职业性接触发动机废气与前列腺癌风险

IF 5.3 2区 环境科学与生态学 Q1 ENVIRONMENTAL SCIENCES
Christine Barul, Marie-Claude Rousseau, Marie-Elise Parent
{"title":"职业性接触发动机废气与前列腺癌风险","authors":"Christine Barul, Marie-Claude Rousseau, Marie-Elise Parent","doi":"10.1186/s12940-025-01205-3","DOIUrl":null,"url":null,"abstract":"<p><strong>Background: </strong>Some engine exhausts (EEs) have been classified as carcinogens and/or can have hormone-modulating properties that could play a role in prostate cancer development.</p><p><strong>Objective: </strong>We investigated associations between lifetime occupational exposure to various EEs and prostate cancer risk, overall and for aggressive cancers.</p><p><strong>Methods: </strong>In a population-based case-control study conducted in Montreal, Canada, 1,924 incident histologically-confirmed prostate cancer cases (436 aggressive) and 1,989 population controls were recruited. Socio-demographics, lifestyle factors and a detailed occupational history were collected during in-person interviews. Industrial hygienists conducted evaluations of intensity, frequency and reliability of exposure to EEs resulting from the combustion of several fuels (any diesel, light- and heavy-duty diesel, leaded and unleaded gasoline, propane and jet fuel) in each job held ≥ 2 years. Odds ratios (ORs) and 95% confidence intervals (CI) were estimated for exposure to each EE, in association with prostate cancer risk, adjusting for age and then for potential lifestyle and occupational confounders, accounting for a 5-year latency period. As most associations were not linear, we fitted functions for changes in percentile distributions based on natural cubic splines.</p><p><strong>Results: </strong>There was no evidence of associations between exposure to the various EEs and overall prostate cancer. However, for high-grade cancers, based on the fully-adjusted model, a change from the 25th to the 75th percentile of the exposure distribution of any diesel EE yielded an OR of 1.24 (95%CI 0.96-1.61), and of 1.27 (95% CI 0.80-2.01) for a change from the 75th to the 95th percentile. These increases reflected exposure to diesel EE from light-duty vehicles, associated with similar ORs. For leaded gasoline EE, a change from the 75th to the 95th percentile resulted in an age-adjusted OR of 1.36 (95%CI 0.88-2.11), which was attenuated to 1.12 (95%CI 0.63-2.02) after full adjustment. There were no associations with EE from unleaded gasoline, diesel from heavy-duty vehicles, jet fuel and propane.</p><p><strong>Conclusion: </strong>There was suggestive evidence for a deleterious role of occupational exposure to EE resulting from the combustion of any diesel, light-duty diesel and from leaded gasoline in the development of aggressive prostate cancer. Results were independent from prostate cancer screening patterns.</p>","PeriodicalId":11686,"journal":{"name":"Environmental Health","volume":"24 1","pages":"51"},"PeriodicalIF":5.3000,"publicationDate":"2025-07-25","publicationTypes":"Journal Article","fieldsOfStudy":null,"isOpenAccess":false,"openAccessPdf":"https://www.ncbi.nlm.nih.gov/pmc/articles/PMC12291353/pdf/","citationCount":"0","resultStr":"{\"title\":\"Occupational Exposure to Engine Exhausts and Prostate Cancer Risk.\",\"authors\":\"Christine Barul, Marie-Claude Rousseau, Marie-Elise Parent\",\"doi\":\"10.1186/s12940-025-01205-3\",\"DOIUrl\":null,\"url\":null,\"abstract\":\"<p><strong>Background: </strong>Some engine exhausts (EEs) have been classified as carcinogens and/or can have hormone-modulating properties that could play a role in prostate cancer development.