急诊科入住对ICU住院时间和住院死亡率的影响回顾性队列研究。

IF 2 Q1 EMERGENCY MEDICINE
Archives of Academic Emergency Medicine Pub Date : 2025-06-02 eCollection Date: 2025-01-01 DOI:10.22037/aaemj.v13i1.2604
Mohamed M Khamis, Moustafa Al Hariri, Nour Al Jalbout, Malak Khalifeh, Bachar Hamade
{"title":"急诊科入住对ICU住院时间和住院死亡率的影响回顾性队列研究。","authors":"Mohamed M Khamis, Moustafa Al Hariri, Nour Al Jalbout, Malak Khalifeh, Bachar Hamade","doi":"10.22037/aaemj.v13i1.2604","DOIUrl":null,"url":null,"abstract":"<p><strong>Introduction: </strong>One of the main contributing factors of emergency department (ED) crowding is ED patient boarding. This study aimed to assess the factors influencing length of stay (LOS) in intensive care unit (ICU) and in-hospital mortality (IHM) among ICU-admitted ED boarded cases.</p><p><strong>Methods: </strong>A retrospective cohort study was conducted on adult patients at a tertiary care hospital in Lebanon who required ICU admission and stayed for 6+ hours in the ED during one year. The independent predictive factors of LOS in ICU and IHM were studied using multivariable logistic regression analysis.</p><p><strong>Results: </strong>Out of 583 patients (mean age 69.5 years; 61.6% male), 12.8% died in hospital. 25.5% had a prolonged ICU stay (≥7 days) with a median LOS of 3 days. Prolonged ICU LOS was associated with previous cancer diagnosis (adjusted odds ratio (aOR)=1.66), prehospital bedridden status (>5 days, aOR=4.41), ED vasopressor use (aOR=1.86), extended ED boarding (aOR=1.03), IHM (aOR=3.37), and not being married (aOR=2.0). IHM was associated with abnormal Modified Shock Index at ED triage (aOR=7.35), ED mechanical ventilation use (aOR=6.07), ED triage Shock Index ≥1.3 (aOR=18.25), and long ICU stay (aOR=7.48). ED-triage Saturation of Peripheral Oxygen (SPO<sub>2</sub>) level was negatively associated with IHM (aOR=0.89).</p><p><strong>Conclusion: </strong>It seems that, ED boarding of ICU patients is associated with an increase in ICU LOS, which is associated with an increase in IHM. Hospitals should allocate resources to reduce ED boarding and improve outcomes for critically ill patients.</p>","PeriodicalId":8146,"journal":{"name":"Archives of Academic Emergency Medicine","volume":"13 1","pages":"e54"},"PeriodicalIF":2.0000,"publicationDate":"2025-06-02","publicationTypes":"Journal Article","fieldsOfStudy":null,"isOpenAccess":false,"openAccessPdf":"https://www.ncbi.nlm.nih.gov/pmc/articles/PMC12303411/pdf/","citationCount":"0","resultStr":"{\"title\":\"Effect of Emergency Department Boarding on ICU Length of Stay and In-Hospital Mortality; A Retrospective Cohort Study.\",\"authors\":\"Mohamed M Khamis, Moustafa Al Hariri, Nour Al Jalbout, Malak Khalifeh, Bachar Hamade\",\"doi\":\"10.22037/aaemj.v13i1.2604\",\"DOIUrl\":null,\"url\":null,\"abstract\":\"<p><strong>Introduction: </strong>One of the main contributing factors of emergency department (ED) crowding is ED patient boarding. This study aimed to assess the factors influencing length of stay (LOS) in intensive care unit (ICU) and in-hospital mortality (IHM) among ICU-admitted ED boarded cases.</p><p><strong>Methods: </strong>A retrospective cohort study was conducted on adult patients at a tertiary care hospital in Lebanon who required ICU admission and stayed for 6+ hours in the ED during one year. The independent predictive factors of LOS in ICU and IHM were studied using multivariable logistic regression analysis.</p><p><strong>Results: </strong>Out of 583 patients (mean age 69.5 years; 61.6% male), 12.8% died in hospital. 25.5% had a prolonged ICU stay (≥7 days) with a median LOS of 3 days. Prolonged ICU LOS was associated with previous cancer diagnosis (adjusted odds ratio (aOR)=1.66), prehospital bedridden status (>5 days, aOR=4.41), ED vasopressor use (aOR=1.86), extended ED boarding (aOR=1.03), IHM (aOR=3.37), and not being married (aOR=2.0). IHM was associated with abnormal Modified Shock Index at ED triage (aOR=7.35), ED mechanical ventilation use (aOR=6.07), ED triage Shock Index ≥1.3 (aOR=18.25), and long ICU stay (aOR=7.48). ED-triage Saturation of Peripheral Oxygen (SPO<sub>2</sub>) level was negatively associated with IHM (aOR=0.89).</p><p><strong>Conclusion: </strong>It seems that, ED boarding of ICU patients is associated with an increase in ICU LOS, which is associated with an increase in IHM. Hospitals should allocate resources to reduce ED boarding and improve outcomes for critically ill patients.</p>\",\"PeriodicalId\":8146,\"journal\":{\"name\":\"Archives of Academic Emergency Medicine\",\"volume\":\"13 1\",\"pages\":\"e54\"},\"PeriodicalIF\":2.0000,\"publicationDate\":\"2025-06-02\",\"publicationTypes\":\"Journal Article\",\"fieldsOfStudy\":null,\"isOpenAccess\":false,\"openAccessPdf\":\"https://www.ncbi.nlm.nih.gov/pmc/articles/PMC12303411/pdf/\",\"citationCount\":\"0\",\"resultStr\":null,\"platform\":\"Semanticscholar\",\"paperid\":null,\"PeriodicalName\":\"Archives of Academic Emergency Medicine\",\"FirstCategoryId\":\"1085\",\"ListUrlMain\":\"https://doi.org/10.22037/aaemj.v13i1.2604\",\"RegionNum\":0,\"RegionCategory\":null,\"ArticlePicture\":[],\"TitleCN\":null,\"AbstractTextCN\":null,\"PMCID\":null,\"EPubDate\":\"2025/1/1 0:00:00\",\"PubModel\":\"eCollection\",\"JCR\":\"Q1\",\"JCRName\":\"EMERGENCY MEDICINE\",\"Score\":null,\"Total\":0}","platform":"Semanticscholar","paperid":null,"PeriodicalName":"Archives of Academic Emergency Medicine","FirstCategoryId":"1085","ListUrlMain":"https://doi.org/10.22037/aaemj.v13i1.2604","RegionNum":0,"RegionCategory":null,"ArticlePicture":[],"TitleCN":null,"AbstractTextCN":null,"PMCID":null,"EPubDate":"2025/1/1 0:00:00","PubModel":"eCollection","JCR":"Q1","JCRName":"EMERGENCY MEDICINE","Score":null,"Total":0}
引用次数: 0

