快慢动力学在固结颗粒材料非线性共振超声光谱中的作用。

IF 3.9 2区 综合性期刊 Q1 MULTIDISCIPLINARY SCIENCES
Jan Kober, Marco Scalerandi, Mauro Tortello, Timothy J Ulrich, Radovan Zeman
{"title":"快慢动力学在固结颗粒材料非线性共振超声光谱中的作用。","authors":"Jan Kober, Marco Scalerandi, Mauro Tortello, Timothy J Ulrich, Radovan Zeman","doi":"10.1038/s41598-025-11854-6","DOIUrl":null,"url":null,"abstract":"<p><p>Elastic nonlinearity observed in consolidated granular media can be attributed to the combination of slow and fast effects, which give rise to hysteresis and relaxation of both modulus and damping after the sample is perturbed. A consequence is a high level of complexity in the measurements of the sample linear and nonlinear elastic parameters. The results of experiments are dependent on the experimental protocol that is adopted to measure the relevant quantities and it is hard to quantify parameters with accuracy and repeatability. Here we focus on examining Nonlinear Resonant Ultrasound Spectroscopy, showing experimentally the role of slow dynamics in the process and quantifying/discussing its influence on the quantification of nonlinearity. We also propose a model to describe the process, which shows that different contributions to nonlinearity (e.g., classical and hysteretic) could be due to physical features (defects) relaxing with different relaxation times.</p>","PeriodicalId":21811,"journal":{"name":"Scientific Reports","volume":"15 1","pages":"27286"},"PeriodicalIF":3.9000,"publicationDate":"2025-07-26","publicationTypes":"Journal Article","fieldsOfStudy":null,"isOpenAccess":false,"openAccessPdf":"https://www.ncbi.nlm.nih.gov/pmc/articles/PMC12297323/pdf/","citationCount":"0","resultStr":"{\"title\":\"The role of fast and slow dynamics in nonlinear resonant ultrasound spectroscopy of consolidated granular materials.\",\"authors\":\"Jan Kober, Marco Scalerandi, Mauro Tortello, Timothy J Ulrich, Radovan Zeman\",\"doi\":\"10.1038/s41598-025-11854-6\",\"DOIUrl\":null,\"url\":null,\"abstract\":\"<p><p>Elastic nonlinearity observed in consolidated granular media can be attributed to the combination of slow and fast effects, which give rise to hysteresis and relaxation of both modulus and damping after the sample is perturbed. A consequence is a high level of complexity in the measurements of the sample linear and nonlinear elastic parameters. The results of experiments are dependent on the experimental protocol that is adopted to measure the relevant quantities and it is hard to quantify parameters with accuracy and repeatability. Here we focus on examining Nonlinear Resonant Ultrasound Spectroscopy, showing experimentally the role of slow dynamics in the process and quantifying/discussing its influence on the quantification of nonlinearity. We also propose a model to describe the process, which shows that different contributions to nonlinearity (e.g., classical and hysteretic) could be due to physical features (defects) relaxing with different relaxation times.</p>\",\"PeriodicalId\":21811,\"journal\":{\"name\":\"Scientific Reports\",\"volume\":\"15 1\",\"pages\":\"27286\"},\"PeriodicalIF\":3.9000,\"publicationDate\":\"2025-07-26\",\"publicationTypes\":\"Journal Article\",\"fieldsOfStudy\":null,\"isOpenAccess\":false,\"openAccessPdf\":\"https://www.ncbi.nlm.nih.gov/pmc/articles/PMC12297323/pdf/\",\"citationCount\":\"0\",\"resultStr\":null,\"platform\":\"Semanticscholar\",\"paperid\":null,\"PeriodicalName\":\"Scientific Reports\",\"FirstCategoryId\":\"103\",\"ListUrlMain\":\"https://doi.org/10.1038/s41598-025-11854-6\",\"RegionNum\":2,\"RegionCategory\":\"综合性期刊\",\"ArticlePicture\":[],\"TitleCN\":null,\"AbstractTextCN\":null,\"PMCID\":null,\"EPubDate\":\"\",\"PubModel\":\"\",\"JCR\":\"Q1\",\"JCRName\":\"MULTIDISCIPLINARY SCIENCES\",\"Score\":null,\"Total\":0}","platform":"Semanticscholar","paperid":null,"PeriodicalName":"Scientific Reports","FirstCategoryId":"103","ListUrlMain":"https://doi.org/10.1038/s41598-025-11854-6","RegionNum":2,"RegionCategory":"综合性期刊","ArticlePicture":[],"TitleCN":null,"AbstractTextCN":null,"PMCID":null,"EPubDate":"","PubModel":"","JCR":"Q1","JCRName":"MULTIDISCIPLINARY SCIENCES","Score":null,"Total":0}
引用次数: 0

