通过皮肤递送HIV包膜靶向朗格汉斯细胞可增强对疫苗接种的抗体反应。

IF 6.5 1区 医学 Q1 IMMUNOLOGY
Juliane S Lanza, Adele Hammoudi, Joanna De Chiara, Mathieu Surenaud, Anaïs Kembou, Michela Esposito, Sandra Zurawski, Gerard Zurawski, Mireille Centlivre, Bernard Malissen, Véronique Godot, Yves Lévy, Sandrine Henri, Sylvain Cardinaud
{"title":"通过皮肤递送HIV包膜靶向朗格汉斯细胞可增强对疫苗接种的抗体反应。","authors":"Juliane S Lanza, Adele Hammoudi, Joanna De Chiara, Mathieu Surenaud, Anaïs Kembou, Michela Esposito, Sandra Zurawski, Gerard Zurawski, Mireille Centlivre, Bernard Malissen, Véronique Godot, Yves Lévy, Sandrine Henri, Sylvain Cardinaud","doi":"10.1038/s41541-025-01214-w","DOIUrl":null,"url":null,"abstract":"<p><p>Targeting dendritic cells (DCs) with antigens is a promising approach to modulating T follicular helper (Tfh) cells and germinal center (GC) reactions, enhancing vaccine-induced adaptive immune responses, with preclinical studies highlighting a key role of Langerhans cells (LCs) in generating HIV-1-specific antibody responses. This study evaluated the immunogenicity of a Langerin-targeting vaccine (αLang.Env), comprising an anti-mouse Langerin mAb fused to HIV-1 Envelope 96ZM651 gp140 (Env), delivered through various skin immunization routes in mice, and explored the roles of epidermal LCs and dermal cDC1s in adaptive immune responses. Lymph nodes draining the immunization sites were analyzed using ovalbumin (OVA) as a surrogate antigen after topical (top.), subcutaneous (s.c.), intradermal (i.d.), or transcutaneous (t.c.) delivery via laser-guided microporation, with αLang.Env administered without adjuvant in a Prime-Boost scheme. All methods primed T cells in draining lymph nodes (dLN), as shown by OVA-specific CD8<sup>+</sup> and CD4<sup>+</sup> T cell proliferation, while αLang.Env induced GC B cells regardless of the route. However, topical delivery did not elicit Tfh cells or Env-specific GC B cells, whereas i.d. and s.c. routes produced systemic Env-specific IgG responses, with i.d. immunization yielding the highest titers and strongest Tfh responses. In the Xcr1<sup>DTA</sup> mouse model, where cDC1s were depleted, the i.d. route confirmed that epidermal LCs were the primary drivers of GC/Tfh reactions and humoral responses, while cDC1s mediated CD8<sup>+</sup> T cell effector responses. These findings highlight that i.d. administration of the HIV-1 Env antigen targeted to Langerin, without the use of an adjuvant, is an effective vaccine strategy for eliciting GC reactions in LN and generating robust antibody responses, primarily through the activation of LC.</p>","PeriodicalId":19335,"journal":{"name":"NPJ Vaccines","volume":"10 1","pages":"170"},"PeriodicalIF":6.5000,"publicationDate":"2025-07-25","publicationTypes":"Journal Article","fieldsOfStudy":null,"isOpenAccess":false,"openAccessPdf":"https://www.ncbi.nlm.nih.gov/pmc/articles/PMC12297313/pdf/","citationCount":"0","resultStr":"{\"title\":\"Targeting Langerhans cells via skin delivery of HIV Envelope enhances the antibody response to vaccination.\",\"authors\":\"Juliane S Lanza, Adele Hammoudi, Joanna De Chiara, Mathieu Surenaud, Anaïs Kembou, Michela Esposito, Sandra Zurawski, Gerard Zurawski, Mireille Centlivre, Bernard Malissen, Véronique Godot, Yves Lévy, Sandrine Henri, Sylvain Cardinaud\",\"doi\":\"10.1038/s41541-025-01214-w\",\"DOIUrl\":null,\"url\":null,\"abstract\":\"<p><p>Targeting dendritic cells (DCs) with antigens is a promising approach to modulating T follicular helper (Tfh) cells and germinal center (GC) reactions, enhancing vaccine-induced adaptive immune responses, with preclinical studies highlighting a key role of Langerhans cells (LCs) in generating HIV-1-specific antibody responses. This study evaluated the immunogenicity of a Langerin-targeting vaccine (αLang.Env), comprising an anti-mouse Langerin mAb fused to HIV-1 Envelope 96ZM651 gp140 (Env), delivered through various skin immunization routes in mice, and explored the roles of epidermal LCs and dermal cDC1s in adaptive immune responses. Lymph nodes draining the immunization sites were analyzed using ovalbumin (OVA) as a surrogate antigen after topical (top.), subcutaneous (s.c.), intradermal (i.d.), or transcutaneous (t.c.) delivery via laser-guided microporation, with αLang.Env administered without adjuvant in a Prime-Boost scheme. All methods primed T cells in draining lymph nodes (dLN), as shown by OVA-specific CD8<sup>+</sup> and CD4<sup>+</sup> T cell proliferation, while αLang.Env induced GC B cells regardless of the route. However, topical delivery did not elicit Tfh cells or Env-specific GC B cells, whereas i.d. and s.c. routes produced systemic Env-specific IgG responses, with i.d. immunization yielding the highest titers and strongest Tfh responses. In the Xcr1<sup>DTA</sup> mouse model, where cDC1s were depleted, the i.d. route confirmed that epidermal LCs were the primary drivers of GC/Tfh reactions and humoral responses, while cDC1s mediated CD8<sup>+</sup> T cell effector responses. These findings highlight that i.d. administration of the HIV-1 Env antigen targeted to Langerin, without the use of an adjuvant, is an effective vaccine strategy for eliciting GC reactions in LN and generating robust antibody responses, primarily through the activation of LC.</p>\",\"PeriodicalId\":19335,\"journal\":{\"name\":\"NPJ Vaccines\",\"volume\":\"10 1\",\"pages\":\"170\"},\"PeriodicalIF\":6.5000,\"publicationDate\":\"2025-07-25\",\"publicationTypes\":\"Journal Article\",\"fieldsOfStudy\":null,\"isOpenAccess\":false,\"openAccessPdf\":\"https://www.ncbi.nlm.nih.gov/pmc/articles/PMC12297313/pdf/\",\"citationCount\":\"0\",\"resultStr\":null,\"platform\":\"Semanticscholar\",\"paperid\":null,\"PeriodicalName\":\"NPJ Vaccines\",\"FirstCategoryId\":\"3\",\"ListUrlMain\":\"https://doi.org/10.1038/s41541-025-01214-w\",\"RegionNum\":1,\"RegionCategory\":\"医学\",\"ArticlePicture\":[],\"TitleCN\":null,\"AbstractTextCN\":null,\"PMCID\":null,\"EPubDate\":\"\",\"PubModel\":\"\",\"JCR\":\"Q1\",\"JCRName\":\"IMMUNOLOGY\",\"Score\":null,\"Total\":0}","platform":"Semanticscholar","paperid":null,"PeriodicalName":"NPJ Vaccines","FirstCategoryId":"3","ListUrlMain":"https://doi.org/10.1038/s41541-025-01214-w","RegionNum":1,"RegionCategory":"医学","ArticlePicture":[],"TitleCN":null,"AbstractTextCN":null,"PMCID":null,"EPubDate":"","PubModel":"","JCR":"Q1","JCRName":"IMMUNOLOGY","Score":null,"Total":0}
引用次数: 0

