四星系统中两个接触双星的磁活动。

IF 3.9 2区 综合性期刊 Q1 MULTIDISCIPLINARY SCIENCES
Yuangui Yang, Shuang Wang
{"title":"四星系统中两个接触双星的磁活动。","authors":"Yuangui Yang, Shuang Wang","doi":"10.1038/s41598-025-10772-x","DOIUrl":null,"url":null,"abstract":"<p><p>Based on observations from the Transiting Exoplanet Survey Satellite (TESS), we conducted a comprehensive study of two contact binaries, V752 Cen and HT Vir, in 2+2-type hierarchical quadruple stellar systems. TESS continuous light curves (LCs) reveal that [Formula: see text] exhibits random-walk-like or quasi-periodic variations, whereas [Formula: see text], shows small jumps. Using the Wilson-Devinney program, we obtained six sets of photometric solutions to trace the migration and evolution of a cool starspot on the stellar surface. Notably, such spot activity can significantly alter LCs and may even reverse minima depths, as observed around BJD[Formula: see text]2459282 for V752 Cen. From the TESS time-series LCs, we determined 529 eclipse timings (ETs). For HT Vir, the residuals of the primary and secondary minima show a strong anti-correlation, indicating the presence of starspots. Based on all available ETs, we constructed [Formula: see text] curves, which could be described by an upward parabola with the light-time effect (LiTE) induced by a third body. Given the third light of [Formula: see text] for HT Vir, we estimate the mass of the third body to be [Formula: see text]. For V752 Cen, the minimum mass of the third body is [Formula: see text], suggesting it may be a compact star. Finally, we updated the absolute parameters of the two studied binaries, whose components are normal or slightly evolved main-sequence stars.</p>","PeriodicalId":21811,"journal":{"name":"Scientific Reports","volume":"15 1","pages":"27202"},"PeriodicalIF":3.9000,"publicationDate":"2025-07-26","publicationTypes":"Journal Article","fieldsOfStudy":null,"isOpenAccess":false,"openAccessPdf":"https://www.ncbi.nlm.nih.gov/pmc/articles/PMC12297399/pdf/","citationCount":"0","resultStr":"{\"title\":\"Magnetic activities of two contact binaries in quadruple stellar systems.\",\"authors\":\"Yuangui Yang, Shuang Wang\",\"doi\":\"10.1038/s41598-025-10772-x\",\"DOIUrl\":null,\"url\":null,\"abstract\":\"<p><p>Based on observations from the Transiting Exoplanet Survey Satellite (TESS), we conducted a comprehensive study of two contact binaries, V752 Cen and HT Vir, in 2+2-type hierarchical quadruple stellar systems. TESS continuous light curves (LCs) reveal that [Formula: see text] exhibits random-walk-like or quasi-periodic variations, whereas [Formula: see text], shows small jumps. Using the Wilson-Devinney program, we obtained six sets of photometric solutions to trace the migration and evolution of a cool starspot on the stellar surface. Notably, such spot activity can significantly alter LCs and may even reverse minima depths, as observed around BJD[Formula: see text]2459282 for V752 Cen. From the TESS time-series LCs, we determined 529 eclipse timings (ETs). For HT Vir, the residuals of the primary and secondary minima show a strong anti-correlation, indicating the presence of starspots. Based on all available ETs, we constructed [Formula: see text] curves, which could be described by an upward parabola with the light-time effect (LiTE) induced by a third body. Given the third light of [Formula: see text] for HT Vir, we estimate the mass of the third body to be [Formula: see text]. For V752 Cen, the minimum mass of the third body is [Formula: see text], suggesting it may be a compact star. Finally, we updated the absolute parameters of the two studied binaries, whose components are normal or slightly evolved main-sequence stars.</p>\",\"PeriodicalId\":21811,\"journal\":{\"name\":\"Scientific Reports\",\"volume\":\"15 1\",\"pages\":\"27202\"},\"PeriodicalIF\":3.9000,\"publicationDate\":\"2025-07-26\",\"publicationTypes\":\"Journal Article\",\"fieldsOfStudy\":null,\"isOpenAccess\":false,\"openAccessPdf\":\"https://www.ncbi.nlm.nih.gov/pmc/articles/PMC12297399/pdf/\",\"citationCount\":\"0\",\"resultStr\":null,\"platform\":\"Semanticscholar\",\"paperid\":null,\"PeriodicalName\":\"Scientific Reports\",\"FirstCategoryId\":\"103\",\"ListUrlMain\":\"https://doi.org/10.1038/s41598-025-10772-x\",\"RegionNum\":2,\"RegionCategory\":\"综合性期刊\",\"ArticlePicture\":[],\"TitleCN\":null,\"AbstractTextCN\":null,\"PMCID\":null,\"EPubDate\":\"\",\"PubModel\":\"\",\"JCR\":\"Q1\",\"JCRName\":\"MULTIDISCIPLINARY SCIENCES\",\"Score\":null,\"Total\":0}","platform":"Semanticscholar","paperid":null,"PeriodicalName":"Scientific Reports","FirstCategoryId":"103","ListUrlMain":"https://doi.org/10.1038/s41598-025-10772-x","RegionNum":2,"RegionCategory":"综合性期刊","ArticlePicture":[],"TitleCN":null,"AbstractTextCN":null,"PMCID":null,"EPubDate":"","PubModel":"","JCR":"Q1","JCRName":"MULTIDISCIPLINARY SCIENCES","Score":null,"Total":0}
引用次数: 0