摘要

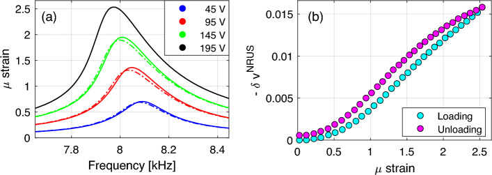
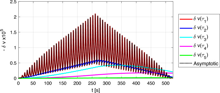
在固结颗粒介质中观察到的弹性非线性可以归结为慢速和快速效应的结合,它们在试样受到扰动后会引起模量和阻尼的滞后和松弛。结果是测量样品线性和非线性弹性参数的高度复杂性。实验结果依赖于测量相关量所采用的实验方案,难以准确、可重复地量化参数。本文重点研究了非线性超声共振光谱,从实验上展示了慢动力学在过程中的作用,并量化/讨论了慢动力学对非线性量化的影响。我们还提出了一个模型来描述这一过程,该模型表明,不同的非线性贡献(例如,经典和滞后)可能是由于物理特征(缺陷)随着不同的松弛时间而松弛。
本文章由计算机程序翻译,如有差异,请以英文原文为准。

The role of fast and slow dynamics in nonlinear resonant ultrasound spectroscopy of consolidated granular materials.

The role of fast and slow dynamics in nonlinear resonant ultrasound spectroscopy of consolidated granular materials.

The role of fast and slow dynamics in nonlinear resonant ultrasound spectroscopy of consolidated granular materials.

The role of fast and slow dynamics in nonlinear resonant ultrasound spectroscopy of consolidated granular materials.

Elastic nonlinearity observed in consolidated granular media can be attributed to the combination of slow and fast effects, which give rise to hysteresis and relaxation of both modulus and damping after the sample is perturbed. A consequence is a high level of complexity in the measurements of the sample linear and nonlinear elastic parameters. The results of experiments are dependent on the experimental protocol that is adopted to measure the relevant quantities and it is hard to quantify parameters with accuracy and repeatability. Here we focus on examining Nonlinear Resonant Ultrasound Spectroscopy, showing experimentally the role of slow dynamics in the process and quantifying/discussing its influence on the quantification of nonlinearity. We also propose a model to describe the process, which shows that different contributions to nonlinearity (e.g., classical and hysteretic) could be due to physical features (defects) relaxing with different relaxation times.

求助全文
通过发布文献求助,成功后即可免费获取论文全文。 去求助
来源期刊
Scientific Reports
Scientific Reports Natural Science Disciplines-
CiteScore
7.50
自引率
4.30%
发文量
19567
审稿时长
3.9 months
期刊介绍: We publish original research from all areas of the natural sciences, psychology, medicine and engineering. You can learn more about what we publish by browsing our specific scientific subject areas below or explore Scientific Reports by browsing all articles and collections. Scientific Reports has a 2-year impact factor: 4.380 (2021), and is the 6th most-cited journal in the world, with more than 540,000 citations in 2020 (Clarivate Analytics, 2021). •Engineering Engineering covers all aspects of engineering, technology, and applied science. It plays a crucial role in the development of technologies to address some of the world''s biggest challenges, helping to save lives and improve the way we live. •Physical sciences Physical sciences are those academic disciplines that aim to uncover the underlying laws of nature — often written in the language of mathematics. It is a collective term for areas of study including astronomy, chemistry, materials science and physics. •Earth and environmental sciences Earth and environmental sciences cover all aspects of Earth and planetary science and broadly encompass solid Earth processes, surface and atmospheric dynamics, Earth system history, climate and climate change, marine and freshwater systems, and ecology. It also considers the interactions between humans and these systems. •Biological sciences Biological sciences encompass all the divisions of natural sciences examining various aspects of vital processes. The concept includes anatomy, physiology, cell biology, biochemistry and biophysics, and covers all organisms from microorganisms, animals to plants. •Health sciences The health sciences study health, disease and healthcare. This field of study aims to develop knowledge, interventions and technology for use in healthcare to improve the treatment of patients.
×
引用
GB/T 7714-2015
复制
MLA
复制
APA
复制
导出至
BibTeX EndNote RefMan NoteFirst NoteExpress
×
提示
您的信息不完整,为了账户安全,请先补充。
现在去补充
×
提示
您因"违规操作"
具体请查看互助需知
我知道了
×
提示
确定
请完成安全验证×
copy
已复制链接
快去分享给好友吧!
我知道了
右上角分享
点击右上角分享
0
联系我们:info@booksci.cn Book学术提供免费学术资源搜索服务,方便国内外学者检索中英文文献。致力于提供最便捷和优质的服务体验。 Copyright © 2023 布克学术 All rights reserved.
京ICP备2023020795号-1
ghs 京公网安备 11010802042870号
Book学术文献互助
Book学术文献互助群
群 号:604180095
Book学术官方微信