摘要

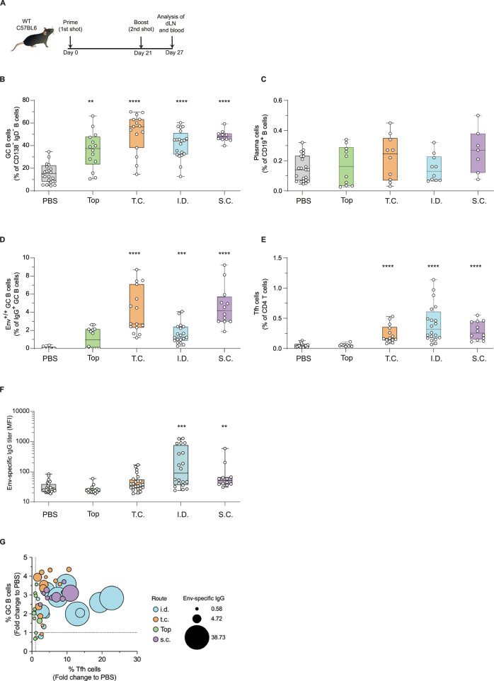
用抗原靶向树突状细胞(dc)是一种很有前途的方法,可以调节T滤泡辅助细胞(Tfh)和生发中心(GC)反应,增强疫苗诱导的适应性免疫反应,临床前研究强调了朗格汉斯细胞(LCs)在产生hiv -1特异性抗体反应中的关键作用。本研究评估了一种抗小鼠Langerin mAb与HIV-1 Envelope 96ZM651 gp140 (Env)融合的Langerin靶向疫苗(αLang.Env)通过多种皮肤免疫途径在小鼠体内的免疫原性,并探讨了表皮LCs和真皮cDC1s在适应性免疫应答中的作用。采用αLang激光引导微孔给药后,用卵清蛋白(OVA)作为替代抗原,对免疫部位引流的淋巴结进行分析,分别为外用(top.)、皮下(s.c)、皮内(i.d)或经皮(t.c)。Env在Prime-Boost方案中不加佐剂。通过ova特异性CD8+和CD4+ T细胞的增殖可以看出,所有方法都激活了引流淋巴结(dLN)中的T细胞,而αLang。Env诱导的GC B细胞与途径无关。然而,局部递送不引起Tfh细胞或env特异性GC B细胞,而id和s.c.途径产生全身env特异性IgG反应,其中id免疫产生最高滴度和最强Tfh反应。在cDC1s缺失的Xcr1DTA小鼠模型中,id途径证实表皮LCs是GC/Tfh反应和体液反应的主要驱动因素,而cDC1s介导CD8+ T细胞效应反应。这些发现强调,在不使用佐剂的情况下,将HIV-1 Env抗原靶向Langerin,是一种有效的疫苗策略,主要通过LC的激活,在LN中引发GC反应并产生强大的抗体反应。
本文章由计算机程序翻译,如有差异,请以英文原文为准。