</p><p><strong>Objective: </strong>We investigated associations between lifetime occupational exposure to various EEs and prostate cancer risk, overall and for aggressive cancers.</p><p><strong>Methods: </strong>In a population-based case-control study conducted in Montreal, Canada, 1,924 incident histologically-confirmed prostate cancer cases (436 aggressive) and 1,989 population controls were recruited. Socio-demographics, lifestyle factors and a detailed occupational history were collected during in-person interviews. Industrial hygienists conducted evaluations of intensity, frequency and reliability of exposure to EEs resulting from the combustion of several fuels (any diesel, light- and heavy-duty diesel, leaded and unleaded gasoline, propane and jet fuel) in each job held ≥ 2 years. Odds ratios (ORs) and 95% confidence intervals (CI) were estimated for exposure to each EE, in association with prostate cancer risk, adjusting for age and then for potential lifestyle and occupational confounders, accounting for a 5-year latency period. As most associations were not linear, we fitted functions for changes in percentile distributions based on natural cubic splines.</p><p><strong>Results: </strong>There was no evidence of associations between exposure to the various EEs and overall prostate cancer. However, for high-grade cancers, based on the fully-adjusted model, a change from the 25th to the 75th percentile of the exposure distribution of any diesel EE yielded an OR of 1.24 (95%CI 0.96-1.61), and of 1.27 (95% CI 0.80-2.01) for a change from the 75th to the 95th percentile. These increases reflected exposure to diesel EE from light-duty vehicles, associated with similar ORs. For leaded gasoline EE, a change from the 75th to the 95th percentile resulted in an age-adjusted OR of 1.36 (95%CI 0.88-2.11), which was attenuated to 1.12 (95%CI 0.63-2.02) after full adjustment. There were no associations with EE from unleaded gasoline, diesel from heavy-duty vehicles, jet fuel and propane.</p><p><strong>Conclusion: </strong>There was suggestive evidence for a deleterious role of occupational exposure to EE resulting from the combustion of any diesel, light-duty diesel and from leaded gasoline in the development of aggressive prostate cancer. Results were independent from prostate cancer screening patterns.</p>\",\"PeriodicalId\":11686,\"journal\":{\"name\":\"Environmental Health\",\"volume\":\"24 1\",\"pages\":\"51\"},\"PeriodicalIF\":5.3000,\"publicationDate\":\"2025-07-25\",\"publicationTypes\":\"Journal Article\",\"fieldsOfStudy\":null,\"isOpenAccess\":false,\"openAccessPdf\":\"https://www.ncbi.nlm.nih.gov/pmc/articles/PMC12291353/pdf/\",\"citationCount\":\"0\",\"resultStr\":null,\"platform\":\"Semanticscholar\",\"paperid\":null,\"PeriodicalName\":\"Environmental Health\",\"FirstCategoryId\":\"93\",\"ListUrlMain\":\"https://doi.org/10.1186/s12940-025-01205-3\",\"RegionNum\":2,\"RegionCategory\":\"环境科学与生态学\",\"ArticlePicture\":[],\"TitleCN\":null,\"AbstractTextCN\":null,\"PMCID\":null,\"EPubDate\":\"\",\"PubModel\":\"\",\"JCR\":\"Q1\",\"JCRName\":\"ENVIRONMENTAL SCIENCES\",\"Score\":null,\"Total\":0}","platform":"Semanticscholar","paperid":null,"PeriodicalName":"Environmental Health","FirstCategoryId":"93","ListUrlMain":"https://doi.org/10.1186/s12940-025-01205-3","RegionNum":2,"RegionCategory":"环境科学与生态学","ArticlePicture":[],"TitleCN":null,"AbstractTextCN":null,"PMCID":null,"EPubDate":"","PubModel":"","JCR":"Q1","JCRName":"ENVIRONMENTAL SCIENCES","Score":null,"Total":0}
引用次数: 0