摘要

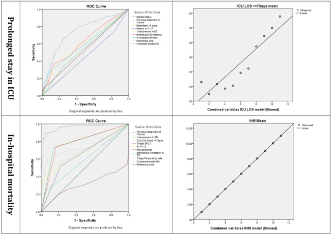
导读:急诊科拥挤的主要原因之一是急诊科患者的登机。本研究旨在评估重症监护病房(ICU)住院时间(LOS)和住院死亡率(IHM)的影响因素。方法:回顾性队列研究对黎巴嫩一家三级医院的成人患者进行了一项回顾性队列研究,这些患者需要ICU住院,在ED住院1年6小时以上。采用多变量logistic回归分析对ICU和IHM中LOS的独立预测因素进行分析。结果:583例患者(平均年龄69.5岁;61.6%男性),12.8%死于医院。25.5%患者ICU住院时间延长(≥7天),平均生存时间为3天。延长ICU LOS与既往癌症诊断(调整优势比(aOR)=1.66)、院前卧床状态(aOR= 4.41)、ED降压药使用(aOR=1.86)、ED入住时间延长(aOR=1.03)、IHM (aOR=3.37)、未婚(aOR=2.0)相关。IHM与ED分诊时改良休克指数异常(aOR=7.35)、ED机械通气使用异常(aOR=6.07)、ED分诊时休克指数≥1.3 (aOR=18.25)、ICU住院时间长(aOR=7.48)相关。ED-triage外周血氧饱和度(SPO2)水平与IHM呈负相关(aOR=0.89)。结论:ICU患者ED登机与ICU LOS增加有关,而LOS增加与IHM增加有关。医院应该分配资源以减少急诊科的入住并改善危重病人的预后。
本文章由计算机程序翻译,如有差异,请以英文原文为准。