Targeting Langerhans cells via skin delivery of HIV Envelope enhances the antibody response to vaccination.

Targeting Langerhans cells via skin delivery of HIV Envelope enhances the antibody response to vaccination.

Targeting Langerhans cells via skin delivery of HIV Envelope enhances the antibody response to vaccination.

Targeting Langerhans cells via skin delivery of HIV Envelope enhances the antibody response to vaccination.

Targeting dendritic cells (DCs) with antigens is a promising approach to modulating T follicular helper (Tfh) cells and germinal center (GC) reactions, enhancing vaccine-induced adaptive immune responses, with preclinical studies highlighting a key role of Langerhans cells (LCs) in generating HIV-1-specific antibody responses. This study evaluated the immunogenicity of a Langerin-targeting vaccine (αLang.Env), comprising an anti-mouse Langerin mAb fused to HIV-1 Envelope 96ZM651 gp140 (Env), delivered through various skin immunization routes in mice, and explored the roles of epidermal LCs and dermal cDC1s in adaptive immune responses. Lymph nodes draining the immunization sites were analyzed using ovalbumin (OVA) as a surrogate antigen after topical (top.), subcutaneous (s.c.), intradermal (i.d.), or transcutaneous (t.c.) delivery via laser-guided microporation, with αLang.Env administered without adjuvant in a Prime-Boost scheme. All methods primed T cells in draining lymph nodes (dLN), as shown by OVA-specific CD8+ and CD4+ T cell proliferation, while αLang.Env induced GC B cells regardless of the route. However, topical delivery did not elicit Tfh cells or Env-specific GC B cells, whereas i.d. and s.c. routes produced systemic Env-specific IgG responses, with i.d. immunization yielding the highest titers and strongest Tfh responses. In the Xcr1DTA mouse model, where cDC1s were depleted, the i.d. route confirmed that epidermal LCs were the primary drivers of GC/Tfh reactions and humoral responses, while cDC1s mediated CD8+ T cell effector responses. These findings highlight that i.d. administration of the HIV-1 Env antigen targeted to Langerin, without the use of an adjuvant, is an effective vaccine strategy for eliciting GC reactions in LN and generating robust antibody responses, primarily through the activation of LC.

求助全文
通过发布文献求助,成功后即可免费获取论文全文。 去求助
来源期刊
NPJ Vaccines
NPJ Vaccines Immunology and Microbiology-Immunology
CiteScore
11.90
自引率
4.30%
发文量
146
审稿时长
11 weeks
期刊介绍: Online-only and open access, npj Vaccines is dedicated to highlighting the most important scientific advances in vaccine research and development.
×
引用
GB/T 7714-2015
复制
MLA
复制
APA
复制
导出至
BibTeX EndNote RefMan NoteFirst NoteExpress
×
提示
您的信息不完整,为了账户安全,请先补充。
现在去补充
×
提示
您因"违规操作"
具体请查看互助需知
我知道了
×
提示
确定
请完成安全验证×
copy
已复制链接
快去分享给好友吧!
我知道了
右上角分享
点击右上角分享
0
联系我们:info@booksci.cn Book学术提供免费学术资源搜索服务,方便国内外学者检索中英文文献。致力于提供最便捷和优质的服务体验。 Copyright © 2023 布克学术 All rights reserved.
京ICP备2023020795号-1
ghs 京公网安备 11010802042870号
Book学术文献互助
Book学术文献互助群
群 号:604180095
Book学术官方微信