基于星体的DIA蛋白质组学分析揭示了硒对肺侧耳菌的影响。

IF 3.9 2区 综合性期刊 Q1 MULTIDISCIPLINARY SCIENCES
Chengxuan Xu, Lijuan Qian, Qi Meng, Xiangru Meng, Yujun Sun
{"title":"基于星体的DIA蛋白质组学分析揭示了硒对肺侧耳菌的影响。","authors":"Chengxuan Xu, Lijuan Qian, Qi Meng, Xiangru Meng, Yujun Sun","doi":"10.1038/s41598-025-13343-2","DOIUrl":null,"url":null,"abstract":"<p><p>This study investigates the effects of sodium selenite on the yield, selenium content, and proteomic profile of Pleurotus pulmonarius (P. pulmonarius). Treatment with 2 µg/mL sodium selenite (PP-Se2) resulted in a 17.87% increase in the yield of P. pulmonarius. In contrast, treatment with 10 µg/mL sodium selenate (PP-Se10) caused a 23.58% reduction in yield. The selenium content exhibited a positive correlation with the sodium selenite concentration in the cultivation substrate. Based on data-independent acquisition (DIA) proteomics analysis, it was revealed that PP-Se2 and PP-Se10 contained 141 differential expressed proteins (DEPs) (64 up-regulated and 77 down-regulated) and 129 DEPs (73 up-regulated and 56 down-regulated), respectively. DEPs in PP-Se2 were predominantly involved in carbon metabolism, ribosomes, peroxisomes, and ABC transporters. In contrast, DEPs in PP-Se10 were primarily enriched in the biosynthesis of secondary metabolites and cysteine and methionine metabolism. These results suggest that P. pulmonarius exhibits distinct metabolic response mechanisms to varying levels of selenium treatment, with these pathways potentially being influenced by selenium concentration. These findings help to fill the gap in selenium proteomics research in edible fungi and provide new theoretical insights for the development of selenium-enriched functional foods.</p>","PeriodicalId":21811,"journal":{"name":"Scientific Reports","volume":"15 1","pages":"27285"},"PeriodicalIF":3.9000,"publicationDate":"2025-07-26","publicationTypes":"Journal Article","fieldsOfStudy":null,"isOpenAccess":false,"openAccessPdf":"https://www.ncbi.nlm.nih.gov/pmc/articles/PMC12297576/pdf/","citationCount":"0","resultStr":"{\"title\":\"Astral-based DIA proteomics analysis reveals the effects of selenium on Pleurotus pulmonarius.\",\"authors\":\"Chengxuan Xu, Lijuan Qian, Qi Meng, Xiangru Meng, Yujun Sun\",\"doi\":\"10.1038/s41598-025-13343-2\",\"DOIUrl\":null,\"url\":null,\"abstract\":\"<p><p>This study investigates the effects of sodium selenite on the yield, selenium content, and proteomic profile of Pleurotus pulmonarius (P. pulmonarius). Treatment with 2 µg/mL sodium selenite (PP-Se2) resulted in a 17.87% increase in the yield of P. pulmonarius. In contrast, treatment with 10 µg/mL sodium selenate (PP-Se10) caused a 23.58% reduction in yield. The selenium content exhibited a positive correlation with the sodium selenite concentration in the cultivation substrate. Based on data-independent acquisition (DIA) proteomics analysis, it was revealed that PP-Se2 and PP-Se10 contained 141 differential expressed proteins (DEPs) (64 up-regulated and 77 down-regulated) and 129 DEPs (73 up-regulated and 56 down-regulated), respectively. DEPs in PP-Se2 were predominantly involved in carbon metabolism, ribosomes, peroxisomes, and ABC transporters. In contrast, DEPs in PP-Se10 were primarily enriched in the biosynthesis of secondary metabolites and cysteine and methionine metabolism. These results suggest that P. pulmonarius exhibits distinct metabolic response mechanisms to varying levels of selenium treatment, with these pathways potentially being influenced by selenium concentration. These findings help to fill the gap in selenium proteomics research in edible fungi and provide new theoretical insights for the development of selenium-enriched functional foods.</p>\",\"PeriodicalId\":21811,\"journal\":{\"name\":\"Scientific Reports\",\"volume\":\"15 1\",\"pages\":\"27285\"},\"PeriodicalIF\":3.9000,\"publicationDate\":\"2025-07-26\",\"publicationTypes\":\"Journal Article\",\"fieldsOfStudy\":null,\"isOpenAccess\":false,\"openAccessPdf\":\"https://www.ncbi.nlm.nih.gov/pmc/articles/PMC12297576/pdf/\",\"citationCount\":\"0\",\"resultStr\":null,\"platform\":\"Semanticscholar\",\"paperid\":null,\"PeriodicalName\":\"Scientific Reports\",\"FirstCategoryId\":\"103\",\"ListUrlMain\":\"https://doi.org/10.1038/s41598-025-13343-2\",\"RegionNum\":2,\"RegionCategory\":\"综合性期刊\",\"ArticlePicture\":[],\"TitleCN\":null,\"AbstractTextCN\":null,\"PMCID\":null,\"EPubDate\":\"\",\"PubModel\":\"\",\"JCR\":\"Q1\",\"JCRName\":\"MULTIDISCIPLINARY SCIENCES\",\"Score\":null,\"Total\":0}","platform":"Semanticscholar","paperid":null,"PeriodicalName":"Scientific Reports","FirstCategoryId":"103","ListUrlMain":"https://doi.org/10.1038/s41598-025-13343-2","RegionNum":2,"RegionCategory":"综合性期刊","ArticlePicture":[],"TitleCN":null,"AbstractTextCN":null,"PMCID":null,"EPubDate":"","PubModel":"","JCR":"Q1","JCRName":"MULTIDISCIPLINARY SCIENCES","Score":null,"Total":0}
引用次数: 0

