症的风险较高。
本文章由计算机程序翻译,如有差异,请以英文原文为准。

Relationship between glucose response curve shape during the oral glucose tolerance test and macrovascular complications in type 2 diabetes mellitus.

Relationship between glucose response curve shape during the oral glucose tolerance test and macrovascular complications in type 2 diabetes mellitus.

Relationship between glucose response curve shape during the oral glucose tolerance test and macrovascular complications in type 2 diabetes mellitus.

Introduction: This study evaluated the predictive value of glucose response curve shape during the oral glucose tolerance test (OGTT) for macrovascular complications in patients with type 2 diabetes mellitus (T2DM).

Research design and methods: A retrospective observational analysis was conducted involving 75 subjects with normal glucose tolerance (NGT) and 496 patients with T2DM, all of whom underwent a 3-hour OGTT, along with insulin and C-peptide release tests. Multivariate linear regression models assessed the cross-sectional associations between glucose response curve shapes and common carotid artery (CCA) diameter and intima-media thickness (IMT) in T2DM patients. Risk factors for carotid atherosclerosis analyzed using multivariate logistic regression.

Results: Among patients with type 2 diabetes who underwent OGTT, the group with monophasic curves (n = 282) showed higher blood glucose levels, increased insulin resistance, and poorer pancreatic β-cell function compared to the multiphasic curve group (n = 214). Larger CCA diameters were independently associated with monophasic curves compared to multiphasic curves (regression coefficient: 0.134 [0.016, 0.252], P = 0.026). Increased IMT was independently associated with monophasic curves compared to multiphase curves (regression coefficient: 0.038 [0.001, 0.075], P = 0.045). Independent risk factors for carotid atherosclerosis in T2DM patients included monophasic curve (odds ratio [OR] 2.014, 95% confidence interval [CI] 1.300-3.121, P = 0.002), age (OR 1.040, 95% CI 1.020-1.059, P < 0.001), male sex (OR 2.107, 95% CI 1.364-3.256, P = 0.001), and duration of diabetes (OR 1.043, 95% CI 1.009-1.078, P = 0.012).

Conclusion: The shape of the glucose response curve during OGTT was significantly linked to the risk of macrovascular complications in T2DM patients. Those with monophasic glucose curves were at an elevated risk of developing such complications.

求助全文
通过发布文献求助,成功后即可免费获取论文全文。 去求助
来源期刊
Diabetology & Metabolic Syndrome
Diabetology & Metabolic Syndrome ENDOCRINOLOGY & METABOLISM-
CiteScore
6.20
自引率
0.00%
发文量
170
审稿时长
7.5 months
期刊介绍: Diabetology & Metabolic Syndrome publishes articles on all aspects of the pathophysiology of diabetes and metabolic syndrome. By publishing original material exploring any area of laboratory, animal or clinical research into diabetes and metabolic syndrome, the journal offers a high-visibility forum for new insights and discussions into the issues of importance to the relevant community.
×
引用
GB/T 7714-2015
复制
MLA
复制
APA
复制
导出至
BibTeX EndNote RefMan NoteFirst NoteExpress
×
提示
您的信息不完整,为了账户安全,请先补充。
现在去补充
×
提示
您因"违规操作"
具体请查看互助需知
我知道了
×
提示
确定
请完成安全验证×
copy
已复制链接
快去分享给好友吧!
我知道了
右上角分享
点击右上角分享
0
联系我们:info@booksci.cn Book学术提供免费学术资源搜索服务,方便国内外学者检索中英文文献。致力于提供最便捷和优质的服务体验。 Copyright © 2023 布克学术 All rights reserved.
京ICP备2023020795号-1
ghs 京公网安备 11010802042870号
Book学术文献互助
Book学术文献互助群
群 号:604180095
Book学术官方微信