类固醇在abo血型不相容肾移植中的应用:停药vs维持。

IF 1.4 4区 医学 Q3 SURGERY
Dong Hui Shin, Ji Teak Kim, Sung Hwa Kim, Keunryeol Park, Deok Gie Kim, Jun Young Lee
{"title":"类固醇在abo血型不相容肾移植中的应用:停药vs维持。","authors":"Dong Hui Shin, Ji Teak Kim, Sung Hwa Kim, Keunryeol Park, Deok Gie Kim, Jun Young Lee","doi":"10.12659/AOT.947747","DOIUrl":null,"url":null,"abstract":"<p><p>BACKGROUND The incidence of ABO-incompatible (ABO-i) kidney transplantation (KT) is increasing. Furthermore, it has a higher early mortality rate than ABO-compatible (ABO-c) KT, which is largely attributed to the extensive use of immunosuppressive agents. While steroid use in patients with ABO-c KT is being reduced, this effort is less prevalent in patients with ABO-i KT. Therefore, our study investigated the specific impact of steroid withdrawal on graft survival in patients with ABO-i KT. MATERIAL AND METHODS This study evaluated 33 patients who underwent ABO-i KT. The primary outcome was biopsy-proven acute rejection. The secondary outcomes were graft function, infection, new-onset diabetes mellitus after transplantation (NODAT), and delayed graft function. RESULTS In an average follow-up period of 57.0±23.7 months, the cumulative probabilities of biopsy-proven rejection at 3 years post-transplantation were 30.8% in the steroid maintenance group and 40.0% in the steroid withdrawal group, with no significant difference (hazard ratio, 1.11; 95% confidence interval 0.32-3.9; P=0.648). Graft function was similar between the 2 groups. Steroid withdrawal did not affect the rates of infection, NODAT, osteoporosis, cardiovascular disease, BK virus viremia, or cytomegalovirus viremia. CONCLUSIONS Steroid withdrawal did not differ from steroid maintenance in the rate of rejection or graft function due to any cause.</p>","PeriodicalId":7935,"journal":{"name":"Annals of Transplantation","volume":"30 ","pages":"e947747"},"PeriodicalIF":1.4000,"publicationDate":"2025-07-29","publicationTypes":"Journal Article","fieldsOfStudy":null,"isOpenAccess":false,"openAccessPdf":"https://www.ncbi.nlm.nih.gov/pmc/articles/PMC12317659/pdf/","citationCount":"0","resultStr":"{\"title\":\"Steroid Use in ABO-Incompatible Kidney Transplants: Withdrawal vs Maintenance.\",\"authors\":\"Dong Hui Shin, Ji Teak Kim, Sung Hwa Kim, Keunryeol Park, Deok Gie Kim, Jun Young Lee\",\"doi\":\"10.12659/AOT.947747\",\"DOIUrl\":null,\"url\":null,\"abstract\":\"<p><p>BACKGROUND The incidence of ABO-incompatible (ABO-i) kidney transplantation (KT) is increasing. Furthermore, it has a higher early mortality rate than ABO-compatible (ABO-c) KT, which is largely attributed to the extensive use of immunosuppressive agents. While steroid use in patients with ABO-c KT is being reduced, this effort is less prevalent in patients with ABO-i KT. Therefore, our study investigated the specific impact of steroid withdrawal on graft survival in patients with ABO-i KT. MATERIAL AND METHODS This study evaluated 33 patients who underwent ABO-i KT. The primary outcome was biopsy-proven acute rejection. The secondary outcomes were graft function, infection, new-onset diabetes mellitus after transplantation (NODAT), and delayed graft function. RESULTS In an average follow-up period of 57.0±23.7 months, the cumulative probabilities of biopsy-proven rejection at 3 years post-transplantation were 30.8% in the steroid maintenance group and 40.0% in the steroid withdrawal group, with no significant difference (hazard ratio, 1.11; 95% confidence interval 0.32-3.9; P=0.648). Graft function was similar between the 2 groups. Steroid withdrawal did not affect the rates of infection, NODAT, osteoporosis, cardiovascular disease, BK virus viremia, or cytomegalovirus viremia. CONCLUSIONS Steroid withdrawal did not differ from steroid maintenance in the rate of rejection or graft function due to any cause.</p>\",\"PeriodicalId\":7935,\"journal\":{\"name\":\"Annals of Transplantation\",\"volume\":\"30 \",\"pages\":\"e947747\"},\"PeriodicalIF\":1.4000,\"publicationDate\":\"2025-07-29\",\"publicationTypes\":\"Journal Article\",\"fieldsOfStudy\":null,\"isOpenAccess\":false,\"openAccessPdf\":\"https://www.ncbi.nlm.nih.gov/pmc/articles/PMC12317659/pdf/\",\"citationCount\":\"0\",\"resultStr\":null,\"platform\":\"Semanticscholar\",\"paperid\":null,\"PeriodicalName\":\"Annals of Transplantation\",\"FirstCategoryId\":\"3\",\"ListUrlMain\":\"https://doi.org/10.12659/AOT.947747\",\"RegionNum\":4,\"RegionCategory\":\"医学\",\"ArticlePicture\":[],\"TitleCN\":null,\"AbstractTextCN\":null,\"PMCID\":null,\"EPubDate\":\"\",\"PubModel\":\"\",\"JCR\":\"Q3\",\"JCRName\":\"SURGERY\",\"Score\":null,\"Total\":0}","platform":"Semanticscholar","paperid":null,"PeriodicalName":"Annals of Transplantation","FirstCategoryId":"3","ListUrlMain":"https://doi.org/10.12659/AOT.947747","RegionNum":4,"RegionCategory":"医学","ArticlePicture":[],"TitleCN":null,"AbstractTextCN":null,"PMCID":null,"EPubDate":"","PubModel":"","JCR":"Q3","JCRName":"SURGERY","Score":null,"Total":0}
引用次数: 0