摘要

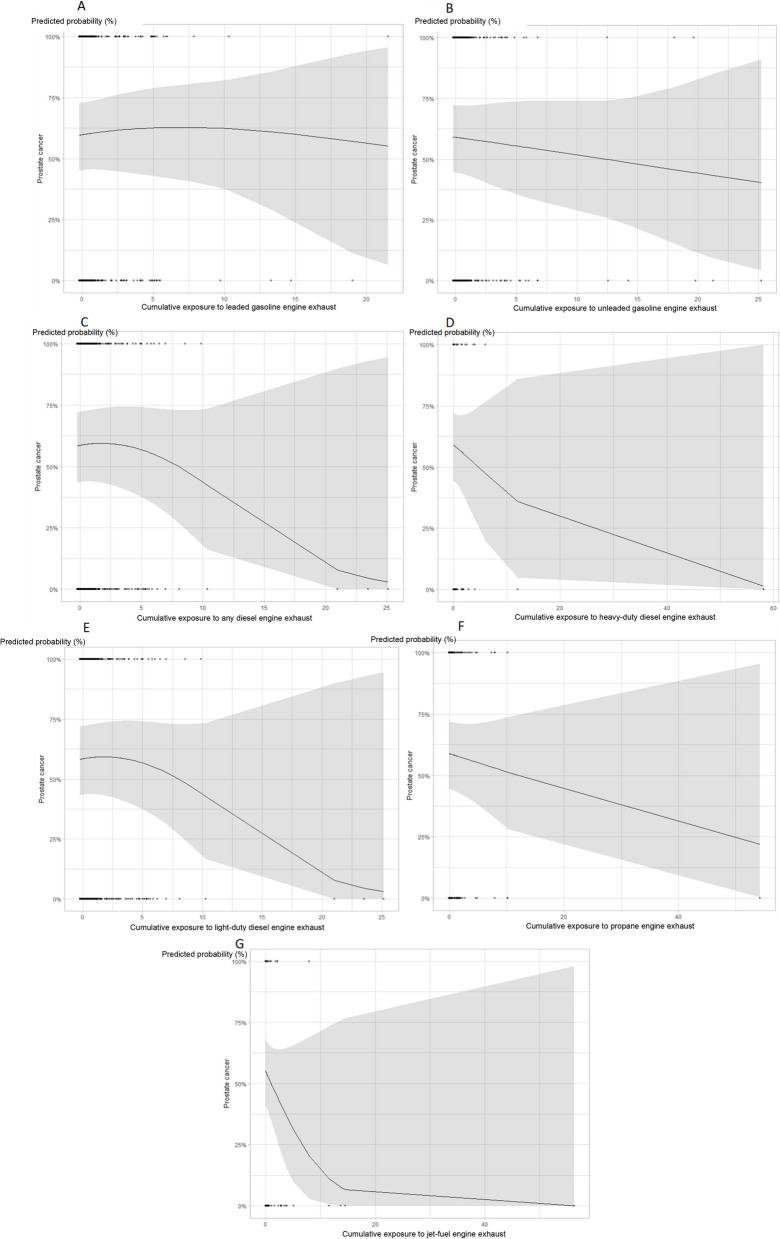
背景:一些发动机废气(EEs)已被归类为致癌物和/或可能具有激素调节特性,可能在前列腺癌的发展中发挥作用。目的:我们调查了一生职业暴露于各种电子烟与前列腺癌风险之间的关系,包括总体风险和侵袭性癌症风险。方法:在加拿大蒙特利尔进行的一项基于人群的病例对照研究中,招募了1924例组织学证实的前列腺癌病例(436例侵袭性)和1989例人群对照。在面对面访谈中收集了社会人口统计学、生活方式因素和详细的职业史。工业卫生学家对每项工作≥2年的几种燃料(任何柴油、轻型和重型柴油、含铅和无铅汽油、丙烷和喷气燃料)燃烧产生的电子污染物暴露的强度、频率和可靠性进行了评估。估计暴露于每种EE与前列腺癌风险相关的比值比(ORs)和95%置信区间(CI),调整年龄、潜在的生活方式和职业混杂因素,考虑5年潜伏期。由于大多数关联不是线性的,我们拟合了基于自然三次样条的百分位数分布变化的函数。结果:没有证据表明暴露于各种电子烟和前列腺癌之间存在关联。然而,对于高级别癌症,基于完全调整的模型,从第25到75百分位的任何柴油EE暴露分布的变化产生1.24 (95%CI 0.96-1.61)的OR,从第75到95百分位的变化产生1.27 (95%CI 0.80-2.01)。这些增加反映了轻型车辆的柴油排放,与类似的ORs有关。对于含铅汽油,从第75个百分位到第95个百分位的变化导致年龄调整后的OR为1.36 (95%CI 0.88-2.11),在完全调整后减弱为1.12 (95%CI 0.63-2.02)。无铅汽油、重型车辆柴油、喷气燃料和丙烷与EE没有关联。结论:有暗示性证据表明,职业性暴露于任何柴油、轻型柴油和含铅汽油燃烧产生的EE在侵袭性前列腺癌的发展中具有有害作用。结果独立于前列腺癌筛查模式。
本文章由计算机程序翻译,如有差异,请以英文原文为准。

Occupational Exposure to Engine Exhausts and Prostate Cancer Risk.

