甲虫身上的被动碎片斗篷提供了对抗掠食性蚂蚁的非视觉伪装。

IF 2.2 3区 环境科学与生态学 Q2 BEHAVIORAL SCIENCES
Behavioral Ecology Pub Date : 2025-07-28 eCollection Date: 2025-07-01 DOI:10.1093/beheco/araf064
K Greig, T R Buckley, R A B Leschen, G I Holwell
{"title":"甲虫身上的被动碎片斗篷提供了对抗掠食性蚂蚁的非视觉伪装。","authors":"K Greig, T R Buckley, R A B Leschen, G I Holwell","doi":"10.1093/beheco/araf064","DOIUrl":null,"url":null,"abstract":"<p><p>Our understanding of visual camouflage has increased dramatically in recent years, however we know less about anti-predator defenses that exploit senses other than vision. Low light habitats, such as leaf litter, are more commonly dominated by predators that rely on chemical, tactile, and other nonvisual cues. Passive debris cloaking is a trait found in several arthropod groups that reside in low light habitats and appears as a layer of environmental debris that covers the cuticle. This debris accumulates passively as the organism moves through its habitat, generally via the secretion of adhesive compounds through specialized pores. We hypothesized that passive debris cloaking is a form of non-visual camouflage, and tested this experimentally using zopherid beetles as a model. Zopherid beetles are highly diverse in Aotearoa New Zealand and include many species that exhibit passive debris cloaking. By exposing zopherids with varying degrees of cuticular debris to colonies of foraging predatory ants, we found that passive debris cloaking (1) reduces detection by ants, (2) reduces the probability of attack if detected, and (3) is most effective when interactions occur on natural backgrounds. Our results provide evidence that passive debris cloaking is a highly effective form of non-visual camouflage, suggesting non-visual camouflage may be more prevalent in low light habitats than currently appreciated.</p>","PeriodicalId":8840,"journal":{"name":"Behavioral Ecology","volume":"36 4","pages":"araf064"},"PeriodicalIF":2.2000,"publicationDate":"2025-07-28","publicationTypes":"Journal Article","fieldsOfStudy":null,"isOpenAccess":false,"openAccessPdf":"https://www.ncbi.nlm.nih.gov/pmc/articles/PMC12302502/pdf/","citationCount":"0","resultStr":"{\"title\":\"Passive debris cloaking in beetles provides non-visual camouflage against predatory ants.\",\"authors\":\"K Greig, T R Buckley, R A B Leschen, G I Holwell\",\"doi\":\"10.1093/beheco/araf064\",\"DOIUrl\":null,\"url\":null,\"abstract\":\"<p><p>Our understanding of visual camouflage has increased dramatically in recent years, however we know less about anti-predator defenses that exploit senses other than vision. Low light habitats, such as leaf litter, are more commonly dominated by predators that rely on chemical, tactile, and other nonvisual cues. Passive debris cloaking is a trait found in several arthropod groups that reside in low light habitats and appears as a layer of environmental debris that covers the cuticle. This debris accumulates passively as the organism moves through its habitat, generally via the secretion of adhesive compounds through specialized pores. We hypothesized that passive debris cloaking is a form of non-visual camouflage, and tested this experimentally using zopherid beetles as a model. Zopherid beetles are highly diverse in Aotearoa New Zealand and include many species that exhibit passive debris cloaking. By exposing zopherids with varying degrees of cuticular debris to colonies of foraging predatory ants, we found that passive debris cloaking (1) reduces detection by ants, (2) reduces the probability of attack if detected, and (3) is most effective when interactions occur on natural backgrounds. Our results provide evidence that passive debris cloaking is a highly effective form of non-visual camouflage, suggesting non-visual camouflage may be more prevalent in low light habitats than currently appreciated.</p>\",\"PeriodicalId\":8840,\"journal\":{\"name\":\"Behavioral Ecology\",\"volume\":\"36 4\",\"pages\":\"araf064\"},\"PeriodicalIF\":2.2000,\"publicationDate\":\"2025-07-28\",\"publicationTypes\":\"Journal Article\",\"fieldsOfStudy\":null,\"isOpenAccess\":false,\"openAccessPdf\":\"https://www.ncbi.nlm.nih.gov/pmc/articles/PMC12302502/pdf/\",\"citationCount\":\"0\",\"resultStr\":null,\"platform\":\"Semanticscholar\",\"paperid\":null,\"PeriodicalName\":\"Behavioral Ecology\",\"FirstCategoryId\":\"93\",\"ListUrlMain\":\"https://doi.org/10.1093/beheco/araf064\",\"RegionNum\":3,\"RegionCategory\":\"环境科学与生态学\",\"ArticlePicture\":[],\"TitleCN\":null,\"AbstractTextCN\":null,\"PMCID\":null,\"EPubDate\":\"2025/7/1 0:00:00\",\"PubModel\":\"eCollection\",\"JCR\":\"Q2\",\"JCRName\":\"BEHAVIORAL SCIENCES\",\"Score\":null,\"Total\":0}","platform":"Semanticscholar","paperid":null,"PeriodicalName":"Behavioral Ecology","FirstCategoryId":"93","ListUrlMain":"https://doi.org/10.1093/beheco/araf064","RegionNum":3,"RegionCategory":"环境科学与生态学","ArticlePicture":[],"TitleCN":null,"AbstractTextCN":null,"PMCID":null,"EPubDate":"2025/7/1 0:00:00","PubModel":"eCollection","JCR":"Q2","JCRName":"BEHAVIORAL SCIENCES","Score":null,"Total":0}
引用次数: 0