摘要

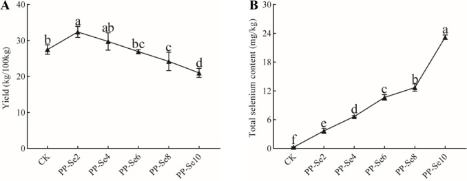
研究了亚硒酸钠对肺侧耳(Pleurotus pulmonarius)产量、硒含量和蛋白质组学的影响。2µg/mL亚硒酸钠(PP-Se2)处理可使肺芽孢杆菌的产率提高17.87%。相比之下,10µg/mL硒酸钠(PP-Se10)处理使产量降低23.58%。栽培基质中硒含量与亚硒酸钠浓度呈正相关。基于数据独立采集(DIA)蛋白质组学分析,发现PP-Se2和PP-Se10分别含有141个差异表达蛋白(DEPs)(64个上调,77个下调)和129个差异表达蛋白(73个上调,56个下调)。PP-Se2中的DEPs主要参与碳代谢、核糖体、过氧化物酶体和ABC转运体。相反,PP-Se10中的DEPs主要富集于次生代谢物的生物合成以及半胱氨酸和蛋氨酸的代谢。这些结果表明,肺芽孢杆菌对不同水平的硒处理表现出不同的代谢反应机制,这些途径可能受到硒浓度的影响。这些发现有助于填补食用菌硒蛋白质组学研究的空白,并为富硒功能食品的开发提供新的理论见解。
本文章由计算机程序翻译,如有差异,请以英文原文为准。

Astral-based DIA proteomics analysis reveals the effects of selenium on Pleurotus pulmonarius.

Astral-based DIA proteomics analysis reveals the effects of selenium on Pleurotus pulmonarius.

Astral-based DIA proteomics analysis reveals the effects of selenium on Pleurotus pulmonarius.