Occupational Exposure to Engine Exhausts and Prostate Cancer Risk.

Background: Some engine exhausts (EEs) have been classified as carcinogens and/or can have hormone-modulating properties that could play a role in prostate cancer development.

Objective: We investigated associations between lifetime occupational exposure to various EEs and prostate cancer risk, overall and for aggressive cancers.

Methods: In a population-based case-control study conducted in Montreal, Canada, 1,924 incident histologically-confirmed prostate cancer cases (436 aggressive) and 1,989 population controls were recruited. Socio-demographics, lifestyle factors and a detailed occupational history were collected during in-person interviews. Industrial hygienists conducted evaluations of intensity, frequency and reliability of exposure to EEs resulting from the combustion of several fuels (any diesel, light- and heavy-duty diesel, leaded and unleaded gasoline, propane and jet fuel) in each job held ≥ 2 years. Odds ratios (ORs) and 95% confidence intervals (CI) were estimated for exposure to each EE, in association with prostate cancer risk, adjusting for age and then for potential lifestyle and occupational confounders, accounting for a 5-year latency period. As most associations were not linear, we fitted functions for changes in percentile distributions based on natural cubic splines.

Results: There was no evidence of associations between exposure to the various EEs and overall prostate cancer. However, for high-grade cancers, based on the fully-adjusted model, a change from the 25th to the 75th percentile of the exposure distribution of any diesel EE yielded an OR of 1.24 (95%CI 0.96-1.61), and of 1.27 (95% CI 0.80-2.01) for a change from the 75th to the 95th percentile. These increases reflected exposure to diesel EE from light-duty vehicles, associated with similar ORs. For leaded gasoline EE, a change from the 75th to the 95th percentile resulted in an age-adjusted OR of 1.36 (95%CI 0.88-2.11), which was attenuated to 1.12 (95%CI 0.63-2.02) after full adjustment. There were no associations with EE from unleaded gasoline, diesel from heavy-duty vehicles, jet fuel and propane.

Conclusion: There was suggestive evidence for a deleterious role of occupational exposure to EE resulting from the combustion of any diesel, light-duty diesel and from leaded gasoline in the development of aggressive prostate cancer. Results were independent from prostate cancer screening patterns.

求助全文
通过发布文献求助,成功后即可免费获取论文全文。 去求助
来源期刊
Environmental Health
Environmental Health 环境科学-公共卫生、环境卫生与职业卫生
CiteScore
10.10
自引率
1.70%
发文量
115
审稿时长
3.0 months
期刊介绍: Environmental Health publishes manuscripts on all aspects of environmental and occupational medicine and related studies in toxicology and epidemiology. Environmental Health is aimed at scientists and practitioners in all areas of environmental science where human health and well-being are involved, either directly or indirectly. Environmental Health is a public health journal serving the public health community and scientists working on matters of public health interest and importance pertaining to the environment.
×
引用
GB/T 7714-2015
复制
MLA
复制
APA
复制
导出至
BibTeX EndNote RefMan NoteFirst NoteExpress
×
提示
您的信息不完整,为了账户安全,请先补充。
现在去补充
×
提示
您因"违规操作"
具体请查看互助需知
我知道了
×
提示
确定
请完成安全验证×
copy
已复制链接
快去分享给好友吧!
我知道了
右上角分享
点击右上角分享
0
联系我们:info@booksci.cn Book学术提供免费学术资源搜索服务,方便国内外学者检索中英文文献。致力于提供最便捷和优质的服务体验。 Copyright © 2023 布克学术 All rights reserved.
京ICP备2023020795号-1
ghs 京公网安备 11010802042870号
Book学术文献互助
Book学术文献互助群
群 号:604180095
Book学术官方微信