摘要

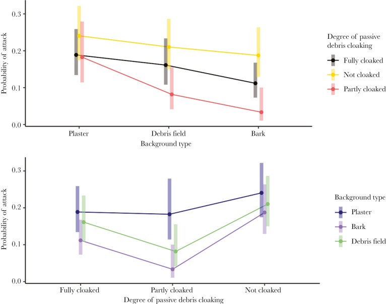
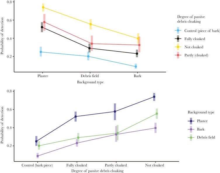
近年来,我们对视觉伪装的理解急剧增加,然而,我们对利用视觉以外的感官来抵御捕食者的防御知之甚少。低光的栖息地,如落叶层,通常由捕食者主导,依靠化学、触觉和其他非视觉线索。被动碎片隐形是在一些生活在低光栖息地的节肢动物群体中发现的一种特征,它表现为一层覆盖角质层的环境碎片。当生物体在其栖息地移动时,这些碎片被动地积累,通常是通过专门的毛孔分泌粘附化合物。我们假设被动碎片伪装是一种非视觉伪装,并以食虫甲虫为模型进行了实验测试。在新西兰的奥特罗阿,虫甲虫种类繁多,其中包括许多表现出被动碎片隐身的物种。通过将具有不同程度表皮碎片的食虫暴露于觅食的掠食性蚂蚁群体中,我们发现被动的碎片遮蔽(1)减少了蚂蚁的发现,(2)减少了被发现的攻击概率,(3)在自然背景下发生相互作用时最有效。我们的研究结果提供了证据,表明被动碎片隐身是一种非常有效的非视觉伪装形式,这表明非视觉伪装在低光栖息地可能比目前所认识的更为普遍。
本文章由计算机程序翻译,如有差异,请以英文原文为准。

Passive debris cloaking in beetles provides non-visual camouflage against predatory ants.

Passive debris cloaking in beetles provides non-visual camouflage against predatory ants.

Passive debris cloaking in beetles provides non-visual camouflage against predatory ants.

Passive debris cloaking in beetles provides non-visual camouflage against predatory ants.

Our understanding of visual camouflage has increased dramatically in recent years, however we know less about anti-predator defenses that exploit senses other than vision. Low light habitats, such as leaf litter, are more commonly dominated by predators that rely on chemical, tactile, and other nonvisual cues. Passive debris cloaking is a trait found in several arthropod groups that reside in low light habitats and appears as a layer of environmental debris that covers the cuticle. This debris accumulates passively as the organism moves through its habitat, generally via the secretion of adhesive compounds through specialized pores. We hypothesized that passive debris cloaking is a form of non-visual camouflage, and tested this experimentally using zopherid beetles as a model. Zopherid beetles are highly diverse in Aotearoa New Zealand and include many species that exhibit passive debris cloaking. By exposing zopherids with varying degrees of cuticular debris to colonies of foraging predatory ants, we found that passive debris cloaking (1) reduces detection by ants, (2) reduces the probability of attack if detected, and (3) is most effective when interactions occur on natural backgrounds. Our results provide evidence that passive debris cloaking is a highly effective form of non-visual camouflage, suggesting non-visual camouflage may be more prevalent in low light habitats than currently appreciated.

求助全文
通过发布文献求助,成功后即可免费获取论文全文。 去求助
来源期刊
Behavioral Ecology
Behavioral Ecology 环境科学-动物学
CiteScore
5.20
自引率
8.30%
发文量
93
审稿时长
3.0 months
期刊介绍: Studies on the whole range of behaving organisms, including plants, invertebrates, vertebrates, and humans, are included. Behavioral Ecology construes the field in its broadest sense to include 1) the use of ecological and evolutionary processes to explain the occurrence and adaptive significance of behavior patterns; 2) the use of behavioral processes to predict ecological patterns, and 3) empirical, comparative analyses relating behavior to the environment in which it occurs.
×
引用
GB/T 7714-2015
复制
MLA
复制
APA
复制
导出至
BibTeX EndNote RefMan NoteFirst NoteExpress
×
提示
您的信息不完整,为了账户安全,请先补充。
现在去补充
×
提示
您因"违规操作"
具体请查看互助需知
我知道了
×
提示
确定
请完成安全验证×
copy
已复制链接
快去分享给好友吧!
我知道了
右上角分享
点击右上角分享
0
联系我们:info@booksci.cn Book学术提供免费学术资源搜索服务,方便国内外学者检索中英文文献。致力于提供最便捷和优质的服务体验。 Copyright © 2023 布克学术 All rights reserved.
京ICP备2023020795号-1
ghs 京公网安备 11010802042870号
Book学术文献互助
Book学术文献互助群
群 号:604180095
Book学术官方微信