Astral-based DIA proteomics analysis reveals the effects of selenium on Pleurotus pulmonarius.

This study investigates the effects of sodium selenite on the yield, selenium content, and proteomic profile of Pleurotus pulmonarius (P. pulmonarius). Treatment with 2 µg/mL sodium selenite (PP-Se2) resulted in a 17.87% increase in the yield of P. pulmonarius. In contrast, treatment with 10 µg/mL sodium selenate (PP-Se10) caused a 23.58% reduction in yield. The selenium content exhibited a positive correlation with the sodium selenite concentration in the cultivation substrate. Based on data-independent acquisition (DIA) proteomics analysis, it was revealed that PP-Se2 and PP-Se10 contained 141 differential expressed proteins (DEPs) (64 up-regulated and 77 down-regulated) and 129 DEPs (73 up-regulated and 56 down-regulated), respectively. DEPs in PP-Se2 were predominantly involved in carbon metabolism, ribosomes, peroxisomes, and ABC transporters. In contrast, DEPs in PP-Se10 were primarily enriched in the biosynthesis of secondary metabolites and cysteine and methionine metabolism. These results suggest that P. pulmonarius exhibits distinct metabolic response mechanisms to varying levels of selenium treatment, with these pathways potentially being influenced by selenium concentration. These findings help to fill the gap in selenium proteomics research in edible fungi and provide new theoretical insights for the development of selenium-enriched functional foods.

求助全文
通过发布文献求助,成功后即可免费获取论文全文。 去求助
来源期刊
Scientific Reports
Scientific Reports Natural Science Disciplines-
CiteScore
7.50
自引率
4.30%
发文量
19567
审稿时长
3.9 months
期刊介绍: We publish original research from all areas of the natural sciences, psychology, medicine and engineering. You can learn more about what we publish by browsing our specific scientific subject areas below or explore Scientific Reports by browsing all articles and collections. Scientific Reports has a 2-year impact factor: 4.380 (2021), and is the 6th most-cited journal in the world, with more than 540,000 citations in 2020 (Clarivate Analytics, 2021). •Engineering Engineering covers all aspects of engineering, technology, and applied science. It plays a crucial role in the development of technologies to address some of the world''s biggest challenges, helping to save lives and improve the way we live. •Physical sciences Physical sciences are those academic disciplines that aim to uncover the underlying laws of nature — often written in the language of mathematics. It is a collective term for areas of study including astronomy, chemistry, materials science and physics. •Earth and environmental sciences Earth and environmental sciences cover all aspects of Earth and planetary science and broadly encompass solid Earth processes, surface and atmospheric dynamics, Earth system history, climate and climate change, marine and freshwater systems, and ecology. It also considers the interactions between humans and these systems. •Biological sciences Biological sciences encompass all the divisions of natural sciences examining various aspects of vital processes. The concept includes anatomy, physiology, cell biology, biochemistry and biophysics, and covers all organisms from microorganisms, animals to plants. •Health sciences The health sciences study health, disease and healthcare. This field of study aims to develop knowledge, interventions and technology for use in healthcare to improve the treatment of patients.
×
引用
GB/T 7714-2015
复制
MLA
复制
APA
复制
导出至
BibTeX EndNote RefMan NoteFirst NoteExpress
×
提示
您的信息不完整,为了账户安全,请先补充。
现在去补充
×
提示
您因"违规操作"
具体请查看互助需知
我知道了
×
提示
确定
请完成安全验证×
copy
已复制链接
快去分享给好友吧!
我知道了
右上角分享
点击右上角分享
0
联系我们:info@booksci.cn Book学术提供免费学术资源搜索服务,方便国内外学者检索中英文文献。致力于提供最便捷和优质的服务体验。 Copyright © 2023 布克学术 All rights reserved.
京ICP备2023020795号-1
ghs 京公网安备 11010802042870号
Book学术文献互助
Book学术文献互助群
群 号:604180095
Book学术官方微信