摘要

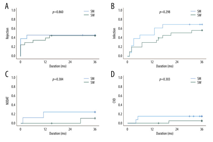
abo血型不相容(ABO-i)肾移植(KT)的发生率正在上升。此外,它的早期死亡率高于abo相容(ABO-c) KT,这在很大程度上归因于免疫抑制剂的广泛使用。虽然ABO-c型KT患者的类固醇使用正在减少,但这种努力在abo - 1型KT患者中不那么普遍。因此,我们的研究调查了类固醇停药对abo - 1型KT患者移植物存活的具体影响。材料和方法本研究评估了33例接受ABO-i KT治疗的患者。主要结果是活检证实急性排斥反应。次要结局是移植物功能、感染、移植后新发糖尿病(NODAT)和移植物功能延迟。结果平均随访57.0±23.7个月,在移植后3年,类固醇维持组活检证实排斥反应的累积概率为30.8%,类固醇停药组为40.0%,差异无统计学意义(风险比为1.11;95%置信区间0.32-3.9;P = 0.648)。两组间移植物功能相似。类固醇停药不影响感染、NODAT、骨质疏松、心血管疾病、BK病毒血症或巨细胞病毒血症的发生率。结论:由于任何原因,类固醇停药与类固醇维持在排异率或移植物功能方面没有差异。
本文章由计算机程序翻译,如有差异,请以英文原文为准。

Steroid Use in ABO-Incompatible Kidney Transplants: Withdrawal vs Maintenance.

Steroid Use in ABO-Incompatible Kidney Transplants: Withdrawal vs Maintenance.

Steroid Use in ABO-Incompatible Kidney Transplants: Withdrawal vs Maintenance.

Steroid Use in ABO-Incompatible Kidney Transplants: Withdrawal vs Maintenance.

BACKGROUND The incidence of ABO-incompatible (ABO-i) kidney transplantation (KT) is increasing. Furthermore, it has a higher early mortality rate than ABO-compatible (ABO-c) KT, which is largely attributed to the extensive use of immunosuppressive agents. While steroid use in patients with ABO-c KT is being reduced, this effort is less prevalent in patients with ABO-i KT. Therefore, our study investigated the specific impact of steroid withdrawal on graft survival in patients with ABO-i KT. MATERIAL AND METHODS This study evaluated 33 patients who underwent ABO-i KT. The primary outcome was biopsy-proven acute rejection. The secondary outcomes were graft function, infection, new-onset diabetes mellitus after transplantation (NODAT), and delayed graft function. RESULTS In an average follow-up period of 57.0±23.7 months, the cumulative probabilities of biopsy-proven rejection at 3 years post-transplantation were 30.8% in the steroid maintenance group and 40.0% in the steroid withdrawal group, with no significant difference (hazard ratio, 1.11; 95% confidence interval 0.32-3.9; P=0.648). Graft function was similar between the 2 groups. Steroid withdrawal did not affect the rates of infection, NODAT, osteoporosis, cardiovascular disease, BK virus viremia, or cytomegalovirus viremia. CONCLUSIONS Steroid withdrawal did not differ from steroid maintenance in the rate of rejection or graft function due to any cause.

求助全文
通过发布文献求助,成功后即可免费获取论文全文。 去求助
来源期刊
CiteScore
2.50
自引率
0.00%
发文量
79
审稿时长
>12 weeks
期刊介绍: Annals of Transplantation is one of the fast-developing journals open to all scientists and fields of transplant medicine and related research. The journal is published quarterly and provides extensive coverage of the most important advances in transplantation. Using an electronic on-line submission and peer review tracking system, Annals of Transplantation is committed to rapid review and publication. The average time to first decision is around 3-4 weeks. Time to publication of accepted manuscripts continues to be shortened, with the Editorial team committed to a goal of 3 months from acceptance to publication. Expert reseachers and clinicians from around the world contribute original Articles, Review Papers, Case Reports and Special Reports in every pertinent specialty, providing a lot of arguments for discussion of exciting developments and controversies in the field.
×
引用
GB/T 7714-2015
复制
MLA
复制
APA
复制
导出至
BibTeX EndNote RefMan NoteFirst NoteExpress
×
提示
您的信息不完整,为了账户安全,请先补充。
现在去补充
×
提示
您因"违规操作"
具体请查看互助需知
我知道了
×
提示
确定
请完成安全验证×
copy
已复制链接
快去分享给好友吧!
我知道了
右上角分享
点击右上角分享
0
联系我们:info@booksci.cn Book学术提供免费学术资源搜索服务,方便国内外学者检索中英文文献。致力于提供最便捷和优质的服务体验。 Copyright © 2023 布克学术 All rights reserved.
京ICP备2023020795号-1
ghs 京公网安备 11010802042870号
Book学术文献互助
Book学术文献互助群
群 号:604180095
Book学术官方微信