Effect of Emergency Department Boarding on ICU Length of Stay and In-Hospital Mortality; A Retrospective Cohort Study.

Effect of Emergency Department Boarding on ICU Length of Stay and In-Hospital Mortality; A Retrospective Cohort Study.

Effect of Emergency Department Boarding on ICU Length of Stay and In-Hospital Mortality; A Retrospective Cohort Study.

Introduction: One of the main contributing factors of emergency department (ED) crowding is ED patient boarding. This study aimed to assess the factors influencing length of stay (LOS) in intensive care unit (ICU) and in-hospital mortality (IHM) among ICU-admitted ED boarded cases.

Methods: A retrospective cohort study was conducted on adult patients at a tertiary care hospital in Lebanon who required ICU admission and stayed for 6+ hours in the ED during one year. The independent predictive factors of LOS in ICU and IHM were studied using multivariable logistic regression analysis.

Results: Out of 583 patients (mean age 69.5 years; 61.6% male), 12.8% died in hospital. 25.5% had a prolonged ICU stay (≥7 days) with a median LOS of 3 days. Prolonged ICU LOS was associated with previous cancer diagnosis (adjusted odds ratio (aOR)=1.66), prehospital bedridden status (>5 days, aOR=4.41), ED vasopressor use (aOR=1.86), extended ED boarding (aOR=1.03), IHM (aOR=3.37), and not being married (aOR=2.0). IHM was associated with abnormal Modified Shock Index at ED triage (aOR=7.35), ED mechanical ventilation use (aOR=6.07), ED triage Shock Index ≥1.3 (aOR=18.25), and long ICU stay (aOR=7.48). ED-triage Saturation of Peripheral Oxygen (SPO2) level was negatively associated with IHM (aOR=0.89).

Conclusion: It seems that, ED boarding of ICU patients is associated with an increase in ICU LOS, which is associated with an increase in IHM. Hospitals should allocate resources to reduce ED boarding and improve outcomes for critically ill patients.

求助全文
通过发布文献求助,成功后即可免费获取论文全文。 去求助
来源期刊
Archives of Academic Emergency Medicine
Archives of Academic Emergency Medicine Medicine-Emergency Medicine
CiteScore
8.90
自引率
7.40%
发文量
0
审稿时长
6 weeks
×
引用
GB/T 7714-2015
复制
MLA
复制
APA
复制
导出至
BibTeX EndNote RefMan NoteFirst NoteExpress
×
提示
您的信息不完整,为了账户安全,请先补充。
现在去补充
×
提示
您因"违规操作"
具体请查看互助需知
我知道了
×
提示
确定
请完成安全验证×
copy
已复制链接
快去分享给好友吧!
我知道了
右上角分享
点击右上角分享
0
联系我们:info@booksci.cn Book学术提供免费学术资源搜索服务,方便国内外学者检索中英文文献。致力于提供最便捷和优质的服务体验。 Copyright © 2023 布克学术 All rights reserved.
京ICP备2023020795号-1
ghs 京公网安备 11010802042870号
Book学术文献互助
Book学术文献互助群
群 号:604180095
Book学术官方微信