摘要

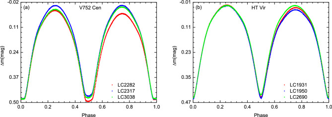
基于凌日系外行星巡天卫星(TESS)的观测,我们对2+2型分层四星系统中的V752 Cen和HT Vir两个接触双星进行了全面的研究。TESS连续光曲线(lc)显示[公式:见文]表现出随机行走或准周期变化,而[公式:见文]则表现出小的跳跃。利用Wilson-Devinney程序,我们获得了六组光度解来追踪恒星表面冷星斑的迁移和演化。值得注意的是,这样的太阳活动可以显著改变LCs,甚至可能逆转最小深度,就像在BJD[Formula: see text]2459282附近对V752 Cen观察到的那样。从TESS时间序列lc中,我们确定了529个日食时间(et)。对于HT Vir,主极小值和次极小值的残差表现出强烈的反相关,表明存在恒星黑子。基于所有可用的et,我们构建了[公式:见文本]曲线,该曲线可以用第三个物体引起的光时效应(LiTE)的向上抛物线来描述。给定HT Vir的第三个光[公式:见文本],我们估计第三个物体的质量为[公式:见文本]。对于半人马座V752,第三个天体的最小质量是[公式:见文本],这表明它可能是一颗致密恒星。最后,我们更新了所研究的两个双星的绝对参数,它们的组成是正常的或稍微演化的主序星。
本文章由计算机程序翻译,如有差异,请以英文原文为准。

Magnetic activities of two contact binaries in quadruple stellar systems.

Magnetic activities of two contact binaries in quadruple stellar systems.

Magnetic activities of two contact binaries in quadruple stellar systems.

Magnetic activities of two contact binaries in quadruple stellar systems.

Based on observations from the Transiting Exoplanet Survey Satellite (TESS), we conducted a comprehensive study of two contact binaries, V752 Cen and HT Vir, in 2+2-type hierarchical quadruple stellar systems. TESS continuous light curves (LCs) reveal that [Formula: see text] exhibits random-walk-like or quasi-periodic variations, whereas [Formula: see text], shows small jumps. Using the Wilson-Devinney program, we obtained six sets of photometric solutions to trace the migration and evolution of a cool starspot on the stellar surface. Notably, such spot activity can significantly alter LCs and may even reverse minima depths, as observed around BJD[Formula: see text]2459282 for V752 Cen. From the TESS time-series LCs, we determined 529 eclipse timings (ETs). For HT Vir, the residuals of the primary and secondary minima show a strong anti-correlation, indicating the presence of starspots. Based on all available ETs, we constructed [Formula: see text] curves, which could be described by an upward parabola with the light-time effect (LiTE) induced by a third body. Given the third light of [Formula: see text] for HT Vir, we estimate the mass of the third body to be [Formula: see text]. For V752 Cen, the minimum mass of the third body is [Formula: see text], suggesting it may be a compact star. Finally, we updated the absolute parameters of the two studied binaries, whose components are normal or slightly evolved main-sequence stars.

求助全文
通过发布文献求助,成功后即可免费获取论文全文。 去求助
来源期刊
Scientific Reports
Scientific Reports Natural Science Disciplines-
CiteScore
7.50
自引率
4.30%
发文量
19567
审稿时长
3.9 months
期刊介绍: We publish original research from all areas of the natural sciences, psychology, medicine and engineering. You can learn more about what we publish by browsing our specific scientific subject areas below or explore Scientific Reports by browsing all articles and collections. Scientific Reports has a 2-year impact factor: 4.380 (2021), and is the 6th most-cited journal in the world, with more than 540,000 citations in 2020 (Clarivate Analytics, 2021). •Engineering Engineering covers all aspects of engineering, technology, and applied science. It plays a crucial role in the development of technologies to address some of the world''s biggest challenges, helping to save lives and improve the way we live. •Physical sciences Physical sciences are those academic disciplines that aim to uncover the underlying laws of nature — often written in the language of mathematics. It is a collective term for areas of study including astronomy, chemistry, materials science and physics. •Earth and environmental sciences Earth and environmental sciences cover all aspects of Earth and planetary science and broadly encompass solid Earth processes, surface and atmospheric dynamics, Earth system history, climate and climate change, marine and freshwater systems, and ecology. It also considers the interactions between humans and these systems. •Biological sciences Biological sciences encompass all the divisions of natural sciences examining various aspects of vital processes. The concept includes anatomy, physiology, cell biology, biochemistry and biophysics, and covers all organisms from microorganisms, animals to plants. •Health sciences The health sciences study health, disease and healthcare. This field of study aims to develop knowledge, interventions and technology for use in healthcare to improve the treatment of patients.
×
引用
GB/T 7714-2015
复制
MLA
复制
APA
复制
导出至
BibTeX EndNote RefMan NoteFirst NoteExpress
×
提示
您的信息不完整,为了账户安全,请先补充。
现在去补充
×
提示
您因"违规操作"
具体请查看互助需知
我知道了
×
提示
确定
请完成安全验证×
copy
已复制链接
快去分享给好友吧!
我知道了
右上角分享
点击右上角分享
0
联系我们:info@booksci.cn Book学术提供免费学术资源搜索服务,方便国内外学者检索中英文文献。致力于提供最便捷和优质的服务体验。 Copyright © 2023 布克学术 All rights reserved.
京ICP备2023020795号-1
ghs 京公网安备 11010802042870号
Book学术文献互助
Book学术文献互助群
群 号:604180095
Book学术官方微信